Останнє оновлення :
18/03/2026
Антибіотик   Penicillin G sodium  
ін'єкція
Стійкість в розчинах Стійкість сумішей Фактори, що впливають на стабільність Сумісність Шлях введення Список літератури pdf
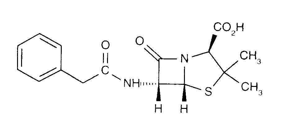
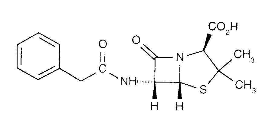
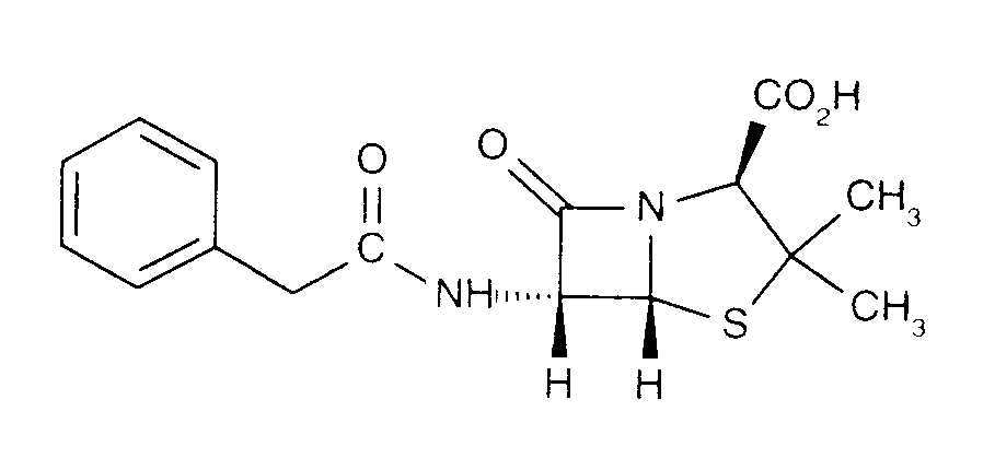
   Хімічна структура  

Торгова назва   Торгова назва     

Торгові назви є орієнтовними, а склад допоміжних речовин може бути різним залежно від країни та виробника

