آخر تحديث :
18/03/2026
مضاد حيوي   Azithromycine  
حقن
المراهم
الاستقرار في حلول استقرار مخاليط العوامل التي تؤثر على الاستقرار التوافق طريقة التعاطي مراجع pdf
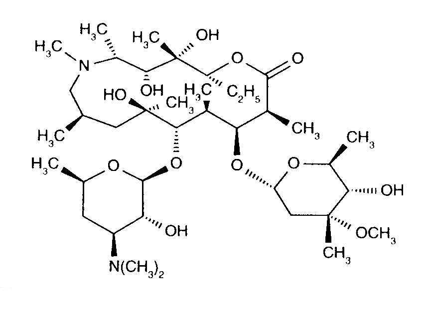
   التركيب الكيميائي  

حجز الاسم التجاري   حجز الاسم التجاري     

تحذير الأسماء التجاريه المختلفه قد تحتوي علي محتوي إضافات مختلفة حسب الدوله و المعمل

Azithromycin كندا
Azithromycina الإكوادور
Azithromycine Dr Erbeth ألمانيا
Azitromax السويد
Sumamed بولندا, هنغاريا
Zaret كولومبيا
Zedbac ايرلندا, بريطانيا العظمي
Zetamac جمهورية التشيك
Zithromac اليابان
Zithromax أستراليا, الإمارات العربية المتحدة, البرتغال, العربية السعودية, الولايات المتحدة, تشيلي, فنلندا, كندا, ماليزيا, مصر
التوافق   حقن   التوافق : Azithromycine              
This screen indicates the compatibilities or incompatibilities with, in this case, the type of incompatibility (precipitation, color change, modification of an emulsion, etc.). The compatibilities shown here are mostly physical only, with the chemical stability of each molecule rarely being assessed. The evaluation of these mixtures was studied to consider the possibility of Y-site administration to the patient. These data cannot be used for making mixtures in advance in bags or syringes. This type of information is available in the screen "Stability in mixture ».
مركب مذيب مراجع
kompatibel
حقن Azithromycine 100 mg/ml
حقن Amoxicillin sodium / clavulanic acid 100/10 mg/ml
3824
kompatibel
حقن Azithromycine 2 mg/ml
حقن Bivalirudin 5 mg/ml
الجلوكوز %5 1713
kompatibel
حقن Azithromycine 500 mg/ml
محلول رينجر  اللاكتات 4603
هطول فوري غير متوافق
حقن Azithromycine 2 mg/ml
حقن Amikacin sulfate 100 mg/ml
كلوريد الصوديوم 0.9% 1800
هطول فوري غير متوافق
حقن Azithromycine 2 mg/ml
حقن Aztreonam 200 mg/ml
كلوريد الصوديوم 0.9% 1800
kompatibel
حقن Azithromycine 100 mg/ml
حقن Caffeine 10 mg/ml
لا شيء 3964
kompatibel
حقن Azithromycine 2 mg/ml
حقن Caspofungin acetate 0.5 mg/ml
كلوريد الصوديوم 0.9% 2233
kompatibel
حقن Azithromycine 2 mg/ml
حقن Cefiderocol sulfate tosylate 20 mg/mL
كلوريد الصوديوم 0.9% 4528
kompatibel
حقن Azithromycine 2 mg/ml
حقن Cefiderocol sulfate tosylate 20 mg/mL
الجلوكوز %5 4528
هطول فوري غير متوافق
حقن Azithromycine 2 mg/ml
حقن Cefotaxime sodium 200 mg/ml
كلوريد الصوديوم 0.9% 1800
kompatibel
حقن Azithromycine 2 mg/ml
حقن Ceftaroline fosamil 2,22 mg/ml
الجلوكوز %5 3249
kompatibel
حقن Azithromycine 2 mg/ml
