Utolsó frissítés :
18/03/2026
Antibiotikum   Azithromycine  
Injekció
kenőcs
Az oldatok stabilitása A keverékek stabilitása Stabilitást befolyásoló tényezők Kompatibilitás Az alkalmazás módja Irodalom pdf
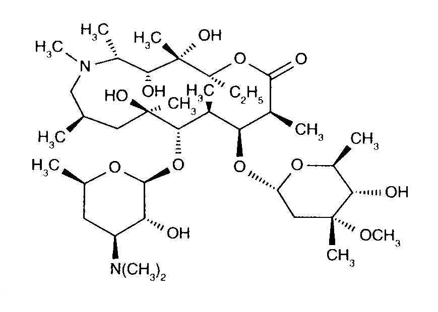
   Kémiai szerkezet   

Kereskedelmi név   Kereskedelmi név     

A kereskedelmi név meghatározó jelentőségű: a készítmények összetétele országonként, előállítóként eltérő lehet

Azithromycin Kanada
Azithromycina Ecuador
Azithromycine Dr Erbeth Németország
Azitromax Svédország
Sumamed Lengyelország, Magyarország
Zaret Colombia
Zedbac Írország, Nagy-Britannia
Zetamac Csehország
Zithromac Japán
Zithromax Amerikai Egyesült Államok, Ausztrália, Chile, Egyesült Arab Emírségek, Egyiptom, Finnország, Kanada, Malaysia, Portugália, Szaúd-Arábiában
Kompatibilitás   Injekció   Kompatibilitás : Azithromycine              
Ovdje su prikazane kompatibilnosti ili nekompatibilnosti s tipom nekompatibilnosti (taloženje, promjena boje, modifikacija emulzije itd.) u ovom slučaju. Kompatibilnosti prikazane ovdje najčešće su fizikalne dok se kemijska stabilnost molekule rijetko procjenjuje. Procjena ovih mikstura je proučavana kako bi se razmotrila mogućnost primjene lijeka putem Y-mjesta. Ovi se podaci ne smiju koristiti za pripremu mikstura unaprijed u vrećicama ili štrcaljkama. Ova vrsta informacije se može pronaći u odjeljku « stabilnost u miksturama ».
Vegyület Oldószer Irodalom
Összeegyeztethető
Injekció Azithromycine 100 mg/ml
Injekció Amoxicillin sodium / clavulanic acid 100/10 mg/ml
3824
Összeegyeztethető
Injekció Azithromycine 2 mg/ml
Injekció Bivalirudin 5 mg/ml
5% glükóz 1713
Összeegyeztethető
Injekció Azithromycine 500 mg/ml
Ringer-laktát oldat 4603
Azonnali csapadék Összeegyeztethetetlen
Injekció Azithromycine 2 mg/ml
Injekció Amikacin sulfate 100 mg/ml
0,9% nátrium-klorid 1800
Azonnali csapadék Összeegyeztethetetlen
Injekció Azithromycine 2 mg/ml
Injekció Aztreonam 200 mg/ml
0,9% nátrium-klorid 1800
Összeegyeztethető
Injekció Azithromycine 100 mg/ml
Injekció Caffeine 10 mg/ml
Egy sem 3964
Összeegyeztethető
Injekció Azithromycine 2 mg/ml
Injekció Caspofungin acetate 0.5 mg/ml
0,9% nátrium-klorid 2233
Összeegyeztethető
Injekció Azithromycine 2 mg/ml
Injekció Cefiderocol sulfate tosylate 20 mg/mL
0,9% nátrium-klorid 4528
Összeegyeztethető
Injekció Azithromycine 2 mg/ml
Injekció Cefiderocol sulfate tosylate 20 mg/mL
5% glükóz 4528
Azonnali csapadék Összeegyeztethetetlen
Injekció Azithromycine 2 mg/ml
Injekció Cefotaxime sodium 200 mg/ml
0,9% nátrium-klorid 1800
Összeegyeztethető
Injekció Azithromycine 2 mg/ml
Injekció Ceftaroline fosamil 2,22 mg/ml
5% glükóz 3249
Összeegyeztethető
Injekció Azithromycine 2 mg/ml
Injekció Ceftaroline fosamil 2,22 mg/ml
0,9% nátrium-klorid 3249
Összeegyeztethető
Injekció Azithromycine 2 mg/ml
Injekció Ceftaroline fosamil 2,22 mg/ml
