viimane versioon :
18/03/2026
antibiootikum   Azithromycine  
Süsteravim
salv
Stabiilsus lahustes Stabiilsust mõjutavad tegurid stabiilsust mõjutavad faktorid Sobimatus Manustamis viis Viited pdf
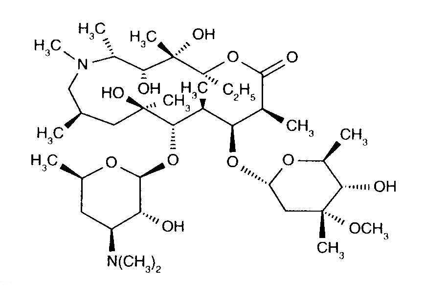
   keemiline struktuur  

Kaubanduslikud nimed erinevates maades   Kaubanduslikud nimed erinevates maades     

Preparaatide nimed on näitlikud ja abianete sisaldus võib erineda sõltuvalt riigist ja laborist

Azithromycin Kanada
Azithromycina Ecuador
Azithromycine Dr Erbeth Saksamaa
Azitromax Rootsi
Sumamed Poola, Ungari
Zaret Kolumbia
Zedbac Iirimaa, Suurbritannia
Zetamac Tšehhi
Zithromac Jaapan
Zithromax Ameerika ühendriigid, Araabia Ühendemiraadid, Austraalia, Egiptus, Kanada, Malaisia, Portugal, Saudi Araabia, Soome, Tšiili
Sobimatus   Süsteravim   Sobimatus : Azithromycine              
Sellel lehel kuvatakse sobimatusi ja sobimatuse tüüpi (sadenemine, värvuse muutus, emulsiooni modifitseerumine jne). Enamasti on siin lehel kuvatud füüsikalised sobimatused, kuna molekulide keemilist stabiilsust hinnatakse harva. Hinnatud on segude sobivust Y-liinis. Antud infot ei saa kasutada ravimite sobivuse hindamiseks juhul, kui ravimid on segatud süstaldes või infusioonikottides. See info on lehel « stabiilsus segudes ».
ingredient lahusti Viited
Ühilduv
Süsteravim Azithromycine 100 mg/ml
Süsteravim Amoxicillin sodium / clavulanic acid 100/10 mg/ml
3824
Ühilduv
Süsteravim Azithromycine 2 mg/ml
Süsteravim Bivalirudin 5 mg/ml
glükoos 5% 1713
Ühilduv
Süsteravim Azithromycine 500 mg/ml
Ringer laktaat 4603
Kohene sade Sobimatu
Süsteravim Azithromycine 2 mg/ml
Süsteravim Amikacin sulfate 100 mg/ml
naatriumkloriid 0.9% 1800
Kohene sade Sobimatu
Süsteravim Azithromycine 2 mg/ml
Süsteravim Aztreonam 200 mg/ml
naatriumkloriid 0.9% 1800
Ühilduv
Süsteravim Azithromycine 100 mg/ml
Süsteravim Caffeine 10 mg/ml
mitte ükski 3964
Ühilduv
Süsteravim Azithromycine 2 mg/ml
Süsteravim Caspofungin acetate 0.5 mg/ml
naatriumkloriid 0.9% 2233
Ühilduv
Süsteravim Azithromycine 2 mg/ml
Süsteravim Cefiderocol sulfate tosylate 20 mg/mL
naatriumkloriid 0.9% 4528
Ühilduv
Süsteravim Azithromycine 2 mg/ml
Süsteravim Cefiderocol sulfate tosylate 20 mg/mL
glükoos 5% 4528
Kohene sade Sobimatu
Süsteravim Azithromycine 2 mg/ml
Süsteravim Cefotaxime sodium 200 mg/ml
naatriumkloriid 0.9% 1800
Ühilduv
Süsteravim Azithromycine 2 mg/ml
Süsteravim Ceftaroline fosamil 2,22 mg/ml
glükoos 5% 3249
Ühilduv
Süsteravim Azithromycine 2 mg/ml
Süsteravim Ceftaroline fosamil 2,22 mg/ml
naatriumkloriid 0.9% 3249
Ühilduv
Süsteravim Azithromycine 2 mg/ml
Süsteravim Ceftaroline fosamil 2,22 mg/ml
