Laatste update :
18/03/2026
Antibioticum   Azithromycine  
injecteerbaar geneesmiddel
zalf
Stabiliteit in oplossing Stabiliteit in mengsels Factoren die de stabiliteit beïnvloeden Verenigbaarheden Toedieningswijze Literatuur pdf
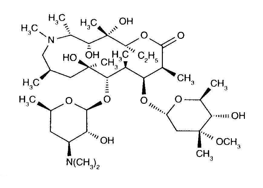
   Molecuulstructuur  

Merknamen in verschillende landen   Merknamen in verschillende landen     

Handelsnamen zijn slechts een indicatie; de samenstelling van hulpstoffen kan per land variëren afhankelijk van de fabrikant

Azithromycin Canada
Azithromycina Ecuador
Azithromycine Dr Erbeth Duitsland
Azitromax Zweden
Sumamed Hongarije, Polen
Zaret Colombia
Zedbac Groot Britannië, Ierland
Zetamac Tsjechische Republiek
Zithromac Japan
Zithromax Australië, Canada, Chili, Egypte, Finland, Maleisië, Portugal, Saudi-Arabië, USA, Verenigde Arabische Emiraten
Verenigbaarheden   injecteerbaar geneesmiddel   Verenigbaarheden : Azithromycine              
In dit scherm worden de verenigbaarheden en onverenigbaarheden weergegeven. In het geval van een onverenigbaarheid wordt ook het type (neerslag, kleurverandering, modificatie van een emulsie, etc) weergegeven. De weergegeven verenigbaarheden zijn meestal alleen op uiterlijk beoordeeld, er heeft zelden een chemische beoordeling van iedere component plaatsgevonden. De verenigbaarheden betreffen gelijktijdige toediening aan de patient middels de Y-site. De data kan niet gebruikt worden in de beoordeling van verenigbaarheden van componenten in infuuszakken of spuiten. Die informatie is te vinden onder ‘stabiliteit in mengsels’.
Stof Oplosmiddel Literatuur
Verenigbaar
injecteerbaar geneesmiddel Azithromycine 100 mg/ml
injecteerbaar geneesmiddel Amoxicillin sodium / clavulanic acid 100/10 mg/ml
3824
Verenigbaar
injecteerbaar geneesmiddel Azithromycine 2 mg/ml
injecteerbaar geneesmiddel Bivalirudin 5 mg/ml
Glucose 5% 1713
Verenigbaar
injecteerbaar geneesmiddel Azithromycine 500 mg/ml
Ringer-lactaat 4603
Onmiddellijke neerslag Onverenigbaar
injecteerbaar geneesmiddel Azithromycine 2 mg/ml
injecteerbaar geneesmiddel Amikacin sulfate 100 mg/ml
Natriumchloride 0,9% 1800
Onmiddellijke neerslag Onverenigbaar
injecteerbaar geneesmiddel Azithromycine 2 mg/ml
injecteerbaar geneesmiddel Aztreonam 200 mg/ml
Natriumchloride 0,9% 1800
Verenigbaar
injecteerbaar geneesmiddel Azithromycine 100 mg/ml
injecteerbaar geneesmiddel Caffeine 10 mg/ml
Geen 3964
Verenigbaar
injecteerbaar geneesmiddel Azithromycine 2 mg/ml
injecteerbaar geneesmiddel Caspofungin acetate 0.5 mg/ml
Natriumchloride 0,9% 2233
Verenigbaar
injecteerbaar geneesmiddel Azithromycine 2 mg/ml
injecteerbaar geneesmiddel Cefiderocol sulfate tosylate 20 mg/mL
Natriumchloride 0,9% 4528
Verenigbaar
injecteerbaar geneesmiddel Azithromycine 2 mg/ml
injecteerbaar geneesmiddel Cefiderocol sulfate tosylate 20 mg/mL
Glucose 5% 4528
Onmiddellijke neerslag Onverenigbaar
injecteerbaar geneesmiddel Azithromycine 2 mg/ml
injecteerbaar geneesmiddel Cefotaxime sodium 200 mg/ml
Natriumchloride 0,9% 1800
Verenigbaar
injecteerbaar geneesmiddel Azithromycine 2 mg/ml
injecteerbaar geneesmiddel Ceftaroline fosamil 2,22 mg/ml
Glucose 5% 3249
Verenigbaar
injecteerbaar geneesmiddel Azithromycine 2 mg/ml
injecteerbaar geneesmiddel Ceftaroline fosamil 2,22 mg/ml
Natriumchloride 0,9% 3249
Verenigbaar
injecteerbaar geneesmiddel Azithromycine 2 mg/ml
injecteerbaar geneesmiddel Ceftaroline fosamil 2,22 mg/ml
Ringer-lactaat 3249
Onmiddellijke neerslag Onverenigbaar
injecteerbaar geneesmiddel Azithromycine 2 mg/ml
