Letztes “update” :
18/03/2026
Antibiotikum   Azithromycine  
Injektion
Salben
Stabilität der Lösung Gemengestabilität Stabilitätbeeinflussende Faktoren Kompatibilitäten Applikationsart Literaturverzeichnis pdf
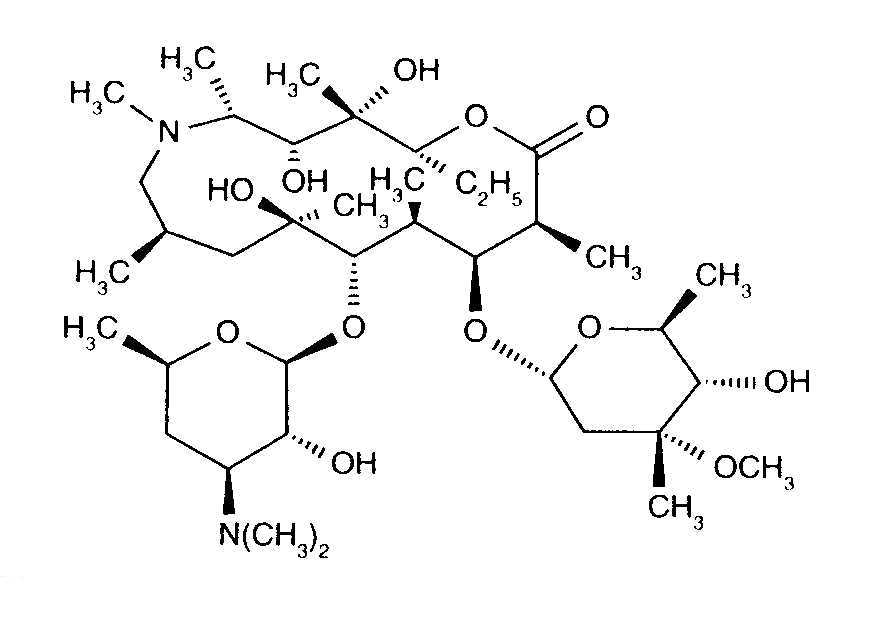
   Chemische Struktur  

Handelsmarke   Handelsmarke     

Handelsnamen sind als beispielhaft anzusehen. Sonstige Bestandteile können je nach Hersteller oder Land verschieden sein

Azithromycin Kanada
Azithromycina Ecuador
Azithromycine Dr Erbeth Deutschland
Azitromax Schweden
Sumamed Polen, Ungarn
Zaret Kolumbien
Zedbac Großbritannien, Irland
Zetamac Tschechische Republik
Zithromac Japan
Zithromax Ägypten, Australien, Chile, Finnland, Kanada, Malaysia, Portugal, Saudi-Arabien, Vereinigte Arabische Emirate, Vereinigte Staaten von Amerika
Kompatibilitäten   Injektion   Kompatibilitäten : Azithromycine              
Dieser Bildschirm zeigt die Kompatibilitäten oder Inkompatibilitäten mit der Art der Inkompatibilität (hier: Ausfällung, Farbänderung, Modifikation einer Emulsion usw.) an. Die hier gezeigten Kompatibilitäten sind meist nur physikalisch, wobei die chemische Stabilität jedes Moleküls selten bewertet wird. Die Bewertung dieser Gemische wurde untersucht, um die Möglichkeit einer Verabreichung über eine Y-Verbindung zu berücksichtigen. Diese Daten können daher nicht zur Herstellung von Mischungen im Voraus in Beuteln oder Spritzen verwendet werden. Sie finden diese Informationen auf dem Bildschirm "Stabilität in Mischung».