Ringer laktaat 3249
Kohene sade Sobimatu
Süsteravim Azithromycine 2 mg/ml
Süsteravim Ceftazidime 80 mg/ml
naatriumkloriid 0.9% 1800
Ühilduv
Süsteravim Azithromycine 2 mg/ml
Süsteravim Ceftobiprole medocaril sodium 2 mg/ml
naatriumkloriid 0.9% 2269
Ühilduv
Süsteravim Azithromycine 2 mg/ml
Süsteravim Ceftobiprole medocaril sodium 2 mg/ml
Ringer laktaat 2269
Ühilduv
Süsteravim Azithromycine 2 mg/ml
Süsteravim Ceftobiprole medocaril sodium 2 mg/ml
glükoos 5% 2269
Ühilduv
Süsteravim Azithromycine 2 mg/ml
Süsteravim Ceftolozane / tazobactam 10/5 mg/ml
naatriumkloriid 0.9% 3828
Ühilduv
Süsteravim Azithromycine 2 mg/ml
Süsteravim Ceftolozane / tazobactam 10/5 mg/ml
glükoos 5% 3828
Kohene sade Sobimatu
Süsteravim Azithromycine 2 mg/ml
Süsteravim Ceftriaxone disodium 66.7 mg/ml
naatriumkloriid 0.9% 1800
Kohene sade Sobimatu
Süsteravim Azithromycine 2 mg/ml
Süsteravim Cefuroxime sodium 100 mg/ml
naatriumkloriid 0.9% 1800
Kohene sade Sobimatu
Süsteravim Azithromycine 2 mg/ml
Süsteravim Ciprofloxacin lactate 2 mg/ml
naatriumkloriid 0.9% 1800
Kohene sade Sobimatu
Süsteravim Azithromycine 2 mg/ml
Süsteravim Clindamycin phosphate 30 mg/ml
naatriumkloriid 0.9% 1800
Kohene sade Sobimatu
Süsteravim Azithromycine 100 mg/ml
Süsteravim Cloxacillin sodium 100 mg/ml
süstevesi 3012
Ühilduv
Süsteravim Azithromycine 2 mg/ml
Süsteravim Dexmedetomidine 4 µg/ml
naatriumkloriid 0.9% 1712
Ühilduv
Süsteravim Azithromycine 2 mg/ml
Süsteravim Diphenhydramine hydrochloride 50 mg/ml
naatriumkloriid 0.9% 1800
Ühilduv
Süsteravim Azithromycine 2 mg/ml
Süsteravim Dolasetron mesylate 20 mg/ml
naatriumkloriid 0.9% 1800
Ühilduv
Süsteravim Azithromycine 2 mg/ml
Süsteravim Doripenem 5 mg/ml
glükoos 5% 2262
Ühilduv
Süsteravim Azithromycine 2 mg/ml
Süsteravim Doripenem 5 mg/ml
naatriumkloriid 0.9% 2262
Ühilduv
Süsteravim Azithromycine 2 mg/ml
Süsteravim Droperidol 2.5 mg/ml
naatriumkloriid 0.9% 1800
Kohene sade Sobimatu
Süsteravim Azithromycine 2 mg/ml
Süsteravim Famotidine 2 mg/ml
naatriumkloriid 0.9% 1800
Ühilduv
Süsteravim Azithromycine 2 mg/ml
Süsteravim Fenoldopam mesylate 80 µg/ml
naatriumkloriid 0.9% 1803
Kohene sade Sobimatu
Süsteravim Azithromycine 2 mg/ml
Süsteravim Fentanyl citrate 50 µg/ml
naatriumkloriid 0.9% 1800
Ühilduv
Süsteravim Azithromycine 2 mg/ml
Süsteravim Fosfomycin 30 mg/ml
naatriumkloriid 0.9% 4055
Ühilduv
Süsteravim Azithromycine 2 mg/ml
Süsteravim Fosfomycin 30 mg/ml
glükoos 5% 4055
Kohene sade Sobimatu
Süsteravim Azithromycine 2 mg/ml
Süsteravim Furosemide 10 mg/ml
naatriumkloriid 0.9% 1800
Kohene sade Sobimatu
Süsteravim Azithromycine 2 mg/ml
Süsteravim Gentamicin sulfate 21 mg/ml
