Poslední aktualizace :
18/03/2026
Antibiotikum   Azithromycine  
injekce
Masti
Stabilita roztoků Stabilita směsí Faktory ovlivňující stabilitu Kompatibilita Způsoby aplikace Odkazy pdf
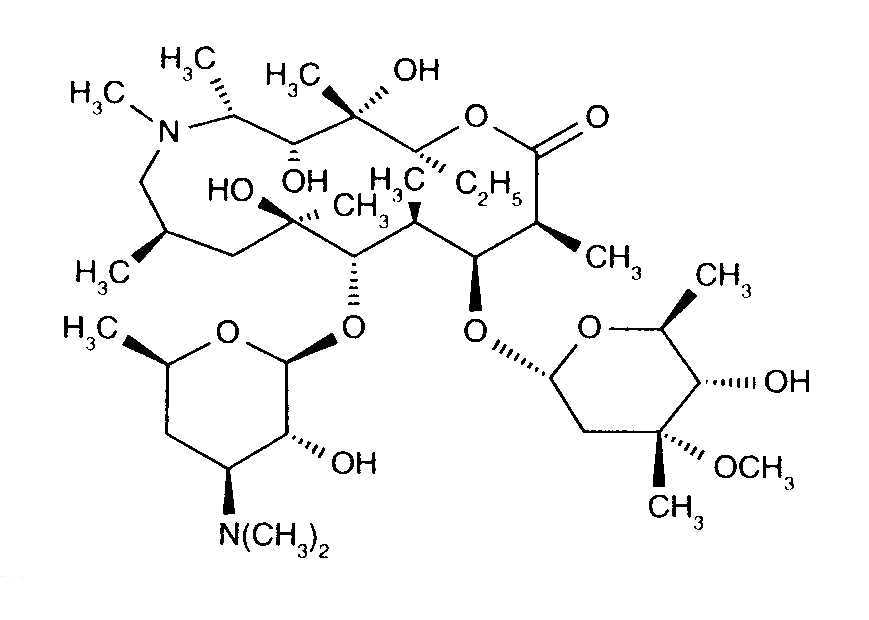
   Chemický vzorec  

Obchodní název   Obchodní název     

Trade names are indicative and excipients composition can be different depending on the country and manufacturers

Azithromycin Kanada
Azithromycina Ekvádor
Azithromycine Dr Erbeth NÏmecko
Azitromax Švédsko
Sumamed MaÔarsko, Polsko
Zaret Kolumbie
Zedbac Irsko, Velká Británie
Zetamac Česká republika
Zithromac Japonsko
Zithromax Austrálie, Chile, Egypt, Finsko, Kanada, Malajsie, Portugalsko, Saúdská Arábie, Spojené arabské emiráty, USA
Kompatibilita   injekce   Kompatibilita : Azithromycine              
Tato obrazovka ukazuje kompatibilitu nebo nekompatibilitu s, v tomto případě, typem nekompatibility (srážení, změna barvy, modifikace emulze atd.). Zde uvedené kompatibility jsou většinou pouze fyzikální, přičemž chemická stabilita každé molekuly je zřídka hodnocena. Hodnocení těchto směsí bylo studováno, aby se zvážila možnost podání Y-místa pacientovi. Tyto údaje nelze použít k přípravě směsí předem v pytlích nebo stříkačkách. Tento typ informací je k dispozici na obrazovce „Stabilita ve směsi“.
