Dernière mise à jour :
03/02/2026
Infostab
Liste des molécules
Listes récapitulatives
Recherches de compatibilités
Tableau de compatibilités en Y
Bibliographie
Equipes de recherche
Valistab
Posters
Liens infostab
Partenaires
Auteurs
Manuel d'utilisation
Lettre d'actualité
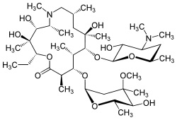
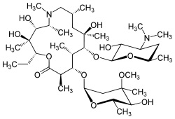
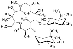
Azithromycine
Structure chimique
Stabilité des préparations : Azithromycine
500 mg
Zithromax
Ethanol
60% >> 25 mL
25°C
182
2894
Mentions Légales