naatriumkloriid 0.9% 1800
Ühilduv
Süsteravim Azithromycine 2 mg/ml
Süsteravim Hetastarch 60 mg/ml
konkreetsed lahusti 1721
Kohene sade Sobimatu
Süsteravim Azithromycine 2 mg/ml
Süsteravim Imipenem - cilastatin sodium 5 mg/ml
naatriumkloriid 0.9% 1800
2 tunni jooksul hägusus Sobimatu
Süsteravim Azithromycine 2 mg/ml
Süsteravim Isavuconazonium sulfate 1.5 mg/ml
glükoos 5% 3829
Ühilduv
Süsteravim Azithromycine 2 mg/ml
Süsteravim Isavuconazonium sulfate 1.5 mg/ml
naatriumkloriid 0.9% 3829
Kohene sade Sobimatu
Süsteravim Azithromycine 2 mg/ml
Süsteravim Ketorolac tromethamine 15 mg/ml
naatriumkloriid 0.9% 1800
Kohene sade Sobimatu
Süsteravim Azithromycine 2 mg/ml
Süsteravim Levofloxacine 5 mg/ml
naatriumkloriid 0.9% 1800
Ühilduv
Süsteravim Azithromycine 100 mg/ml
Süsteravim Meropenem 50 mg/ml
süstevesi 4319
Kohene sade Sobimatu
Süsteravim Azithromycine 2 mg/ml
Süsteravim Morphine sulfate 1 mg/ml
naatriumkloriid 0.9% 1800
Ühilduv
Süsteravim Azithromycine 500 mg/ml
Süsteravim N-acetylcysteine 200 mg/ml
mitte ükski 3766
Ühilduv
Süsteravim Azithromycine 500 mg/ml
Süsteravim Naloxone hydrochloride 0.4 mg/ml
mitte ükski 3408
Ühilduv
Süsteravim Azithromycine 2 mg/ml
Süsteravim Ondansetron hydrochloride 2 mg/ml
naatriumkloriid 0.9% 1800
Ühilduv
Süsteravim Azithromycine 100 mg/ml
Süsteravim Paracetamol 10 mg/ml
4742
Kohene sade Sobimatu
Süsteravim Azithromycine 2 mg/ml
Süsteravim Piperacillin sodium / tazobactam 112.5 mg/ml
naatriumkloriid 0.9% 1800
Ühilduv
Süsteravim Azithromycine 2 mg/ml
Süsteravim Plazomicin sulfate 24 mg/ml
naatriumkloriid 0.9% 4145
Kohene sade Sobimatu
Süsteravim Azithromycine 50 mg/ml
Süsteravim Salbutamol sulfate 1 mg/ml
mitte ükski 3216
Ühilduv
Süsteravim Azithromycine 2 mg/ml
Süsteravim Sulbactam/durlobactam 15/15 mg/ml
naatriumkloriid 0.9% 4801
Ühilduv
Süsteravim Azithromycine 2 mg/ml
Süsteravim Tedizolid phosphate 0.8 mg/ml
naatriumkloriid 0.9% 3827
Ühilduv
Süsteravim Azithromycine 2 mg/ml
Süsteravim Telavancin hydrochloride 7.5 mg/ml
glükoos 5% 3254
Ühilduv
Süsteravim Azithromycine 2 mg/ml
Süsteravim Telavancin hydrochloride 7.5 mg/ml
naatriumkloriid 0.9% 3254
Ühilduv
Süsteravim Azithromycine 2 mg/ml
Süsteravim Telavancin hydrochloride 7.5 mg/ml
Ringer laktaat 3254
Kohene sade Sobimatu
Süsteravim Azithromycine 100 mg/ml
Süsteravim Thiopental sodium 25 mg/ml
naatriumkloriid 0.9% 3767
Kohene sade Sobimatu
Süsteravim Azithromycine 2 mg/ml
Süsteravim Ticarcillin / clavulanic acid 103.3 mg/ml
naatriumkloriid 0.9% 1800
Kohene sade Sobimatu
Süsteravim Azithromycine 2 mg/ml
Süsteravim Tobramycin sulfate 21 mg/ml
naatriumkloriid 0.9% 1800

  Mentions Légales