Τελευταία ενημέρωση :
18/03/2026
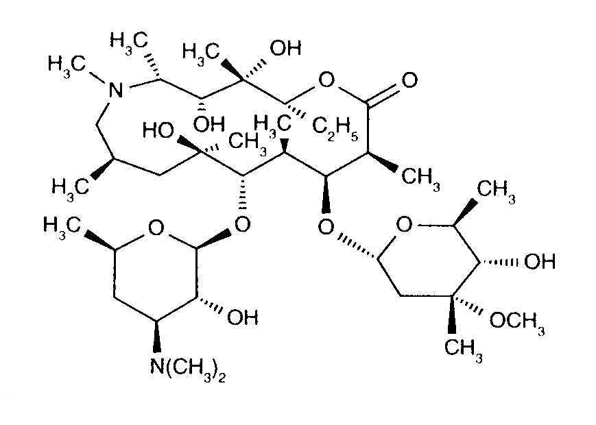
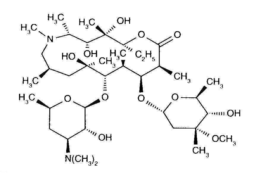
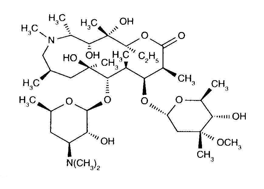
Αντιβιοτικό   Azithromycine  
Ενέσιμο
Αλοιφές
Σταθερότητα διαλυμάτων Σταθερότητα σε μίγματα Παράγοντας που επηρεάζει τη σταθερότητα Συμβατότητες Τρόπος χορήγησης Βιβλιογραφία pdf
   χημική δομή  

Εμπορική ονομασία   Εμπορική ονομασία     

Οι εμπορικές ονομασίες είναι ενδεικτικές και η σύνθεση των εκδόχων μπορεί να διαφέρει ανάλογα με τη χώρα και τα εργαστήρια

Azithromycin Καναδάς
Azithromycina Εκουαδόρ
Azithromycine Dr Erbeth Γερμανία
Azitromax Σουηδία
Sumamed Ουγγαρία, Πολωνία
Zaret Κολομβία
Zedbac Ιρλανδία, Μεγάλη Βρετανία
Zetamac Δημοκρατία της Τσεχίας
Zithromac Ιαπωνία
Zithromax Yhdistyneet arabiemiirikunnat, Αίγυπτος, Αυστραλία, Η.Π.Α., Καναδάς, Μαλαισία, Πορτογαλία, Σαουδική Αραβία, Φινλανδία, Χιλή
Συμβατότητες    Ενέσιμο   Συμβατότητες : Azithromycine              
Σε αυτή την οθόνη εμφανίζονται οι συμβατότητες ή ασυμβατότητες. Σε αυτή την περίπτωση εμφανίζονται το είδος της ασυμβατότητας (ίζημα, αλλαγή χρώματος, μεταβολή γαλακτώματος, κλπ). Οι συμβατότητες που παρουσιάζονται εδώ είναι κυρίως φυσικές, ενώ η χημική σταθερότητα κάθε μορίου σπάνια περιλαμβάνεται. Η αξιολόγηση αυτών των μιγμάτων μελετήθηκε προκειμένου να εκτιμηθεί η πιθανότητα χορήγησης στον ασθενή στο Υ κέντρο. Τα δεδομένα αυτά δεν μπορούν να χρησιμοποιηθούν για την εκ των προτέρων δημιουργία μιγμάτων σε ασκούς ή σύριγγες. Αυτό το είδος πληροφορίας υπάρχει και μπορεί να αναζητηθεί στην οθόνη «Σταθερότητα σε μίγμα».