حقن Ceftaroline fosamil 2,22 mg/ml
كلوريد الصوديوم 0.9% 3249
kompatibel
حقن Azithromycine 2 mg/ml
حقن Ceftaroline fosamil 2,22 mg/ml
محلول رينجر  اللاكتات 3249
هطول فوري غير متوافق
حقن Azithromycine 2 mg/ml
حقن Ceftazidime 80 mg/ml
كلوريد الصوديوم 0.9% 1800
kompatibel
حقن Azithromycine 2 mg/ml
حقن Ceftobiprole medocaril sodium 2 mg/ml
كلوريد الصوديوم 0.9% 2269
kompatibel
حقن Azithromycine 2 mg/ml
حقن Ceftobiprole medocaril sodium 2 mg/ml
محلول رينجر  اللاكتات 2269
kompatibel
حقن Azithromycine 2 mg/ml
حقن Ceftobiprole medocaril sodium 2 mg/ml
الجلوكوز %5 2269
kompatibel
حقن Azithromycine 2 mg/ml
حقن Ceftolozane / tazobactam 10/5 mg/ml
كلوريد الصوديوم 0.9% 3828
kompatibel
حقن Azithromycine 2 mg/ml
حقن Ceftolozane / tazobactam 10/5 mg/ml
الجلوكوز %5 3828
هطول فوري غير متوافق
حقن Azithromycine 2 mg/ml
حقن Ceftriaxone disodium 66.7 mg/ml
كلوريد الصوديوم 0.9% 1800
هطول فوري غير متوافق
حقن Azithromycine 2 mg/ml
حقن Cefuroxime sodium 100 mg/ml
كلوريد الصوديوم 0.9% 1800
هطول فوري غير متوافق
حقن Azithromycine 2 mg/ml
حقن Ciprofloxacin lactate 2 mg/ml
كلوريد الصوديوم 0.9% 1800
هطول فوري غير متوافق
حقن Azithromycine 2 mg/ml
حقن Clindamycin phosphate 30 mg/ml
كلوريد الصوديوم 0.9% 1800
هطول فوري غير متوافق
حقن Azithromycine 100 mg/ml
حقن Cloxacillin sodium 100 mg/ml
حقن المياه لل 3012
kompatibel
حقن Azithromycine 2 mg/ml
حقن Dexmedetomidine 4 µg/ml
كلوريد الصوديوم 0.9% 1712
kompatibel
حقن Azithromycine 2 mg/ml
حقن Diphenhydramine hydrochloride 50 mg/ml
كلوريد الصوديوم 0.9% 1800
kompatibel
حقن Azithromycine 2 mg/ml
حقن Dolasetron mesylate 20 mg/ml
كلوريد الصوديوم 0.9% 1800
kompatibel
حقن Azithromycine 2 mg/ml
حقن Doripenem 5 mg/ml
الجلوكوز %5 2262
kompatibel
حقن Azithromycine 2 mg/ml
حقن Doripenem 5 mg/ml
كلوريد الصوديوم 0.9% 2262
kompatibel
حقن Azithromycine 2 mg/ml
حقن Droperidol 2.5 mg/ml
كلوريد الصوديوم 0.9% 1800
هطول فوري غير متوافق
حقن Azithromycine 2 mg/ml
حقن Famotidine 2 mg/ml
كلوريد الصوديوم 0.9% 1800
kompatibel
حقن Azithromycine 2 mg/ml
حقن Fenoldopam mesylate 80 µg/ml
كلوريد الصوديوم 0.9% 1803
هطول فوري غير متوافق
حقن Azithromycine 2 mg/ml
حقن Fentanyl citrate 50 µg/ml
كلوريد الصوديوم 0.9% 1800
kompatibel
حقن Azithromycine 2 mg/ml
حقن Fosfomycin 30 mg/ml
كلوريد الصوديوم 0.9% 4055
kompatibel
حقن Azithromycine 2 mg/ml
حقن Fosfomycin 30 mg/ml
الجلوكوز %5 4055
هطول فوري غير متوافق
حقن Azithromycine 2 mg/ml
حقن Furosemide 10 mg/ml
كلوريد الصوديوم 0.9% 1800
