Seneste opdatering :
18/03/2026
Antibiotisk   Azithromycine  
Injektion
Salver
Stabilitet i (vandige) opløsninger Stabilitet i blandinger Faktorer der påvirker stabiliteten Kompatibilitet Administrationsvej Bibliografi pdf
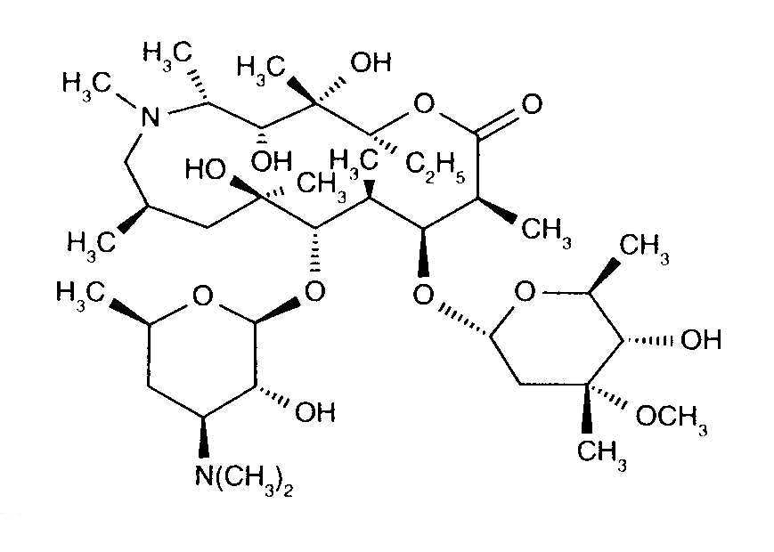
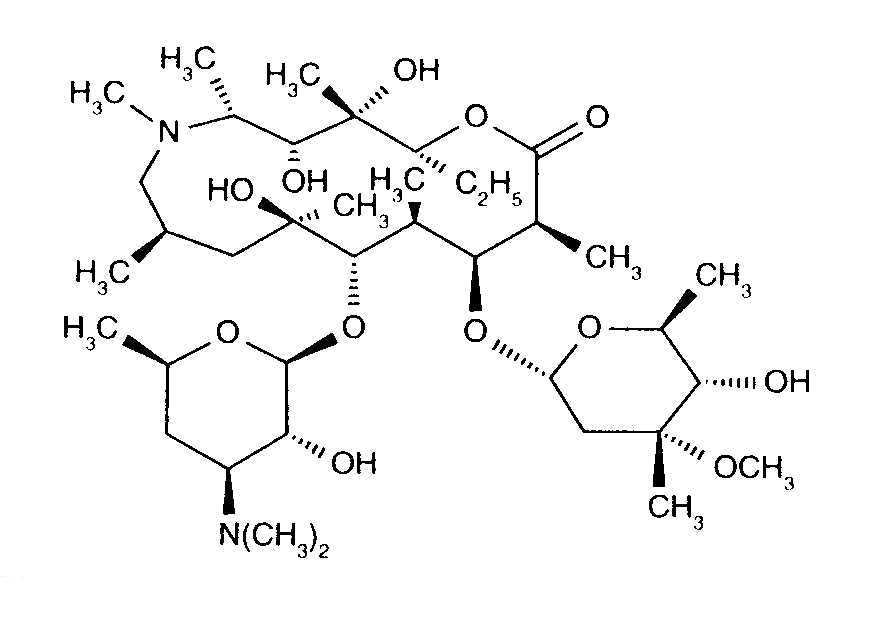
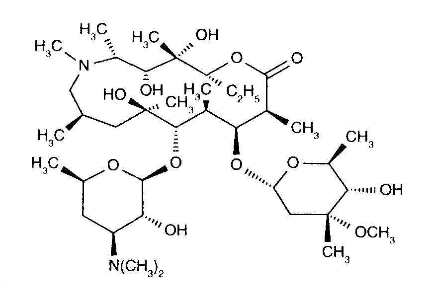
   Kemisk struktur  

Handelsnavn   Handelsnavn     

Handel navne er vejledende og hjælpestoffer sammensætning kan være forskellig afhængigt af landet og laboratorier

Azithromycin Canada
Azithromycina Ecuador
Azithromycine Dr Erbeth Tyskland
Azitromax Sverige
Sumamed Polen, Ungarn
Zaret Colombia
Zedbac Irland, Storbritanien
Zetamac Tjekkiet
Zithromac Japan
Zithromax Australien, Canada, Chile, Finland, Forenede Arabiske Emirater, Malaysia, Portugal, Saudi-Arabien, USA, Ægypten
Kompatibilitet   Injektion   Kompatibilitet : Azithromycine              
Denne skærm viser kompatibilitet eller uforenelighed med, i dette tilfælde typen af inkompatibilitet (udfældning, farveændring, ændring af en emulsion osv.). Kompatibiliteterne vist her er for det meste kun fysiske, idet den kemiske stabilitet af hvert molekyle sjældent vurderes. Evalueringen af disse blandinger blev undersøgt for at overveje muligheden for Y-sted-administration til patienten. Disse data kan ikke bruges til at fremstille blandinger på forhånd i poser eller sprøjter. Denne type information findes på skærmen "Stabilitet i blanding".
Molekyle Opløsningsmiddel Bibliografi
Kompatibel
Injektion Azithromycine 100 mg/ml
Injektion Amoxicillin sodium / clavulanic acid 100/10 mg/ml
3824
Kompatibel
Injektion Azithromycine 2 mg/ml
Injektion Bivalirudin 5 mg/ml
5 % Glukose 1713
Kompatibel
Injektion Azithromycine 500 mg/ml
Ringer laktat 4603
Umiddelbar nedbør Uforenelig
Injektion Azithromycine 2 mg/ml
Injektion Amikacin sulfate 100 mg/ml
0,9 % Natriumklorid 1800
Umiddelbar nedbør Uforenelig
Injektion Azithromycine 2 mg/ml
Injektion Aztreonam 200 mg/ml
0,9 % Natriumklorid 1800
Kompatibel
Injektion Azithromycine 100 mg/ml