Ringer-laktát oldat 3249
Azonnali csapadék Összeegyeztethetetlen
Injekció Azithromycine 2 mg/ml
Injekció Ceftazidime 80 mg/ml
0,9% nátrium-klorid 1800
Összeegyeztethető
Injekció Azithromycine 2 mg/ml
Injekció Ceftobiprole medocaril sodium 2 mg/ml
0,9% nátrium-klorid 2269
Összeegyeztethető
Injekció Azithromycine 2 mg/ml
Injekció Ceftobiprole medocaril sodium 2 mg/ml
Ringer-laktát oldat 2269
Összeegyeztethető
Injekció Azithromycine 2 mg/ml
Injekció Ceftobiprole medocaril sodium 2 mg/ml
5% glükóz 2269
Összeegyeztethető
Injekció Azithromycine 2 mg/ml
Injekció Ceftolozane / tazobactam 10/5 mg/ml
0,9% nátrium-klorid 3828
Összeegyeztethető
Injekció Azithromycine 2 mg/ml
Injekció Ceftolozane / tazobactam 10/5 mg/ml
5% glükóz 3828
Azonnali csapadék Összeegyeztethetetlen
Injekció Azithromycine 2 mg/ml
Injekció Ceftriaxone disodium 66.7 mg/ml
0,9% nátrium-klorid 1800
Azonnali csapadék Összeegyeztethetetlen
Injekció Azithromycine 2 mg/ml
Injekció Cefuroxime sodium 100 mg/ml
0,9% nátrium-klorid 1800
Azonnali csapadék Összeegyeztethetetlen
Injekció Azithromycine 2 mg/ml
Injekció Ciprofloxacin lactate 2 mg/ml
0,9% nátrium-klorid 1800
Azonnali csapadék Összeegyeztethetetlen
Injekció Azithromycine 2 mg/ml
Injekció Clindamycin phosphate 30 mg/ml
0,9% nátrium-klorid 1800
Azonnali csapadék Összeegyeztethetetlen
Injekció Azithromycine 100 mg/ml
Injekció Cloxacillin sodium 100 mg/ml
Injekcióhoz való víz 3012
Összeegyeztethető
Injekció Azithromycine 2 mg/ml
Injekció Dexmedetomidine 4 µg/ml
0,9% nátrium-klorid 1712
Összeegyeztethető
Injekció Azithromycine 2 mg/ml
Injekció Diphenhydramine hydrochloride 50 mg/ml
0,9% nátrium-klorid 1800
Összeegyeztethető
Injekció Azithromycine 2 mg/ml
Injekció Dolasetron mesylate 20 mg/ml
0,9% nátrium-klorid 1800
Összeegyeztethető
Injekció Azithromycine 2 mg/ml
Injekció Doripenem 5 mg/ml
5% glükóz 2262
Összeegyeztethető
Injekció Azithromycine 2 mg/ml
Injekció Doripenem 5 mg/ml
0,9% nátrium-klorid 2262
Összeegyeztethető
Injekció Azithromycine 2 mg/ml
Injekció Droperidol 2.5 mg/ml
0,9% nátrium-klorid 1800
Azonnali csapadék Összeegyeztethetetlen
Injekció Azithromycine 2 mg/ml
Injekció Famotidine 2 mg/ml
0,9% nátrium-klorid 1800
Összeegyeztethető
Injekció Azithromycine 2 mg/ml
Injekció Fenoldopam mesylate 80 µg/ml
0,9% nátrium-klorid 1803
Azonnali csapadék Összeegyeztethetetlen
Injekció Azithromycine 2 mg/ml
Injekció Fentanyl citrate 50 µg/ml
0,9% nátrium-klorid 1800
Összeegyeztethető
Injekció Azithromycine 2 mg/ml
Injekció Fosfomycin 30 mg/ml
0,9% nátrium-klorid 4055
Összeegyeztethető
Injekció Azithromycine 2 mg/ml
Injekció Fosfomycin 30 mg/ml
5% glükóz 4055
Azonnali csapadék Összeegyeztethetetlen
Injekció Azithromycine 2 mg/ml
Injekció Furosemide 10 mg/ml
0,9% nátrium-klorid 1800
Azonnali csapadék Összeegyeztethetetlen
Injekció Azithromycine 2 mg/ml
