Ostatnia aktualizacja :
18/03/2026
Antybiotyk   Azithromycine  
Injekcje
Maści
Trwałość roztworów Trwałość w mieszaninie Czynnik wpływający na trwałość Zgodność Sposób podania Bibliografia pdf
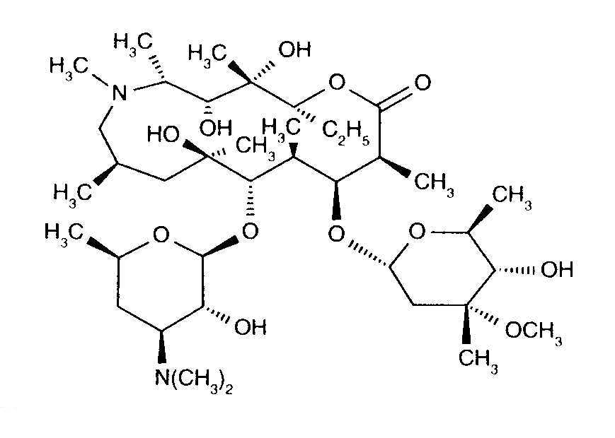
   Struktura chemiczna  

Nazwa handlowa   Nazwa handlowa     

Trade names are indicative and excipients composition can be different depending on the country and manufacturers

Azithromycin Kanada
Azithromycina Ekwador
Azithromycine Dr Erbeth Niemcy
Azitromax Szwecja
Sumamed Polska, Węgry
Zaret KolumbiaKolumbia
Zedbac Irlandia, Wielka Brytania
Zetamac Czechy
Zithromac Japonia
Zithromax Arabia Saudyjska, Australia, Chile, Egipt, Finlandia, Kanada, Malezja, Portugalia, Stany Zjednoczone Ameryki, Zjednoczone Emiraty Arabskie
Zgodność   Injekcje   Zgodność : Azithromycine              
Ekran ten wskazuje na kompatybilności lub niezgodności z, w tym przypadku, rodzajem niezgodności (strącanie, zmiana koloru, modyfikacja emulsji, itp.). Przedstawione tutaj kompatybilności są głównie fizyczne, a stabilność chemiczna każdej cząsteczki jest rzadko oceniana. Ocenę tych mieszanin badano w celu rozważenia możliwości podania pacjentowi w miejscu Y. Dane te nie mogą być wykorzystywane do sporządzania mieszanin z wyprzedzeniem w workach lub strzykawkach. Tego typu informacje są dostępne na ekranie „Stabilność w mieszaninie”.
Związek Rozpuszczalnik Bibliografia
Zgodny
Injekcje Azithromycine 100 mg/ml
Injekcje Amoxicillin sodium / clavulanic acid 100/10 mg/ml
3824
Zgodny
Injekcje Azithromycine 2 mg/ml
Injekcje Bivalirudin 5 mg/ml
Glukoza 5% 1713
Zgodny
Injekcje Azithromycine 500 mg/ml
Roztwór Ringera z mleczanem sodowym 4603
Natychmiastowe opady Niekompatybilny
Injekcje Azithromycine 2 mg/ml
Injekcje Amikacin sulfate 100 mg/ml
Chlorek sodu 0,9% 1800
Natychmiastowe opady Niekompatybilny
Injekcje Azithromycine 2 mg/ml
Injekcje Aztreonam 200 mg/ml
Chlorek sodu 0,9% 1800
Zgodny
Injekcje Azithromycine 100 mg/ml
Injekcje Caffeine 10 mg/ml
Żaden 3964
Zgodny
Injekcje Azithromycine 2 mg/ml
Injekcje Caspofungin acetate 0.5 mg/ml
Chlorek sodu 0,9% 2233
Zgodny
Injekcje Azithromycine 2 mg/ml
Injekcje Cefiderocol sulfate tosylate 20 mg/mL
Chlorek sodu 0,9% 4528
Zgodny
Injekcje Azithromycine 2 mg/ml
Injekcje Cefiderocol sulfate tosylate 20 mg/mL
Glukoza 5% 4528
Natychmiastowe opady Niekompatybilny
Injekcje Azithromycine 2 mg/ml
Injekcje Cefotaxime sodium 200 mg/ml
Chlorek sodu 0,9% 1800
Zgodny
Injekcje Azithromycine 2 mg/ml
Injekcje Ceftaroline fosamil 2,22 mg/ml
Glukoza 5% 3249
Zgodny
Injekcje Azithromycine 2 mg/ml
Injekcje Ceftaroline fosamil 2,22 mg/ml
Chlorek sodu 0,9% 3249
Zgodny
Injekcje Azithromycine 2 mg/ml