SlouËenina RozpouötÏdlo Odkazy
Kompatibilní
injekce Azithromycine 100 mg/ml
injekce Amoxicillin sodium / clavulanic acid 100/10 mg/ml
3824
Kompatibilní
injekce Azithromycine 2 mg/ml
injekce Bivalirudin 5 mg/ml
GlukÛza 5% 1713
Kompatibilní
injekce Azithromycine 500 mg/ml
RingerŐs laktátový roztok 4603
Okamžité srážení Nekompatibilní
injekce Azithromycine 2 mg/ml
injekce Amikacin sulfate 100 mg/ml
Chlorid sodný 0,9% 1800
Okamžité srážení Nekompatibilní
injekce Azithromycine 2 mg/ml
injekce Aztreonam 200 mg/ml
Chlorid sodný 0,9% 1800
Kompatibilní
injekce Azithromycine 100 mg/ml
injekce Caffeine 10 mg/ml
Žádné 3964
Kompatibilní
injekce Azithromycine 2 mg/ml
injekce Caspofungin acetate 0.5 mg/ml
Chlorid sodný 0,9% 2233
Kompatibilní
injekce Azithromycine 2 mg/ml
injekce Cefiderocol sulfate tosylate 20 mg/mL
Chlorid sodný 0,9% 4528
Kompatibilní
injekce Azithromycine 2 mg/ml
injekce Cefiderocol sulfate tosylate 20 mg/mL
GlukÛza 5% 4528
Okamžité srážení Nekompatibilní
injekce Azithromycine 2 mg/ml
injekce Cefotaxime sodium 200 mg/ml
Chlorid sodný 0,9% 1800
Kompatibilní
injekce Azithromycine 2 mg/ml
injekce Ceftaroline fosamil 2,22 mg/ml
GlukÛza 5% 3249
Kompatibilní
injekce Azithromycine 2 mg/ml
injekce Ceftaroline fosamil 2,22 mg/ml
Chlorid sodný 0,9% 3249
Kompatibilní
injekce Azithromycine 2 mg/ml
injekce Ceftaroline fosamil 2,22 mg/ml
RingerŐs laktátový roztok 3249
Okamžité srážení Nekompatibilní
injekce Azithromycine 2 mg/ml
injekce Ceftazidime 80 mg/ml
Chlorid sodný 0,9% 1800
Kompatibilní
injekce Azithromycine 2 mg/ml
injekce Ceftobiprole medocaril sodium 2 mg/ml
Chlorid sodný 0,9% 2269
Kompatibilní
injekce Azithromycine 2 mg/ml
injekce Ceftobiprole medocaril sodium 2 mg/ml
RingerŐs laktátový roztok 2269
Kompatibilní
injekce Azithromycine 2 mg/ml
injekce Ceftobiprole medocaril sodium 2 mg/ml
GlukÛza 5% 2269
Kompatibilní
injekce Azithromycine 2 mg/ml
injekce Ceftolozane / tazobactam 10/5 mg/ml
Chlorid sodný 0,9% 3828
Kompatibilní
injekce Azithromycine 2 mg/ml
injekce Ceftolozane / tazobactam 10/5 mg/ml
GlukÛza 5% 3828
Okamžité srážení Nekompatibilní
injekce Azithromycine 2 mg/ml
injekce Ceftriaxone disodium 66.7 mg/ml
Chlorid sodný 0,9% 1800
Okamžité srážení Nekompatibilní
injekce Azithromycine 2 mg/ml
injekce Cefuroxime sodium 100 mg/ml
Chlorid sodný 0,9% 1800
Okamžité srážení Nekompatibilní
injekce Azithromycine 2 mg/ml
injekce Ciprofloxacin lactate 2 mg/ml
Chlorid sodný 0,9% 1800
Okamžité srážení Nekompatibilní
injekce Azithromycine 2 mg/ml
injekce Clindamycin phosphate 30 mg/ml
Chlorid sodný 0,9% 1800
Okamžité srážení Nekompatibilní
injekce Azithromycine 100 mg/ml
injekce Cloxacillin sodium 100 mg/ml
Voda pro injekci 3012
Kompatibilní
injekce Azithromycine 2 mg/ml
injekce Dexmedetomidine 4 µg/ml
Chlorid sodný 0,9% 1712
Kompatibilní
injekce Azithromycine 2 mg/ml
injekce Diphenhydramine hydrochloride 50 mg/ml
Chlorid sodný 0,9% 1800
Kompatibilní
injekce Azithromycine 2 mg/ml
injekce Dolasetron mesylate 20 mg/ml
Chlorid sodný 0,9% 1800
Kompatibilní
injekce Azithromycine 2 mg/ml
injekce Doripenem 5 mg/ml
GlukÛza 5% 2262
Kompatibilní
injekce Azithromycine 2 mg/ml
injekce Doripenem 5 mg/ml
Chlorid sodný 0,9% 2262
Kompatibilní
injekce Azithromycine 2 mg/ml
injekce Droperidol 2.5 mg/ml
Chlorid sodný 0,9% 1800
Okamžité srážení Nekompatibilní