Συστατικό Διαλυτικό Βιβλιογραφία
Σύμφωνος
Ενέσιμο Azithromycine 100 mg/ml
Ενέσιμο Amoxicillin sodium / clavulanic acid 100/10 mg/ml
3824
Σύμφωνος
Ενέσιμο Azithromycine 2 mg/ml
Ενέσιμο Bivalirudin 5 mg/ml
Γλυκόζη 5% 1713
Σύμφωνος
Ενέσιμο Azithromycine 500 mg/ml
Γαλακτικό διάλυμα Ringer 4603
Άμεση βροχόπτωση Ασύμβατες
Ενέσιμο Azithromycine 2 mg/ml
Ενέσιμο Amikacin sulfate 100 mg/ml
Χλωριούχο νάτριο 0,9% 1800
Άμεση βροχόπτωση Ασύμβατες
Ενέσιμο Azithromycine 2 mg/ml
Ενέσιμο Aztreonam 200 mg/ml
Χλωριούχο νάτριο 0,9% 1800
Σύμφωνος
Ενέσιμο Azithromycine 100 mg/ml
Ενέσιμο Caffeine 10 mg/ml
Ουδέν 3964
Σύμφωνος
Ενέσιμο Azithromycine 2 mg/ml
Ενέσιμο Caspofungin acetate 0.5 mg/ml
Χλωριούχο νάτριο 0,9% 2233
Σύμφωνος
Ενέσιμο Azithromycine 2 mg/ml
Ενέσιμο Cefiderocol sulfate tosylate 20 mg/mL
Χλωριούχο νάτριο 0,9% 4528
Σύμφωνος
Ενέσιμο Azithromycine 2 mg/ml
Ενέσιμο Cefiderocol sulfate tosylate 20 mg/mL
Γλυκόζη 5% 4528
Άμεση βροχόπτωση Ασύμβατες
Ενέσιμο Azithromycine 2 mg/ml
Ενέσιμο Cefotaxime sodium 200 mg/ml
Χλωριούχο νάτριο 0,9% 1800
Σύμφωνος
Ενέσιμο Azithromycine 2 mg/ml
Ενέσιμο Ceftaroline fosamil 2,22 mg/ml
Γλυκόζη 5% 3249
Σύμφωνος
Ενέσιμο Azithromycine 2 mg/ml
Ενέσιμο Ceftaroline fosamil 2,22 mg/ml
Χλωριούχο νάτριο 0,9% 3249
Σύμφωνος
Ενέσιμο Azithromycine 2 mg/ml
Ενέσιμο Ceftaroline fosamil 2,22 mg/ml
Γαλακτικό διάλυμα Ringer 3249
Άμεση βροχόπτωση Ασύμβατες
Ενέσιμο Azithromycine 2 mg/ml
Ενέσιμο Ceftazidime 80 mg/ml
Χλωριούχο νάτριο 0,9% 1800
Σύμφωνος
Ενέσιμο Azithromycine 2 mg/ml
Ενέσιμο Ceftobiprole medocaril sodium 2 mg/ml
Χλωριούχο νάτριο 0,9% 2269
Σύμφωνος
Ενέσιμο Azithromycine 2 mg/ml
Ενέσιμο Ceftobiprole medocaril sodium 2 mg/ml
Γαλακτικό διάλυμα Ringer 2269
Σύμφωνος
Ενέσιμο Azithromycine 2 mg/ml
Ενέσιμο Ceftobiprole medocaril sodium 2 mg/ml
Γλυκόζη 5% 2269
Σύμφωνος
Ενέσιμο Azithromycine 2 mg/ml
Ενέσιμο Ceftolozane / tazobactam 10/5 mg/ml
Χλωριούχο νάτριο 0,9% 3828
Σύμφωνος
Ενέσιμο Azithromycine 2 mg/ml
Ενέσιμο Ceftolozane / tazobactam 10/5 mg/ml
Γλυκόζη 5% 3828
Άμεση βροχόπτωση Ασύμβατες
Ενέσιμο Azithromycine 2 mg/ml
Ενέσιμο Ceftriaxone disodium 66.7 mg/ml
Χλωριούχο νάτριο 0,9% 1800
Άμεση βροχόπτωση Ασύμβατες