Injekcje Ceftaroline fosamil 2,22 mg/ml
Roztwór Ringera z mleczanem sodowym 3249
Natychmiastowe opady Niekompatybilny
Injekcje Azithromycine 2 mg/ml
Injekcje Ceftazidime 80 mg/ml
Chlorek sodu 0,9% 1800
Zgodny
Injekcje Azithromycine 2 mg/ml
Injekcje Ceftobiprole medocaril sodium 2 mg/ml
Chlorek sodu 0,9% 2269
Zgodny
Injekcje Azithromycine 2 mg/ml
Injekcje Ceftobiprole medocaril sodium 2 mg/ml
Roztwór Ringera z mleczanem sodowym 2269
Zgodny
Injekcje Azithromycine 2 mg/ml
Injekcje Ceftobiprole medocaril sodium 2 mg/ml
Glukoza 5% 2269
Zgodny
Injekcje Azithromycine 2 mg/ml
Injekcje Ceftolozane / tazobactam 10/5 mg/ml
Chlorek sodu 0,9% 3828
Zgodny
Injekcje Azithromycine 2 mg/ml
Injekcje Ceftolozane / tazobactam 10/5 mg/ml
Glukoza 5% 3828
Natychmiastowe opady Niekompatybilny
Injekcje Azithromycine 2 mg/ml
Injekcje Ceftriaxone disodium 66.7 mg/ml
Chlorek sodu 0,9% 1800
Natychmiastowe opady Niekompatybilny
Injekcje Azithromycine 2 mg/ml
Injekcje Cefuroxime sodium 100 mg/ml
Chlorek sodu 0,9% 1800
Natychmiastowe opady Niekompatybilny
Injekcje Azithromycine 2 mg/ml
Injekcje Ciprofloxacin lactate 2 mg/ml
Chlorek sodu 0,9% 1800
Natychmiastowe opady Niekompatybilny
Injekcje Azithromycine 2 mg/ml
Injekcje Clindamycin phosphate 30 mg/ml
Chlorek sodu 0,9% 1800
Natychmiastowe opady Niekompatybilny
Injekcje Azithromycine 100 mg/ml
Injekcje Cloxacillin sodium 100 mg/ml
Woda do wstrzyknięć 3012
Zgodny
Injekcje Azithromycine 2 mg/ml
Injekcje Dexmedetomidine 4 µg/ml
Chlorek sodu 0,9% 1712
Zgodny
Injekcje Azithromycine 2 mg/ml
Injekcje Diphenhydramine hydrochloride 50 mg/ml
Chlorek sodu 0,9% 1800
Zgodny
Injekcje Azithromycine 2 mg/ml
Injekcje Dolasetron mesylate 20 mg/ml
Chlorek sodu 0,9% 1800
Zgodny
Injekcje Azithromycine 2 mg/ml
Injekcje Doripenem 5 mg/ml
Glukoza 5% 2262
Zgodny
Injekcje Azithromycine 2 mg/ml
Injekcje Doripenem 5 mg/ml
Chlorek sodu 0,9% 2262
Zgodny
Injekcje Azithromycine 2 mg/ml
Injekcje Droperidol 2.5 mg/ml
Chlorek sodu 0,9% 1800
Natychmiastowe opady Niekompatybilny
Injekcje Azithromycine 2 mg/ml
Injekcje Famotidine 2 mg/ml
Chlorek sodu 0,9% 1800
Zgodny
Injekcje Azithromycine 2 mg/ml
Injekcje Fenoldopam mesylate 80 µg/ml
Chlorek sodu 0,9% 1803
Natychmiastowe opady Niekompatybilny
Injekcje Azithromycine 2 mg/ml
Injekcje Fentanyl citrate 50 µg/ml
Chlorek sodu 0,9% 1800
Zgodny
Injekcje Azithromycine 2 mg/ml
Injekcje Fosfomycin 30 mg/ml
Chlorek sodu 0,9% 4055
Zgodny
Injekcje Azithromycine 2 mg/ml
Injekcje Fosfomycin 30 mg/ml
Glukoza 5% 4055
Natychmiastowe opady Niekompatybilny
Injekcje Azithromycine 2 mg/ml
Injekcje Furosemide 10 mg/ml
Chlorek sodu 0,9% 1800
Natychmiastowe opady Niekompatybilny
Injekcje Azithromycine 2 mg/ml