Molekül Lösungsmittel Literaturverzeichnis
kompatibel
Injektion Azithromycine 100 mg/ml
Injektion Amoxicillin sodium / clavulanic acid 100/10 mg/ml
3824
kompatibel
Injektion Azithromycine 2 mg/ml
Injektion Bivalirudin 5 mg/ml
5% Glucose 1713
kompatibel
Injektion Azithromycine 500 mg/ml
Ringer Lactat - Lösung 4603
Sofortiger Niederschlag nicht kompatibel
Injektion Azithromycine 2 mg/ml
Injektion Amikacin sulfate 100 mg/ml
0,9% Natriumchlorid 1800
Sofortiger Niederschlag nicht kompatibel
Injektion Azithromycine 2 mg/ml
Injektion Aztreonam 200 mg/ml
0,9% Natriumchlorid 1800
kompatibel
Injektion Azithromycine 100 mg/ml
Injektion Caffeine 10 mg/ml
Kein 3964
kompatibel
Injektion Azithromycine 2 mg/ml
Injektion Caspofungin acetate 0.5 mg/ml
0,9% Natriumchlorid 2233
kompatibel
Injektion Azithromycine 2 mg/ml
Injektion Cefiderocol sulfate tosylate 20 mg/mL
0,9% Natriumchlorid 4528
kompatibel
Injektion Azithromycine 2 mg/ml
Injektion Cefiderocol sulfate tosylate 20 mg/mL
5% Glucose 4528
Sofortiger Niederschlag nicht kompatibel
Injektion Azithromycine 2 mg/ml
Injektion Cefotaxime sodium 200 mg/ml
0,9% Natriumchlorid 1800
kompatibel
Injektion Azithromycine 2 mg/ml
Injektion Ceftaroline fosamil 2,22 mg/ml
5% Glucose 3249
kompatibel
Injektion Azithromycine 2 mg/ml
Injektion Ceftaroline fosamil 2,22 mg/ml
0,9% Natriumchlorid 3249
kompatibel
Injektion Azithromycine 2 mg/ml
Injektion Ceftaroline fosamil 2,22 mg/ml
Ringer Lactat - Lösung 3249
Sofortiger Niederschlag nicht kompatibel
Injektion Azithromycine 2 mg/ml
Injektion Ceftazidime 80 mg/ml
0,9% Natriumchlorid 1800
kompatibel
Injektion Azithromycine 2 mg/ml
Injektion Ceftobiprole medocaril sodium 2 mg/ml
0,9% Natriumchlorid 2269
kompatibel
Injektion Azithromycine 2 mg/ml
Injektion Ceftobiprole medocaril sodium 2 mg/ml
Ringer Lactat - Lösung 2269
kompatibel
Injektion Azithromycine 2 mg/ml
Injektion Ceftobiprole medocaril sodium 2 mg/ml
5% Glucose 2269
kompatibel
Injektion Azithromycine 2 mg/ml
Injektion Ceftolozane / tazobactam 10/5 mg/ml
0,9% Natriumchlorid 3828
kompatibel
Injektion Azithromycine 2 mg/ml
Injektion Ceftolozane / tazobactam 10/5 mg/ml
5% Glucose 3828
Sofortiger Niederschlag nicht kompatibel
Injektion Azithromycine 2 mg/ml
Injektion Ceftriaxone disodium 66.7 mg/ml
0,9% Natriumchlorid 1800
Sofortiger Niederschlag nicht kompatibel
Injektion Azithromycine 2 mg/ml
Injektion Cefuroxime sodium 100 mg/ml
0,9% Natriumchlorid 1800
Sofortiger Niederschlag nicht kompatibel
Injektion Azithromycine 2 mg/ml
Injektion Ciprofloxacin lactate 2 mg/ml
0,9% Natriumchlorid 1800
Sofortiger Niederschlag nicht kompatibel
Injektion Azithromycine 2 mg/ml
Injektion Clindamycin phosphate 30 mg/ml
0,9% Natriumchlorid 1800
Sofortiger Niederschlag nicht kompatibel
Injektion Azithromycine 100 mg/ml
Injektion Cloxacillin sodium 100 mg/ml
Wasser für injektable präparate 3012
kompatibel
Injektion Azithromycine 2 mg/ml
Injektion Dexmedetomidine 4 µg/ml
0,9% Natriumchlorid 1712
kompatibel
Injektion Azithromycine 2 mg/ml
Injektion Diphenhydramine hydrochloride 50 mg/ml
0,9% Natriumchlorid 1800
kompatibel
Injektion Azithromycine 2 mg/ml
Injektion Dolasetron mesylate 20 mg/ml
0,9% Natriumchlorid 1800
kompatibel
Injektion Azithromycine 2 mg/ml
Injektion Doripenem 5 mg/ml
5% Glucose 2262
kompatibel
Injektion Azithromycine 2 mg/ml
Injektion Doripenem 5 mg/ml
0,9% Natriumchlorid 2262
kompatibel
Injektion Azithromycine 2 mg/ml
Injektion Droperidol 2.5 mg/ml
0,9% Natriumchlorid 1800
Sofortiger Niederschlag nicht kompatibel
Injektion Azithromycine 2 mg/ml