Ενέσιμο Azithromycine 2 mg/ml
Ενέσιμο Cefuroxime sodium 100 mg/ml
Χλωριούχο νάτριο 0,9% 1800
Άμεση βροχόπτωση Ασύμβατες
Ενέσιμο Azithromycine 2 mg/ml
Ενέσιμο Ciprofloxacin lactate 2 mg/ml
Χλωριούχο νάτριο 0,9% 1800
Άμεση βροχόπτωση Ασύμβατες
Ενέσιμο Azithromycine 2 mg/ml
Ενέσιμο Clindamycin phosphate 30 mg/ml
Χλωριούχο νάτριο 0,9% 1800
Άμεση βροχόπτωση Ασύμβατες
Ενέσιμο Azithromycine 100 mg/ml
Ενέσιμο Cloxacillin sodium 100 mg/ml
Ενέσιμο ύδωρ 3012
Σύμφωνος
Ενέσιμο Azithromycine 2 mg/ml
Ενέσιμο Dexmedetomidine 4 µg/ml
Χλωριούχο νάτριο 0,9% 1712
Σύμφωνος
Ενέσιμο Azithromycine 2 mg/ml
Ενέσιμο Diphenhydramine hydrochloride 50 mg/ml
Χλωριούχο νάτριο 0,9% 1800
Σύμφωνος
Ενέσιμο Azithromycine 2 mg/ml
Ενέσιμο Dolasetron mesylate 20 mg/ml
Χλωριούχο νάτριο 0,9% 1800
Σύμφωνος
Ενέσιμο Azithromycine 2 mg/ml
Ενέσιμο Doripenem 5 mg/ml
Γλυκόζη 5% 2262
Σύμφωνος
Ενέσιμο Azithromycine 2 mg/ml
Ενέσιμο Doripenem 5 mg/ml
Χλωριούχο νάτριο 0,9% 2262
Σύμφωνος
Ενέσιμο Azithromycine 2 mg/ml
Ενέσιμο Droperidol 2.5 mg/ml
Χλωριούχο νάτριο 0,9% 1800
Άμεση βροχόπτωση Ασύμβατες
Ενέσιμο Azithromycine 2 mg/ml
Ενέσιμο Famotidine 2 mg/ml
Χλωριούχο νάτριο 0,9% 1800
Σύμφωνος
Ενέσιμο Azithromycine 2 mg/ml
Ενέσιμο Fenoldopam mesylate 80 µg/ml
Χλωριούχο νάτριο 0,9% 1803
Άμεση βροχόπτωση Ασύμβατες
Ενέσιμο Azithromycine 2 mg/ml
Ενέσιμο Fentanyl citrate 50 µg/ml
Χλωριούχο νάτριο 0,9% 1800
Σύμφωνος
Ενέσιμο Azithromycine 2 mg/ml
Ενέσιμο Fosfomycin 30 mg/ml
Χλωριούχο νάτριο 0,9% 4055
Σύμφωνος
Ενέσιμο Azithromycine 2 mg/ml
Ενέσιμο Fosfomycin 30 mg/ml
Γλυκόζη 5% 4055
Άμεση βροχόπτωση Ασύμβατες
Ενέσιμο Azithromycine 2 mg/ml
Ενέσιμο Furosemide 10 mg/ml
Χλωριούχο νάτριο 0,9% 1800
Άμεση βροχόπτωση Ασύμβατες
Ενέσιμο Azithromycine 2 mg/ml
Ενέσιμο Gentamicin sulfate 21 mg/ml
Χλωριούχο νάτριο 0,9% 1800
Σύμφωνος
Ενέσιμο Azithromycine 2 mg/ml
Ενέσιμο Hetastarch 60 mg/ml
Ειδικά διαλύτη 1721
Άμεση βροχόπτωση Ασύμβατες
Ενέσιμο Azithromycine 2 mg/ml
Ενέσιμο Imipenem - cilastatin sodium 5 mg/ml
Χλωριούχο νάτριο 0,9% 1800
Θολότητα σε 2 ώρες Ασύμβατες
Ενέσιμο Azithromycine 2 mg/ml
Ενέσιμο Isavuconazonium sulfate 1.5 mg/ml
Γλυκόζη 5% 3829
Σύμφωνος
Ενέσιμο Azithromycine 2 mg/ml