injecteerbaar geneesmiddel Ceftazidime 80 mg/ml
Natriumchloride 0,9% 1800
Verenigbaar
injecteerbaar geneesmiddel Azithromycine 2 mg/ml
injecteerbaar geneesmiddel Ceftobiprole medocaril sodium 2 mg/ml
Natriumchloride 0,9% 2269
Verenigbaar
injecteerbaar geneesmiddel Azithromycine 2 mg/ml
injecteerbaar geneesmiddel Ceftobiprole medocaril sodium 2 mg/ml
Ringer-lactaat 2269
Verenigbaar
injecteerbaar geneesmiddel Azithromycine 2 mg/ml
injecteerbaar geneesmiddel Ceftobiprole medocaril sodium 2 mg/ml
Glucose 5% 2269
Verenigbaar
injecteerbaar geneesmiddel Azithromycine 2 mg/ml
injecteerbaar geneesmiddel Ceftolozane / tazobactam 10/5 mg/ml
Natriumchloride 0,9% 3828
Verenigbaar
injecteerbaar geneesmiddel Azithromycine 2 mg/ml
injecteerbaar geneesmiddel Ceftolozane / tazobactam 10/5 mg/ml
Glucose 5% 3828
Onmiddellijke neerslag Onverenigbaar
injecteerbaar geneesmiddel Azithromycine 2 mg/ml
injecteerbaar geneesmiddel Ceftriaxone disodium 66.7 mg/ml
Natriumchloride 0,9% 1800
Onmiddellijke neerslag Onverenigbaar
injecteerbaar geneesmiddel Azithromycine 2 mg/ml
injecteerbaar geneesmiddel Cefuroxime sodium 100 mg/ml
Natriumchloride 0,9% 1800
Onmiddellijke neerslag Onverenigbaar
injecteerbaar geneesmiddel Azithromycine 2 mg/ml
injecteerbaar geneesmiddel Ciprofloxacin lactate 2 mg/ml
Natriumchloride 0,9% 1800
Onmiddellijke neerslag Onverenigbaar
injecteerbaar geneesmiddel Azithromycine 2 mg/ml
injecteerbaar geneesmiddel Clindamycin phosphate 30 mg/ml
Natriumchloride 0,9% 1800
Onmiddellijke neerslag Onverenigbaar
injecteerbaar geneesmiddel Azithromycine 100 mg/ml
injecteerbaar geneesmiddel Cloxacillin sodium 100 mg/ml
Water voor injectie 3012
Verenigbaar
injecteerbaar geneesmiddel Azithromycine 2 mg/ml
injecteerbaar geneesmiddel Dexmedetomidine 4 µg/ml
Natriumchloride 0,9% 1712
Verenigbaar
injecteerbaar geneesmiddel Azithromycine 2 mg/ml
injecteerbaar geneesmiddel Diphenhydramine hydrochloride 50 mg/ml
Natriumchloride 0,9% 1800
Verenigbaar
injecteerbaar geneesmiddel Azithromycine 2 mg/ml
injecteerbaar geneesmiddel Dolasetron mesylate 20 mg/ml
Natriumchloride 0,9% 1800
Verenigbaar
injecteerbaar geneesmiddel Azithromycine 2 mg/ml
injecteerbaar geneesmiddel Doripenem 5 mg/ml
Glucose 5% 2262
Verenigbaar
injecteerbaar geneesmiddel Azithromycine 2 mg/ml
injecteerbaar geneesmiddel Doripenem 5 mg/ml
Natriumchloride 0,9% 2262
Verenigbaar
injecteerbaar geneesmiddel Azithromycine 2 mg/ml
injecteerbaar geneesmiddel Droperidol 2.5 mg/ml
Natriumchloride 0,9% 1800
Onmiddellijke neerslag Onverenigbaar
injecteerbaar geneesmiddel Azithromycine 2 mg/ml
injecteerbaar geneesmiddel Famotidine 2 mg/ml
Natriumchloride 0,9% 1800
Verenigbaar
injecteerbaar geneesmiddel Azithromycine 2 mg/ml
injecteerbaar geneesmiddel Fenoldopam mesylate 80 µg/ml
Natriumchloride 0,9% 1803
Onmiddellijke neerslag Onverenigbaar
injecteerbaar geneesmiddel Azithromycine 2 mg/ml
injecteerbaar geneesmiddel Fentanyl citrate 50 µg/ml
Natriumchloride 0,9% 1800
Verenigbaar
injecteerbaar geneesmiddel Azithromycine 2 mg/ml
injecteerbaar geneesmiddel Fosfomycin 30 mg/ml
Natriumchloride 0,9% 4055
Verenigbaar
injecteerbaar geneesmiddel Azithromycine 2 mg/ml
injecteerbaar geneesmiddel Fosfomycin 30 mg/ml
Glucose 5% 4055
Onmiddellijke neerslag Onverenigbaar
injecteerbaar geneesmiddel Azithromycine 2 mg/ml
injecteerbaar geneesmiddel Furosemide 10 mg/ml
Natriumchloride 0,9% 1800
Onmiddellijke neerslag Onverenigbaar
injecteerbaar geneesmiddel Azithromycine 2 mg/ml
injecteerbaar geneesmiddel Gentamicin sulfate 21 mg/ml
Natriumchloride 0,9% 1800