Injektion Famotidine 2 mg/ml
0,9% Natriumchlorid 1800
kompatibel
Injektion Azithromycine 2 mg/ml
Injektion Fenoldopam mesylate 80 µg/ml
0,9% Natriumchlorid 1803
Sofortiger Niederschlag nicht kompatibel
Injektion Azithromycine 2 mg/ml
Injektion Fentanyl citrate 50 µg/ml
0,9% Natriumchlorid 1800
kompatibel
Injektion Azithromycine 2 mg/ml
Injektion Fosfomycin 30 mg/ml
0,9% Natriumchlorid 4055
kompatibel
Injektion Azithromycine 2 mg/ml
Injektion Fosfomycin 30 mg/ml
5% Glucose 4055
Sofortiger Niederschlag nicht kompatibel
Injektion Azithromycine 2 mg/ml
Injektion Furosemide 10 mg/ml
0,9% Natriumchlorid 1800
Sofortiger Niederschlag nicht kompatibel
Injektion Azithromycine 2 mg/ml
Injektion Gentamicin sulfate 21 mg/ml
0,9% Natriumchlorid 1800
kompatibel
Injektion Azithromycine 2 mg/ml
Injektion Hetastarch 60 mg/ml
spezifische Lösungsmittel 1721
Sofortiger Niederschlag nicht kompatibel
Injektion Azithromycine 2 mg/ml
Injektion Imipenem - cilastatin sodium 5 mg/ml
0,9% Natriumchlorid 1800
Trübung in 2 Stunden nicht kompatibel
Injektion Azithromycine 2 mg/ml
Injektion Isavuconazonium sulfate 1.5 mg/ml
5% Glucose 3829
kompatibel
Injektion Azithromycine 2 mg/ml
Injektion Isavuconazonium sulfate 1.5 mg/ml
0,9% Natriumchlorid 3829
Sofortiger Niederschlag nicht kompatibel
Injektion Azithromycine 2 mg/ml
Injektion Ketorolac tromethamine 15 mg/ml
0,9% Natriumchlorid 1800
Sofortiger Niederschlag nicht kompatibel
Injektion Azithromycine 2 mg/ml
Injektion Levofloxacine 5 mg/ml
0,9% Natriumchlorid 1800
kompatibel
Injektion Azithromycine 100 mg/ml
Injektion Meropenem 50 mg/ml
Wasser für injektable präparate 4319
Sofortiger Niederschlag nicht kompatibel
Injektion Azithromycine 2 mg/ml
Injektion Morphine sulfate 1 mg/ml
0,9% Natriumchlorid 1800
kompatibel
Injektion Azithromycine 500 mg/ml
Injektion N-acetylcysteine 200 mg/ml
Kein 3766
kompatibel
Injektion Azithromycine 500 mg/ml
Injektion Naloxone hydrochloride 0.4 mg/ml
Kein 3408
kompatibel
Injektion Azithromycine 2 mg/ml
Injektion Ondansetron hydrochloride 2 mg/ml
0,9% Natriumchlorid 1800
kompatibel
Injektion Azithromycine 100 mg/ml
Injektion Paracetamol 10 mg/ml
4742
Sofortiger Niederschlag nicht kompatibel
Injektion Azithromycine 2 mg/ml
Injektion Piperacillin sodium / tazobactam 112.5 mg/ml
0,9% Natriumchlorid 1800
kompatibel
Injektion Azithromycine 2 mg/ml
Injektion Plazomicin sulfate 24 mg/ml
0,9% Natriumchlorid 4145
Sofortiger Niederschlag nicht kompatibel
Injektion Azithromycine 50 mg/ml
Injektion Salbutamol sulfate 1 mg/ml
Kein 3216
kompatibel
Injektion Azithromycine 2 mg/ml
Injektion Sulbactam/durlobactam 15/15 mg/ml
0,9% Natriumchlorid 4801
kompatibel
Injektion Azithromycine 2 mg/ml
Injektion Tedizolid phosphate 0.8 mg/ml
0,9% Natriumchlorid 3827
kompatibel
Injektion Azithromycine 2 mg/ml
Injektion Telavancin hydrochloride 7.5 mg/ml
5% Glucose 3254
kompatibel
Injektion Azithromycine 2 mg/ml
Injektion Telavancin hydrochloride 7.5 mg/ml
0,9% Natriumchlorid 3254
kompatibel
Injektion Azithromycine 2 mg/ml
Injektion Telavancin hydrochloride 7.5 mg/ml
Ringer Lactat - Lösung 3254
Sofortiger Niederschlag nicht kompatibel
Injektion Azithromycine 100 mg/ml
Injektion Thiopental sodium 25 mg/ml
0,9% Natriumchlorid 3767
Sofortiger Niederschlag nicht kompatibel
Injektion Azithromycine 2 mg/ml
Injektion Ticarcillin / clavulanic acid 103.3 mg/ml
0,9% Natriumchlorid 1800
Sofortiger Niederschlag nicht kompatibel
Injektion Azithromycine 2 mg/ml
Injektion Tobramycin sulfate 21 mg/ml
0,9% Natriumchlorid 1800

  Mentions Légales