Ενέσιμο Isavuconazonium sulfate 1.5 mg/ml
Χλωριούχο νάτριο 0,9% 3829
Άμεση βροχόπτωση Ασύμβατες
Ενέσιμο Azithromycine 2 mg/ml
Ενέσιμο Ketorolac tromethamine 15 mg/ml
Χλωριούχο νάτριο 0,9% 1800
Άμεση βροχόπτωση Ασύμβατες
Ενέσιμο Azithromycine 2 mg/ml
Ενέσιμο Levofloxacine 5 mg/ml
Χλωριούχο νάτριο 0,9% 1800
Σύμφωνος
Ενέσιμο Azithromycine 100 mg/ml
Ενέσιμο Meropenem 50 mg/ml
Ενέσιμο ύδωρ 4319
Άμεση βροχόπτωση Ασύμβατες
Ενέσιμο Azithromycine 2 mg/ml
Ενέσιμο Morphine sulfate 1 mg/ml
Χλωριούχο νάτριο 0,9% 1800
Σύμφωνος
Ενέσιμο Azithromycine 500 mg/ml
Ενέσιμο N-acetylcysteine 200 mg/ml
Ουδέν 3766
Σύμφωνος
Ενέσιμο Azithromycine 500 mg/ml
Ενέσιμο Naloxone hydrochloride 0.4 mg/ml
Ουδέν 3408
Σύμφωνος
Ενέσιμο Azithromycine 2 mg/ml
Ενέσιμο Ondansetron hydrochloride 2 mg/ml
Χλωριούχο νάτριο 0,9% 1800
Σύμφωνος
Ενέσιμο Azithromycine 100 mg/ml
Ενέσιμο Paracetamol 10 mg/ml
4742
Άμεση βροχόπτωση Ασύμβατες
Ενέσιμο Azithromycine 2 mg/ml
Ενέσιμο Piperacillin sodium / tazobactam 112.5 mg/ml
Χλωριούχο νάτριο 0,9% 1800
Σύμφωνος
Ενέσιμο Azithromycine 2 mg/ml
Ενέσιμο Plazomicin sulfate 24 mg/ml
Χλωριούχο νάτριο 0,9% 4145
Άμεση βροχόπτωση Ασύμβατες
Ενέσιμο Azithromycine 50 mg/ml
Ενέσιμο Salbutamol sulfate 1 mg/ml
Ουδέν 3216
Σύμφωνος
Ενέσιμο Azithromycine 2 mg/ml
Ενέσιμο Sulbactam/durlobactam 15/15 mg/ml
Χλωριούχο νάτριο 0,9% 4801
Σύμφωνος
Ενέσιμο Azithromycine 2 mg/ml
Ενέσιμο Tedizolid phosphate 0.8 mg/ml
Χλωριούχο νάτριο 0,9% 3827
Σύμφωνος
Ενέσιμο Azithromycine 2 mg/ml
Ενέσιμο Telavancin hydrochloride 7.5 mg/ml
Γλυκόζη 5% 3254
Σύμφωνος
Ενέσιμο Azithromycine 2 mg/ml
Ενέσιμο Telavancin hydrochloride 7.5 mg/ml
Χλωριούχο νάτριο 0,9% 3254
Σύμφωνος
Ενέσιμο Azithromycine 2 mg/ml
Ενέσιμο Telavancin hydrochloride 7.5 mg/ml
Γαλακτικό διάλυμα Ringer 3254
Άμεση βροχόπτωση Ασύμβατες
Ενέσιμο Azithromycine 100 mg/ml
Ενέσιμο Thiopental sodium 25 mg/ml
Χλωριούχο νάτριο 0,9% 3767
Άμεση βροχόπτωση Ασύμβατες
Ενέσιμο Azithromycine 2 mg/ml
Ενέσιμο Ticarcillin / clavulanic acid 103.3 mg/ml
Χλωριούχο νάτριο 0,9% 1800
Άμεση βροχόπτωση Ασύμβατες
Ενέσιμο Azithromycine 2 mg/ml
Ενέσιμο Tobramycin sulfate 21 mg/ml
Χλωριούχο νάτριο 0,9% 1800

  Mentions Légales