Siste oppdatering :
18/03/2026
Antibiotika   Penicillin G sodium  
Injeksjon
Oppløsningsstabilitet Stabilitet i blandinger Faktorer som påvirker stabiliteten Kompatibilitet Administrasjonsmåte Referanser pdf
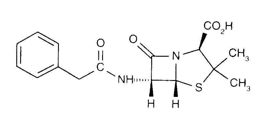
   Kjemisk struktur  

Handelsnavn   Handelsnavn     

Handelsnavn er veiledende og sammensetning av hjelpestoffer kan være forskjellig avhengig av land og produsent

Benapen Brasil
Bencilpenicilina Chile, Ecuador, Peru
Benpen Australia, New Zealand
Bensylpenicillin Sverige
Benzapen Iran
Benzatec Sør-Afrika
Benzatron Brasil
Benzylpenicillin Danmark, Egypt, Finland, Norge, Sverige
Benzylpenicilline Tunisia
Biconcillina Ecuador
Crystapen Canada, Irland, Storbritannia
Declin Mexico
Fortepen Saudi-Arabia
Geepenil Finland
Natrium penicillin G Nederland
Novopen Sør-Afrika
Pebencil Venezuela
Penbendox Mexico
Penibiot Spania
Penicillin Norge
Penicillina G sodica Argentina, Chile, Colombia, Ecuador, Portugal
Penilevel Spania
Sodiopen Spania
Unicillina Spania
Kompatibilitet   Injeksjon   Kompatibilitet : Penicillin G sodium              
Dette skjermbildet viser kompatibilitet eller inkompatibilitet med, i dette tilfellet, typen inkompatibilitet (nedbør, fargeendring, modifisering av en emulsjon, etc.). Kompatibilitetene som er vist her, er for det meste bare fysiske, og den kjemiske stabiliteten til hvert molekyl blir sjelden vurdert. Evalueringen av disse blandingene ble studert for å vurdere muligheten for Y-stedadministrasjon til pasienten. Disse dataene kan ikke brukes til å lage blandinger på forhånd i poser eller sprøyter. Denne typen informasjon er tilgjengelig på skjermen "Stabilitet i blanding".
Legemiddel Oppløsningsmiddel Referanser
Uspesifisert inkompatibilitet Uforenlig
Injeksjon Penicillin G sodium
Injeksjon Amphotericin B
3585
Uspesifisert inkompatibilitet Uforenlig
Injeksjon Penicillin G sodium
Injeksjon Bleomycin sulfate
4154
Kompatibel
Injeksjon Penicillin G sodium 0.5 MUI/ml
Injeksjon Caffeine 10 mg/ml
Ingen 3964
Uspesifisert inkompatibilitet Uforenlig
Injeksjon Penicillin G sodium
Injeksjon Cimetidine hydrochloride
3585
Uspesifisert inkompatibilitet Uforenlig
Injeksjon Penicillin G sodium
Injeksjon Ciprofloxacin lactate
3529
Kompatibel
Injeksjon Penicillin G sodium 500 000 MUI/ml
Ringers laktatoppløsning 4603
Kompatibel
Injeksjon Penicillin G sodium
Glukose 5 % 3648
Kompatibel
Injeksjon Penicillin G sodium
Natriumklorid 0,9 % 3648
Kompatibel
Injeksjon Penicillin G sodium
Natriumklorid 0,9 % 3585
Kjemisk ustabilitet Uforenlig
Injeksjon Penicillin G sodium
Injeksjon Amikacin sulfate
3549
Kompatibel
Injeksjon Penicillin G sodium 0.17 MUI/ml
Injeksjon Caffeine 10 mg/ml
Vann til injeksjon 4837
Kompatibel
Injeksjon Penicillin G sodium 0.17 MUI/ml
Injeksjon Caffeine citrate 20 mg/ml
Vann til injeksjon 4837
Kompatibel
Injeksjon Penicillin G sodium 0.5 MUI/ml
Injeksjon Cloxacillin sodium 100 mg/ml
Vann til injeksjon 3012
Uspesifisert inkompatibilitet Uforenlig
Injeksjon Penicillin G sodium
Injeksjon Cytarabine
3580