Injektion Caffeine 10 mg/ml
Ingen 3964
Kompatibel
Injektion Azithromycine 2 mg/ml
Injektion Caspofungin acetate 0.5 mg/ml
0,9 % Natriumklorid 2233
Kompatibel
Injektion Azithromycine 2 mg/ml
Injektion Cefiderocol sulfate tosylate 20 mg/mL
0,9 % Natriumklorid 4528
Kompatibel
Injektion Azithromycine 2 mg/ml
Injektion Cefiderocol sulfate tosylate 20 mg/mL
5 % Glukose 4528
Umiddelbar nedbør Uforenelig
Injektion Azithromycine 2 mg/ml
Injektion Cefotaxime sodium 200 mg/ml
0,9 % Natriumklorid 1800
Kompatibel
Injektion Azithromycine 2 mg/ml
Injektion Ceftaroline fosamil 2,22 mg/ml
5 % Glukose 3249
Kompatibel
Injektion Azithromycine 2 mg/ml
Injektion Ceftaroline fosamil 2,22 mg/ml
0,9 % Natriumklorid 3249
Kompatibel
Injektion Azithromycine 2 mg/ml
Injektion Ceftaroline fosamil 2,22 mg/ml
Ringer laktat 3249
Umiddelbar nedbør Uforenelig
Injektion Azithromycine 2 mg/ml
Injektion Ceftazidime 80 mg/ml
0,9 % Natriumklorid 1800
Kompatibel
Injektion Azithromycine 2 mg/ml
Injektion Ceftobiprole medocaril sodium 2 mg/ml
0,9 % Natriumklorid 2269
Kompatibel
Injektion Azithromycine 2 mg/ml
Injektion Ceftobiprole medocaril sodium 2 mg/ml
Ringer laktat 2269
Kompatibel
Injektion Azithromycine 2 mg/ml
Injektion Ceftobiprole medocaril sodium 2 mg/ml
5 % Glukose 2269
Kompatibel
Injektion Azithromycine 2 mg/ml
Injektion Ceftolozane / tazobactam 10/5 mg/ml
0,9 % Natriumklorid 3828
Kompatibel
Injektion Azithromycine 2 mg/ml
Injektion Ceftolozane / tazobactam 10/5 mg/ml
5 % Glukose 3828
Umiddelbar nedbør Uforenelig
Injektion Azithromycine 2 mg/ml
Injektion Ceftriaxone disodium 66.7 mg/ml
0,9 % Natriumklorid 1800
Umiddelbar nedbør Uforenelig
Injektion Azithromycine 2 mg/ml
Injektion Cefuroxime sodium 100 mg/ml
0,9 % Natriumklorid 1800
Umiddelbar nedbør Uforenelig
Injektion Azithromycine 2 mg/ml
Injektion Ciprofloxacin lactate 2 mg/ml
0,9 % Natriumklorid 1800
Umiddelbar nedbør Uforenelig
Injektion Azithromycine 2 mg/ml
Injektion Clindamycin phosphate 30 mg/ml
0,9 % Natriumklorid 1800
Umiddelbar nedbør Uforenelig
Injektion Azithromycine 100 mg/ml