injekce Azithromycine 2 mg/ml
injekce Famotidine 2 mg/ml
Chlorid sodný 0,9% 1800
Kompatibilní
injekce Azithromycine 2 mg/ml
injekce Fenoldopam mesylate 80 µg/ml
Chlorid sodný 0,9% 1803
Okamžité srážení Nekompatibilní
injekce Azithromycine 2 mg/ml
injekce Fentanyl citrate 50 µg/ml
Chlorid sodný 0,9% 1800
Kompatibilní
injekce Azithromycine 2 mg/ml
injekce Fosfomycin 30 mg/ml
Chlorid sodný 0,9% 4055
Kompatibilní
injekce Azithromycine 2 mg/ml
injekce Fosfomycin 30 mg/ml
GlukÛza 5% 4055
Okamžité srážení Nekompatibilní
injekce Azithromycine 2 mg/ml
injekce Furosemide 10 mg/ml
Chlorid sodný 0,9% 1800
Okamžité srážení Nekompatibilní
injekce Azithromycine 2 mg/ml
injekce Gentamicin sulfate 21 mg/ml
Chlorid sodný 0,9% 1800
Kompatibilní
injekce Azithromycine 2 mg/ml
injekce Hetastarch 60 mg/ml
Zvláštní rozpouštědla 1721
Okamžité srážení Nekompatibilní
injekce Azithromycine 2 mg/ml
injekce Imipenem - cilastatin sodium 5 mg/ml
Chlorid sodný 0,9% 1800
Zákal za 2 hodiny Nekompatibilní
injekce Azithromycine 2 mg/ml
injekce Isavuconazonium sulfate 1.5 mg/ml
GlukÛza 5% 3829
Kompatibilní
injekce Azithromycine 2 mg/ml
injekce Isavuconazonium sulfate 1.5 mg/ml
Chlorid sodný 0,9% 3829
Okamžité srážení Nekompatibilní
injekce Azithromycine 2 mg/ml
injekce Ketorolac tromethamine 15 mg/ml
Chlorid sodný 0,9% 1800
Okamžité srážení Nekompatibilní
injekce Azithromycine 2 mg/ml
injekce Levofloxacine 5 mg/ml
Chlorid sodný 0,9% 1800
Kompatibilní
injekce Azithromycine 100 mg/ml
injekce Meropenem 50 mg/ml
Voda pro injekci 4319
Okamžité srážení Nekompatibilní
injekce Azithromycine 2 mg/ml
injekce Morphine sulfate 1 mg/ml
Chlorid sodný 0,9% 1800
Kompatibilní
injekce Azithromycine 500 mg/ml
injekce N-acetylcysteine 200 mg/ml
Žádné 3766
Kompatibilní
injekce Azithromycine 500 mg/ml
injekce Naloxone hydrochloride 0.4 mg/ml
Žádné 3408
Kompatibilní
injekce Azithromycine 2 mg/ml
injekce Ondansetron hydrochloride 2 mg/ml
Chlorid sodný 0,9% 1800
Kompatibilní
injekce Azithromycine 100 mg/ml
injekce Paracetamol 10 mg/ml
4742
Okamžité srážení Nekompatibilní
injekce Azithromycine 2 mg/ml
injekce Piperacillin sodium / tazobactam 112.5 mg/ml
Chlorid sodný 0,9% 1800
Kompatibilní
injekce Azithromycine 2 mg/ml
injekce Plazomicin sulfate 24 mg/ml
Chlorid sodný 0,9% 4145
Okamžité srážení Nekompatibilní
injekce Azithromycine 50 mg/ml
injekce Salbutamol sulfate 1 mg/ml
Žádné 3216
Kompatibilní
injekce Azithromycine 2 mg/ml
injekce Sulbactam/durlobactam 15/15 mg/ml
Chlorid sodný 0,9% 4801
Kompatibilní
injekce Azithromycine 2 mg/ml
injekce Tedizolid phosphate 0.8 mg/ml
Chlorid sodný 0,9% 3827
Kompatibilní
injekce Azithromycine 2 mg/ml
injekce Telavancin hydrochloride 7.5 mg/ml
GlukÛza 5% 3254
Kompatibilní
injekce Azithromycine 2 mg/ml
injekce Telavancin hydrochloride 7.5 mg/ml
Chlorid sodný 0,9% 3254
Kompatibilní
injekce Azithromycine 2 mg/ml
injekce Telavancin hydrochloride 7.5 mg/ml
RingerŐs laktátový roztok 3254
Okamžité srážení Nekompatibilní
injekce Azithromycine 100 mg/ml
injekce Thiopental sodium 25 mg/ml
Chlorid sodný 0,9% 3767
Okamžité srážení Nekompatibilní
injekce Azithromycine 2 mg/ml
injekce Ticarcillin / clavulanic acid 103.3 mg/ml
Chlorid sodný 0,9% 1800
Okamžité srážení Nekompatibilní
injekce Azithromycine 2 mg/ml
injekce Tobramycin sulfate 21 mg/ml
Chlorid sodný 0,9% 1800

  Mentions Légales