Injekció Gentamicin sulfate 21 mg/ml
0,9% nátrium-klorid 1800
Összeegyeztethető
Injekció Azithromycine 2 mg/ml
Injekció Hetastarch 60 mg/ml
egyedi oldószer 1721
Azonnali csapadék Összeegyeztethetetlen
Injekció Azithromycine 2 mg/ml
Injekció Imipenem - cilastatin sodium 5 mg/ml
0,9% nátrium-klorid 1800
2 órán belüli zavarosság Összeegyeztethetetlen
Injekció Azithromycine 2 mg/ml
Injekció Isavuconazonium sulfate 1.5 mg/ml
5% glükóz 3829
Összeegyeztethető
Injekció Azithromycine 2 mg/ml
Injekció Isavuconazonium sulfate 1.5 mg/ml
0,9% nátrium-klorid 3829
Azonnali csapadék Összeegyeztethetetlen
Injekció Azithromycine 2 mg/ml
Injekció Ketorolac tromethamine 15 mg/ml
0,9% nátrium-klorid 1800
Azonnali csapadék Összeegyeztethetetlen
Injekció Azithromycine 2 mg/ml
Injekció Levofloxacine 5 mg/ml
0,9% nátrium-klorid 1800
Összeegyeztethető
Injekció Azithromycine 100 mg/ml
Injekció Meropenem 50 mg/ml
Injekcióhoz való víz 4319
Azonnali csapadék Összeegyeztethetetlen
Injekció Azithromycine 2 mg/ml
Injekció Morphine sulfate 1 mg/ml
0,9% nátrium-klorid 1800
Összeegyeztethető
Injekció Azithromycine 500 mg/ml
Injekció N-acetylcysteine 200 mg/ml
Egy sem 3766
Összeegyeztethető
Injekció Azithromycine 500 mg/ml
Injekció Naloxone hydrochloride 0.4 mg/ml
Egy sem 3408
Összeegyeztethető
Injekció Azithromycine 2 mg/ml
Injekció Ondansetron hydrochloride 2 mg/ml
0,9% nátrium-klorid 1800
Összeegyeztethető
Injekció Azithromycine 100 mg/ml
Injekció Paracetamol 10 mg/ml
4742
Azonnali csapadék Összeegyeztethetetlen
Injekció Azithromycine 2 mg/ml
Injekció Piperacillin sodium / tazobactam 112.5 mg/ml
0,9% nátrium-klorid 1800
Összeegyeztethető
Injekció Azithromycine 2 mg/ml
Injekció Plazomicin sulfate 24 mg/ml
0,9% nátrium-klorid 4145
Azonnali csapadék Összeegyeztethetetlen
Injekció Azithromycine 50 mg/ml
Injekció Salbutamol sulfate 1 mg/ml
Egy sem 3216
Összeegyeztethető
Injekció Azithromycine 2 mg/ml
Injekció Sulbactam/durlobactam 15/15 mg/ml
0,9% nátrium-klorid 4801
Összeegyeztethető
Injekció Azithromycine 2 mg/ml
Injekció Tedizolid phosphate 0.8 mg/ml
0,9% nátrium-klorid 3827
Összeegyeztethető
Injekció Azithromycine 2 mg/ml
Injekció Telavancin hydrochloride 7.5 mg/ml
5% glükóz 3254
Összeegyeztethető
Injekció Azithromycine 2 mg/ml
Injekció Telavancin hydrochloride 7.5 mg/ml
0,9% nátrium-klorid 3254
Összeegyeztethető
Injekció Azithromycine 2 mg/ml
Injekció Telavancin hydrochloride 7.5 mg/ml
Ringer-laktát oldat 3254
Azonnali csapadék Összeegyeztethetetlen
Injekció Azithromycine 100 mg/ml
Injekció Thiopental sodium 25 mg/ml
0,9% nátrium-klorid 3767
Azonnali csapadék Összeegyeztethetetlen
Injekció Azithromycine 2 mg/ml
Injekció Ticarcillin / clavulanic acid 103.3 mg/ml
0,9% nátrium-klorid 1800
Azonnali csapadék Összeegyeztethetetlen
Injekció Azithromycine 2 mg/ml
Injekció Tobramycin sulfate 21 mg/ml
0,9% nátrium-klorid 1800

  Mentions Légales