Injektion Cloxacillin sodium 100 mg/ml
Vand til injektion 3012
Kompatibel
Injektion Azithromycine 2 mg/ml
Injektion Dexmedetomidine 4 µg/ml
0,9 % Natriumklorid 1712
Kompatibel
Injektion Azithromycine 2 mg/ml
Injektion Diphenhydramine hydrochloride 50 mg/ml
0,9 % Natriumklorid 1800
Kompatibel
Injektion Azithromycine 2 mg/ml
Injektion Dolasetron mesylate 20 mg/ml
0,9 % Natriumklorid 1800
Kompatibel
Injektion Azithromycine 2 mg/ml
Injektion Doripenem 5 mg/ml
5 % Glukose 2262
Kompatibel
Injektion Azithromycine 2 mg/ml
Injektion Doripenem 5 mg/ml
0,9 % Natriumklorid 2262
Kompatibel
Injektion Azithromycine 2 mg/ml
Injektion Droperidol 2.5 mg/ml
0,9 % Natriumklorid 1800
Umiddelbar nedbør Uforenelig
Injektion Azithromycine 2 mg/ml
Injektion Famotidine 2 mg/ml
0,9 % Natriumklorid 1800
Kompatibel
Injektion Azithromycine 2 mg/ml
Injektion Fenoldopam mesylate 80 µg/ml
0,9 % Natriumklorid 1803
Umiddelbar nedbør Uforenelig
Injektion Azithromycine 2 mg/ml
Injektion Fentanyl citrate 50 µg/ml
0,9 % Natriumklorid 1800
Kompatibel
Injektion Azithromycine 2 mg/ml
Injektion Fosfomycin 30 mg/ml
0,9 % Natriumklorid 4055
Kompatibel
Injektion Azithromycine 2 mg/ml
Injektion Fosfomycin 30 mg/ml
5 % Glukose 4055
Umiddelbar nedbør Uforenelig
Injektion Azithromycine 2 mg/ml
Injektion Furosemide 10 mg/ml
0,9 % Natriumklorid 1800
Umiddelbar nedbør Uforenelig
Injektion Azithromycine 2 mg/ml
Injektion Gentamicin sulfate 21 mg/ml
0,9 % Natriumklorid 1800
Kompatibel
Injektion Azithromycine 2 mg/ml
Injektion Hetastarch 60 mg/ml
specifikt opløsningsmiddel 1721
Umiddelbar nedbør Uforenelig
Injektion Azithromycine 2 mg/ml
Injektion Imipenem - cilastatin sodium 5 mg/ml
0,9 % Natriumklorid 1800
Uklarhed om 2 timer Uforenelig
Injektion Azithromycine 2 mg/ml
Injektion Isavuconazonium sulfate 1.5 mg/ml
5 % Glukose 3829
Kompatibel
Injektion Azithromycine 2 mg/ml
Injektion Isavuconazonium sulfate 1.5 mg/ml
0,9 % Natriumklorid 3829
Umiddelbar nedbør Uforenelig
Injektion Azithromycine 2 mg/ml
Injektion Ketorolac tromethamine 15 mg/ml
0,9 % Natriumklorid 1800