Injekcje Gentamicin sulfate 21 mg/ml
Chlorek sodu 0,9% 1800
Zgodny
Injekcje Azithromycine 2 mg/ml
Injekcje Hetastarch 60 mg/ml
danego rozpuszczalnika 1721
Natychmiastowe opady Niekompatybilny
Injekcje Azithromycine 2 mg/ml
Injekcje Imipenem - cilastatin sodium 5 mg/ml
Chlorek sodu 0,9% 1800
Zmętnienie w ciągu 2 godzin Niekompatybilny
Injekcje Azithromycine 2 mg/ml
Injekcje Isavuconazonium sulfate 1.5 mg/ml
Glukoza 5% 3829
Zgodny
Injekcje Azithromycine 2 mg/ml
Injekcje Isavuconazonium sulfate 1.5 mg/ml
Chlorek sodu 0,9% 3829
Natychmiastowe opady Niekompatybilny
Injekcje Azithromycine 2 mg/ml
Injekcje Ketorolac tromethamine 15 mg/ml
Chlorek sodu 0,9% 1800
Natychmiastowe opady Niekompatybilny
Injekcje Azithromycine 2 mg/ml
Injekcje Levofloxacine 5 mg/ml
Chlorek sodu 0,9% 1800
Zgodny
Injekcje Azithromycine 100 mg/ml
Injekcje Meropenem 50 mg/ml
Woda do wstrzyknięć 4319
Natychmiastowe opady Niekompatybilny
Injekcje Azithromycine 2 mg/ml
Injekcje Morphine sulfate 1 mg/ml
Chlorek sodu 0,9% 1800
Zgodny
Injekcje Azithromycine 500 mg/ml
Injekcje N-acetylcysteine 200 mg/ml
Żaden 3766
Zgodny
Injekcje Azithromycine 500 mg/ml
Injekcje Naloxone hydrochloride 0.4 mg/ml
Żaden 3408
Zgodny
Injekcje Azithromycine 2 mg/ml
Injekcje Ondansetron hydrochloride 2 mg/ml
Chlorek sodu 0,9% 1800
Zgodny
Injekcje Azithromycine 100 mg/ml
Injekcje Paracetamol 10 mg/ml
4742
Natychmiastowe opady Niekompatybilny
Injekcje Azithromycine 2 mg/ml
Injekcje Piperacillin sodium / tazobactam 112.5 mg/ml
Chlorek sodu 0,9% 1800
Zgodny
Injekcje Azithromycine 2 mg/ml
Injekcje Plazomicin sulfate 24 mg/ml
Chlorek sodu 0,9% 4145
Natychmiastowe opady Niekompatybilny
Injekcje Azithromycine 50 mg/ml
Injekcje Salbutamol sulfate 1 mg/ml
Żaden 3216
Zgodny
Injekcje Azithromycine 2 mg/ml
Injekcje Sulbactam/durlobactam 15/15 mg/ml
Chlorek sodu 0,9% 4801
Zgodny
Injekcje Azithromycine 2 mg/ml
Injekcje Tedizolid phosphate 0.8 mg/ml
Chlorek sodu 0,9% 3827
Zgodny
Injekcje Azithromycine 2 mg/ml
Injekcje Telavancin hydrochloride 7.5 mg/ml
Glukoza 5% 3254
Zgodny
Injekcje Azithromycine 2 mg/ml
Injekcje Telavancin hydrochloride 7.5 mg/ml
Chlorek sodu 0,9% 3254
Zgodny
Injekcje Azithromycine 2 mg/ml
Injekcje Telavancin hydrochloride 7.5 mg/ml
Roztwór Ringera z mleczanem sodowym 3254
Natychmiastowe opady Niekompatybilny
Injekcje Azithromycine 100 mg/ml
Injekcje Thiopental sodium 25 mg/ml
Chlorek sodu 0,9% 3767
Natychmiastowe opady Niekompatybilny
Injekcje Azithromycine 2 mg/ml
Injekcje Ticarcillin / clavulanic acid 103.3 mg/ml
Chlorek sodu 0,9% 1800
Natychmiastowe opady Niekompatybilny
Injekcje Azithromycine 2 mg/ml
Injekcje Tobramycin sulfate 21 mg/ml
Chlorek sodu 0,9% 1800

  Mentions Légales