Benapen Бразилія
Bencilpenicilina Еквадор, Перу, Чилі
Benpen Австралія, Нова Зеландія
Bensylpenicillin Швеція
Benzapen Іран
Benzatec Південно-Африканська Республіка
Benzatron Бразилія
Benzylpenicillin Єгипет, Данія, Норвегія, Фінляндія, Швеція
Benzylpenicilline Туніс
Biconcillina Еквадор
Crystapen Ірландія, Великобританія, Канада
Declin Мексика
Fortepen Саудівська Аравія
Geepenil Фінляндія
Natrium penicillin G Нідерланди
Novopen Південно-Африканська Республіка
Pebencil Венесуела
Penbendox Мексика
Penibiot Іспанія
Penicillin Норвегія
Penicillina G sodica Аргентина, Еквадор, Колумбія, Португалія, Чилі
Penilevel Іспанія
Sodiopen Іспанія
Unicillina Іспанія
Сумісність   ін'єкція   Сумісність : Penicillin G sodium              
explication_incompatibilite_molecules
З'єднання Розчинник Список літератури
Неуточнена несумісність Несумісні
ін'єкція Penicillin G sodium
ін'єкція Amphotericin B
3585
Неуточнена несумісність Несумісні
ін'єкція Penicillin G sodium
ін'єкція Bleomycin sulfate
4154
сумісний
ін'єкція Penicillin G sodium 0.5 MUI/ml
ін'єкція Caffeine 10 mg/ml
Жодного 3964
Неуточнена несумісність Несумісні
ін'єкція Penicillin G sodium
ін'єкція Cimetidine hydrochloride
3585
Неуточнена несумісність Несумісні
ін'єкція Penicillin G sodium
ін'єкція Ciprofloxacin lactate
3529
сумісний
ін'єкція Penicillin G sodium 500 000 MUI/ml
Розчин лактату Рінгера 4603
сумісний
ін'єкція Penicillin G sodium
Глюкоза 5% 3648
сумісний
ін'єкція Penicillin G sodium
Натрію хлорид 0,9% 3648
сумісний
ін'єкція Penicillin G sodium
Натрію хлорид 0,9% 3585
Хімічна нестійкість Несумісні
ін'єкція Penicillin G sodium
ін'єкція Amikacin sulfate
3549
сумісний
ін'єкція Penicillin G sodium 0.17 MUI/ml
ін'єкція Caffeine 10 mg/ml
Вода для ін'єкцій 4837
сумісний
ін'єкція Penicillin G sodium 0.17 MUI/ml
ін'єкція Caffeine citrate 20 mg/ml
Вода для ін'єкцій 4837
сумісний
ін'єкція Penicillin G sodium 0.5 MUI/ml
ін'єкція Cloxacillin sodium 100 mg/ml
Вода для ін'єкцій 3012
Неуточнена несумісність Несумісні
ін'єкція Penicillin G sodium
ін'єкція Cytarabine
3580
Неуточнена несумісність Несумісні
ін'єкція Penicillin G sodium
ін'єкція Cytarabine
3585
сумісний
ін'єкція Penicillin G sodium 0,5 MUI/ml
ін'єкція Dexmedetomidine 100 µg/ml
4389
сумісний
ін'єкція Penicillin G sodium
ін'єкція Dimenhydrinate
2087
Неуточнена несумісність Несумісні
ін'єкція Penicillin G sodium
ін'єкція Erythromycin lactobionate
3674
Неуточнена несумісність Несумісні
ін'єкція Penicillin G sodium
ін'єкція Flucloxacillin sodium
3585
Неуточнена несумісність Несумісні
ін'єкція Penicillin G sodium
ін'єкція Gentamicin sulfate
3643
Неуточнена несумісність Несумісні
ін'єкція Penicillin G sodium
ін'єкція Gentamicin sulfate
3520
Неуточнена несумісність Несумісні
ін'єкція Penicillin G sodium
ін'єкція Heparin sodium
3540
Неуточнена несумісність Несумісні
ін'єкція Penicillin G sodium
ін'єкція Hydroxyzine dihydrochloride
3585
сумісний
ін'єкція Penicillin G sodium 0.5 MUI/ml
ін'єкція Levofloxacine 5 mg/ml
Глюкоза 5% 1072
сумісний
ін'єкція Penicillin G sodium 0.5 MUI/ml
ін'єкція Meropenem 50 mg/ml
Вода для ін'єкцій 4319
Неуточнена несумісність Несумісні
ін'єкція Penicillin G sodium
ін'єкція Metaraminol
5046
Неуточнена несумісність Несумісні
ін'єкція Penicillin G sodium
ін'єкція Methylprednisolone sodium succinate
3585
Миттєві опади Несумісні
ін'єкція Penicillin G sodium 0.17 MUI/ml
ін'єкція Morphine hydrochloride 0,2 mg/ml
Натрію хлорид 0,9% 4831
сумісний
ін'єкція Penicillin G sodium 0,025 MUI/ml
ін'єкція Oxytocin 0,02 UI/ml
Глюкоза 5% 1725
сумісний
ін'єкція Penicillin G sodium 0,05 MUI/ml
ін'єкція Oxytocin 0,02 UI/ml
Глюкоза 5% 1725
сумісний
ін'єкція Penicillin G sodium 0,05 MUI/ml
ін'єкція Oxytocin 0,02 UI/ml
Натрію хлорид 0,9% 1725
сумісний
ін'єкція Penicillin G sodium 0,025 MUI/ml
ін'єкція Oxytocin 0,02 UI/ml
Натрію хлорид 0,9% 1725
сумісний
ін'єкція Penicillin G sodium
ін'єкція Pantoprazole sodium
2090
Неуточнена несумісність Несумісні
ін'єкція Penicillin G sodium
ін'єкція Promethazine hydrochloride
3585
сумісний
ін'єкція Penicillin G sodium 100 MUI/ml
ін'єкція Sildenafil citrate 0,6 mg/ml
Глюкоза 5% 4845
сумісний
ін'єкція Penicillin G sodium
ін'єкція Sildenafil citrate 0,6 mg/ml
Глюкоза 5% 4845
Миттєві опади Несумісні
ін'єкція Penicillin G sodium
ін'єкція Trimebutine
3931
сумісний
ін'єкція Penicillin G sodium 0.01 MUI/ml
ін'єкція Verapamil hydrochloride 0.08 mg/ml
Натрію хлорид 0,9% 1057
сумісний
ін'єкція Penicillin G sodium 0.01 MUI/ml
ін'єкція Verapamil hydrochloride 0.08 mg/ml
Глюкоза 5% 1057
сумісний
ін'єкція Penicillin G sodium 0,05 MUI/ml
ін'єкція Zidovudine 4 mg/ml
Натрію хлорид 0,9% 1725
сумісний
ін'єкція Penicillin G sodium 0,025 MUI/ml
ін'єкція Zidovudine 4 mg/ml
Глюкоза 5% 1725
сумісний
ін'єкція Penicillin G sodium 0,025 MUI/ml
ін'єкція Zidovudine 4 mg/ml
Натрію хлорид 0,9% 1725
сумісний
ін'єкція Penicillin G sodium 0,05 MUI/ml
ін'єкція Zidovudine 4 mg/ml
Глюкоза 5% 1725

  Mentions Légales