Uspesifisert inkompatibilitet Uforenlig
Injeksjon Penicillin G sodium
Injeksjon Cytarabine
3585
Kompatibel
Injeksjon Penicillin G sodium 0,5 MUI/ml
Injeksjon Dexmedetomidine 100 µg/ml
4389
Kompatibel
Injeksjon Penicillin G sodium
Injeksjon Dimenhydrinate
2087
Uspesifisert inkompatibilitet Uforenlig
Injeksjon Penicillin G sodium
Injeksjon Erythromycin lactobionate
3674
Uspesifisert inkompatibilitet Uforenlig
Injeksjon Penicillin G sodium
Injeksjon Flucloxacillin sodium
3585
Uspesifisert inkompatibilitet Uforenlig
Injeksjon Penicillin G sodium
Injeksjon Gentamicin sulfate
3643
Uspesifisert inkompatibilitet Uforenlig
Injeksjon Penicillin G sodium
Injeksjon Gentamicin sulfate
3520
Uspesifisert inkompatibilitet Uforenlig
Injeksjon Penicillin G sodium
Injeksjon Heparin sodium
3540
Uspesifisert inkompatibilitet Uforenlig
Injeksjon Penicillin G sodium
Injeksjon Hydroxyzine dihydrochloride
3585
Kompatibel
Injeksjon Penicillin G sodium 0.5 MUI/ml
Injeksjon Levofloxacine 5 mg/ml
Glukose 5 % 1072
Kompatibel
Injeksjon Penicillin G sodium 0.5 MUI/ml
Injeksjon Meropenem 50 mg/ml
Vann til injeksjon 4319
Uspesifisert inkompatibilitet Uforenlig
Injeksjon Penicillin G sodium
Injeksjon Metaraminol
5046
Uspesifisert inkompatibilitet Uforenlig
Injeksjon Penicillin G sodium
Injeksjon Methylprednisolone sodium succinate
3585
Umiddelbar nedbør Uforenlig
Injeksjon Penicillin G sodium 0.17 MUI/ml
Injeksjon Morphine hydrochloride 0,2 mg/ml
Natriumklorid 0,9 % 4831
Kompatibel
Injeksjon Penicillin G sodium 0,025 MUI/ml
Injeksjon Oxytocin 0,02 UI/ml
Glukose 5 % 1725
Kompatibel
Injeksjon Penicillin G sodium 0,05 MUI/ml
Injeksjon Oxytocin 0,02 UI/ml
Glukose 5 % 1725
Kompatibel
Injeksjon Penicillin G sodium 0,05 MUI/ml
Injeksjon Oxytocin 0,02 UI/ml
Natriumklorid 0,9 % 1725
Kompatibel
Injeksjon Penicillin G sodium 0,025 MUI/ml
Injeksjon Oxytocin 0,02 UI/ml
Natriumklorid 0,9 % 1725
Kompatibel
Injeksjon Penicillin G sodium
Injeksjon Pantoprazole sodium
2090
Uspesifisert inkompatibilitet Uforenlig
Injeksjon Penicillin G sodium
Injeksjon Promethazine hydrochloride
3585
Kompatibel
Injeksjon Penicillin G sodium 100 MUI/ml
Injeksjon Sildenafil citrate 0,6 mg/ml
Glukose 5 % 4845
Kompatibel
Injeksjon Penicillin G sodium
Injeksjon Sildenafil citrate 0,6 mg/ml
Glukose 5 % 4845
Umiddelbar nedbør Uforenlig
Injeksjon Penicillin G sodium
Injeksjon Trimebutine
3931
Kompatibel
Injeksjon Penicillin G sodium 0.01 MUI/ml
Injeksjon Verapamil hydrochloride 0.08 mg/ml
Natriumklorid 0,9 % 1057
Kompatibel
Injeksjon Penicillin G sodium 0.01 MUI/ml
Injeksjon Verapamil hydrochloride 0.08 mg/ml
Glukose 5 % 1057
Kompatibel
Injeksjon Penicillin G sodium 0,05 MUI/ml
Injeksjon Zidovudine 4 mg/ml
Natriumklorid 0,9 % 1725
Kompatibel
Injeksjon Penicillin G sodium 0,025 MUI/ml
Injeksjon Zidovudine 4 mg/ml
Glukose 5 % 1725
Kompatibel
Injeksjon Penicillin G sodium 0,025 MUI/ml
Injeksjon Zidovudine 4 mg/ml
Natriumklorid 0,9 % 1725
Kompatibel
Injeksjon Penicillin G sodium 0,05 MUI/ml
Injeksjon Zidovudine 4 mg/ml
Glukose 5 % 1725

  Mentions Légales