هطول فوري غير متوافق
حقن Azithromycine 2 mg/ml
حقن Gentamicin sulfate 21 mg/ml
كلوريد الصوديوم 0.9% 1800
kompatibel
حقن Azithromycine 2 mg/ml
حقن Hetastarch 60 mg/ml
مذيب معين 1721
هطول فوري غير متوافق
حقن Azithromycine 2 mg/ml
حقن Imipenem - cilastatin sodium 5 mg/ml
كلوريد الصوديوم 0.9% 1800
التعكر في 2 ساعات غير متوافق
حقن Azithromycine 2 mg/ml
حقن Isavuconazonium sulfate 1.5 mg/ml
الجلوكوز %5 3829
kompatibel
حقن Azithromycine 2 mg/ml
حقن Isavuconazonium sulfate 1.5 mg/ml
كلوريد الصوديوم 0.9% 3829
هطول فوري غير متوافق
حقن Azithromycine 2 mg/ml
حقن Ketorolac tromethamine 15 mg/ml
كلوريد الصوديوم 0.9% 1800
هطول فوري غير متوافق
حقن Azithromycine 2 mg/ml
حقن Levofloxacine 5 mg/ml
كلوريد الصوديوم 0.9% 1800
kompatibel
حقن Azithromycine 100 mg/ml
حقن Meropenem 50 mg/ml
حقن المياه لل 4319
هطول فوري غير متوافق
حقن Azithromycine 2 mg/ml
حقن Morphine sulfate 1 mg/ml
كلوريد الصوديوم 0.9% 1800
kompatibel
حقن Azithromycine 500 mg/ml
حقن N-acetylcysteine 200 mg/ml
لا شيء 3766
kompatibel
حقن Azithromycine 500 mg/ml
حقن Naloxone hydrochloride 0.4 mg/ml
لا شيء 3408
kompatibel
حقن Azithromycine 2 mg/ml
حقن Ondansetron hydrochloride 2 mg/ml
كلوريد الصوديوم 0.9% 1800
kompatibel
حقن Azithromycine 100 mg/ml
حقن Paracetamol 10 mg/ml
4742
هطول فوري غير متوافق
حقن Azithromycine 2 mg/ml
حقن Piperacillin sodium / tazobactam 112.5 mg/ml
كلوريد الصوديوم 0.9% 1800
kompatibel
حقن Azithromycine 2 mg/ml
حقن Plazomicin sulfate 24 mg/ml
كلوريد الصوديوم 0.9% 4145
هطول فوري غير متوافق
حقن Azithromycine 50 mg/ml
حقن Salbutamol sulfate 1 mg/ml
لا شيء 3216
kompatibel
حقن Azithromycine 2 mg/ml
حقن Sulbactam/durlobactam 15/15 mg/ml
كلوريد الصوديوم 0.9% 4801
kompatibel
حقن Azithromycine 2 mg/ml
حقن Tedizolid phosphate 0.8 mg/ml
كلوريد الصوديوم 0.9% 3827
kompatibel
حقن Azithromycine 2 mg/ml
حقن Telavancin hydrochloride 7.5 mg/ml
الجلوكوز %5 3254
kompatibel
حقن Azithromycine 2 mg/ml
حقن Telavancin hydrochloride 7.5 mg/ml
كلوريد الصوديوم 0.9% 3254
kompatibel
حقن Azithromycine 2 mg/ml
حقن Telavancin hydrochloride 7.5 mg/ml
محلول رينجر  اللاكتات 3254
هطول فوري غير متوافق
حقن Azithromycine 100 mg/ml
حقن Thiopental sodium 25 mg/ml
كلوريد الصوديوم 0.9% 3767
هطول فوري غير متوافق
حقن Azithromycine 2 mg/ml
حقن Ticarcillin / clavulanic acid 103.3 mg/ml
كلوريد الصوديوم 0.9% 1800
هطول فوري غير متوافق
حقن Azithromycine 2 mg/ml
حقن Tobramycin sulfate 21 mg/ml
كلوريد الصوديوم 0.9% 1800

  Mentions Légales