Umiddelbar nedbør Uforenelig
Injektion Azithromycine 2 mg/ml
Injektion Levofloxacine 5 mg/ml
0,9 % Natriumklorid 1800
Kompatibel
Injektion Azithromycine 100 mg/ml
Injektion Meropenem 50 mg/ml
Vand til injektion 4319
Umiddelbar nedbør Uforenelig
Injektion Azithromycine 2 mg/ml
Injektion Morphine sulfate 1 mg/ml
0,9 % Natriumklorid 1800
Kompatibel
Injektion Azithromycine 500 mg/ml
Injektion N-acetylcysteine 200 mg/ml
Ingen 3766
Kompatibel
Injektion Azithromycine 500 mg/ml
Injektion Naloxone hydrochloride 0.4 mg/ml
Ingen 3408
Kompatibel
Injektion Azithromycine 2 mg/ml
Injektion Ondansetron hydrochloride 2 mg/ml
0,9 % Natriumklorid 1800
Kompatibel
Injektion Azithromycine 100 mg/ml
Injektion Paracetamol 10 mg/ml
4742
Umiddelbar nedbør Uforenelig
Injektion Azithromycine 2 mg/ml
Injektion Piperacillin sodium / tazobactam 112.5 mg/ml
0,9 % Natriumklorid 1800
Kompatibel
Injektion Azithromycine 2 mg/ml
Injektion Plazomicin sulfate 24 mg/ml
0,9 % Natriumklorid 4145
Umiddelbar nedbør Uforenelig
Injektion Azithromycine 50 mg/ml
Injektion Salbutamol sulfate 1 mg/ml
Ingen 3216
Kompatibel
Injektion Azithromycine 2 mg/ml
Injektion Sulbactam/durlobactam 15/15 mg/ml
0,9 % Natriumklorid 4801
Kompatibel
Injektion Azithromycine 2 mg/ml
Injektion Tedizolid phosphate 0.8 mg/ml
0,9 % Natriumklorid 3827
Kompatibel
Injektion Azithromycine 2 mg/ml
Injektion Telavancin hydrochloride 7.5 mg/ml
5 % Glukose 3254
Kompatibel
Injektion Azithromycine 2 mg/ml
Injektion Telavancin hydrochloride 7.5 mg/ml
0,9 % Natriumklorid 3254
Kompatibel
Injektion Azithromycine 2 mg/ml
Injektion Telavancin hydrochloride 7.5 mg/ml
Ringer laktat 3254
Umiddelbar nedbør Uforenelig
Injektion Azithromycine 100 mg/ml
Injektion Thiopental sodium 25 mg/ml
0,9 % Natriumklorid 3767
Umiddelbar nedbør Uforenelig
Injektion Azithromycine 2 mg/ml
Injektion Ticarcillin / clavulanic acid 103.3 mg/ml
0,9 % Natriumklorid 1800
Umiddelbar nedbør Uforenelig
Injektion Azithromycine 2 mg/ml
Injektion Tobramycin sulfate 21 mg/ml
0,9 % Natriumklorid 1800

  Mentions Légales