Verenigbaar
injecteerbaar geneesmiddel Azithromycine 2 mg/ml
injecteerbaar geneesmiddel Hetastarch 60 mg/ml
specifieke solvent 1721
Onmiddellijke neerslag Onverenigbaar
injecteerbaar geneesmiddel Azithromycine 2 mg/ml
injecteerbaar geneesmiddel Imipenem - cilastatin sodium 5 mg/ml
Natriumchloride 0,9% 1800
Troebelheid in 2 uur Onverenigbaar
injecteerbaar geneesmiddel Azithromycine 2 mg/ml
injecteerbaar geneesmiddel Isavuconazonium sulfate 1.5 mg/ml
Glucose 5% 3829
Verenigbaar
injecteerbaar geneesmiddel Azithromycine 2 mg/ml
injecteerbaar geneesmiddel Isavuconazonium sulfate 1.5 mg/ml
Natriumchloride 0,9% 3829
Onmiddellijke neerslag Onverenigbaar
injecteerbaar geneesmiddel Azithromycine 2 mg/ml
injecteerbaar geneesmiddel Ketorolac tromethamine 15 mg/ml
Natriumchloride 0,9% 1800
Onmiddellijke neerslag Onverenigbaar
injecteerbaar geneesmiddel Azithromycine 2 mg/ml
injecteerbaar geneesmiddel Levofloxacine 5 mg/ml
Natriumchloride 0,9% 1800
Verenigbaar
injecteerbaar geneesmiddel Azithromycine 100 mg/ml
injecteerbaar geneesmiddel Meropenem 50 mg/ml
Water voor injectie 4319
Onmiddellijke neerslag Onverenigbaar
injecteerbaar geneesmiddel Azithromycine 2 mg/ml
injecteerbaar geneesmiddel Morphine sulfate 1 mg/ml
Natriumchloride 0,9% 1800
Verenigbaar
injecteerbaar geneesmiddel Azithromycine 500 mg/ml
injecteerbaar geneesmiddel N-acetylcysteine 200 mg/ml
Geen 3766
Verenigbaar
injecteerbaar geneesmiddel Azithromycine 500 mg/ml
injecteerbaar geneesmiddel Naloxone hydrochloride 0.4 mg/ml
Geen 3408
Verenigbaar
injecteerbaar geneesmiddel Azithromycine 2 mg/ml
injecteerbaar geneesmiddel Ondansetron hydrochloride 2 mg/ml
Natriumchloride 0,9% 1800
Verenigbaar
injecteerbaar geneesmiddel Azithromycine 100 mg/ml
injecteerbaar geneesmiddel Paracetamol 10 mg/ml
4742
Onmiddellijke neerslag Onverenigbaar
injecteerbaar geneesmiddel Azithromycine 2 mg/ml
injecteerbaar geneesmiddel Piperacillin sodium / tazobactam 112.5 mg/ml
Natriumchloride 0,9% 1800
Verenigbaar
injecteerbaar geneesmiddel Azithromycine 2 mg/ml
injecteerbaar geneesmiddel Plazomicin sulfate 24 mg/ml
Natriumchloride 0,9% 4145
Onmiddellijke neerslag Onverenigbaar
injecteerbaar geneesmiddel Azithromycine 50 mg/ml
injecteerbaar geneesmiddel Salbutamol sulfate 1 mg/ml
Geen 3216
Verenigbaar
injecteerbaar geneesmiddel Azithromycine 2 mg/ml
injecteerbaar geneesmiddel Sulbactam/durlobactam 15/15 mg/ml
Natriumchloride 0,9% 4801
Verenigbaar
injecteerbaar geneesmiddel Azithromycine 2 mg/ml
injecteerbaar geneesmiddel Tedizolid phosphate 0.8 mg/ml
Natriumchloride 0,9% 3827
Verenigbaar
injecteerbaar geneesmiddel Azithromycine 2 mg/ml
injecteerbaar geneesmiddel Telavancin hydrochloride 7.5 mg/ml
Glucose 5% 3254
Verenigbaar
injecteerbaar geneesmiddel Azithromycine 2 mg/ml
injecteerbaar geneesmiddel Telavancin hydrochloride 7.5 mg/ml
Natriumchloride 0,9% 3254
Verenigbaar
injecteerbaar geneesmiddel Azithromycine 2 mg/ml
injecteerbaar geneesmiddel Telavancin hydrochloride 7.5 mg/ml
Ringer-lactaat 3254
Onmiddellijke neerslag Onverenigbaar
injecteerbaar geneesmiddel Azithromycine 100 mg/ml
injecteerbaar geneesmiddel Thiopental sodium 25 mg/ml
Natriumchloride 0,9% 3767
Onmiddellijke neerslag Onverenigbaar
injecteerbaar geneesmiddel Azithromycine 2 mg/ml
injecteerbaar geneesmiddel Ticarcillin / clavulanic acid 103.3 mg/ml
Natriumchloride 0,9% 1800
Onmiddellijke neerslag Onverenigbaar
injecteerbaar geneesmiddel Azithromycine 2 mg/ml
injecteerbaar geneesmiddel Tobramycin sulfate 21 mg/ml
Natriumchloride 0,9% 1800

  Mentions Légales