Ultimele actualizari :
18/03/2026
Antibiotic   Penicillin G sodium  
Injectabil
Stabilitatea in solutie Stabilitatea in amestec Factorii care influenteaza stabilitatea Compatibilitate Microunde Bibliografie pdf
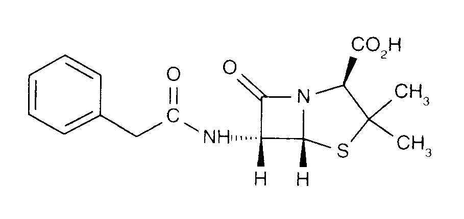
   Formula chimica  

Denumirea comerciala   Denumirea comerciala     

Trade names are indicative and excipients composition can be different depending on the country and manufacturers

Benapen Brazilia
Bencilpenicilina Chilli, Ecuador, Peru
Benpen Australia, noua Zeelandă
Bensylpenicillin Suedia
Benzapen Iran
Benzatec Africa de Sud
Benzatron Brazilia
Benzylpenicillin Danemarca, Egipt, Finlanda, Norvegia, Suedia
Benzylpenicilline Tunisia
Biconcillina Ecuador
Crystapen Canada, Irlanda, Marea Britanie
Declin Mexic
Fortepen Arabia Saudita
Geepenil Finlanda
Natrium penicillin G Olanda
Novopen Africa de Sud
Pebencil Venezuela
Penbendox Mexic
Penibiot Spania
Penicillin Norvegia
Penicillina G sodica Argentina, Chilli, Columbia, Ecuador, Portugalia
Penilevel Spania
Sodiopen Spania
Unicillina Spania
Compatibilitate   Injectabil   Compatibilitate : Penicillin G sodium              
Acest ecran indică compatibilitățile sau incompatibilitățile cu, în acest caz, tipul de incompatibilitate (precipitații, schimbarea culorii, modificarea unei emulsii etc.). Compatibilitățile prezentate aici sunt în mare parte numai fizice, stabilitatea chimică a fiecărei molecule fiind rareori evaluată. Evaluarea acestor amestecuri a fost studiată pentru a lua în considerare posibilitatea administrării site-ului Y la pacient. Aceste date nu pot fi utilizate pentru prepararea în prealabil a amestecurilor în pungi sau seringi. Acest tip de informații este disponibil în ecranul „Stabilitate în amestec».
Molecula (substanta activa) Solvent Bibiografie
Incompatibilitate nespecificată Incompatibil
Injectabil Penicillin G sodium
Injectabil Amphotericin B
3585
Incompatibilitate nespecificată Incompatibil
Injectabil Penicillin G sodium
Injectabil Bleomycin sulfate
4154
Compatibil
Injectabil Penicillin G sodium 0.5 MUI/ml
Injectabil Caffeine 10 mg/ml
fara 3964
Incompatibilitate nespecificată Incompatibil
Injectabil Penicillin G sodium
Injectabil Cimetidine hydrochloride
3585
Incompatibilitate nespecificată Incompatibil
Injectabil Penicillin G sodium
Injectabil Ciprofloxacin lactate
3529
Compatibil
Injectabil Penicillin G sodium 500 000 MUI/ml
Solutie Ringer lactat 4603
Compatibil
Injectabil Penicillin G sodium
Glucoza 5% 3648
Compatibil
Injectabil Penicillin G sodium
clorura de sodiu 0,9% 3648
Compatibil
Injectabil Penicillin G sodium
clorura de sodiu 0,9% 3585
Instabilitate chimică Incompatibil
Injectabil Penicillin G sodium
Injectabil Amikacin sulfate
3549
Compatibil
Injectabil Penicillin G sodium 0.17 MUI/ml
Injectabil Caffeine 10 mg/ml
apa pentru preparate injectabile 4837
Compatibil
Injectabil Penicillin G sodium 0.17 MUI/ml
Injectabil Caffeine citrate 20 mg/ml
apa pentru preparate injectabile 4837
Compatibil
Injectabil Penicillin G sodium 0.5 MUI/ml
Injectabil Cloxacillin sodium 100 mg/ml
apa pentru preparate injectabile 3012
Incompatibilitate nespecificată Incompatibil
Injectabil Penicillin G sodium
Injectabil Cytarabine
3580
Incompatibilitate nespecificată Incompatibil
Injectabil Penicillin G sodium
Injectabil Cytarabine
3585
Compatibil
Injectabil Penicillin G sodium 0,5 MUI/ml
Injectabil Dexmedetomidine 100 µg/ml
4389
Compatibil
Injectabil Penicillin G sodium
Injectabil Dimenhydrinate
2087
Incompatibilitate nespecificată Incompatibil
Injectabil Penicillin G sodium
Injectabil Erythromycin lactobionate
3674
Incompatibilitate nespecificată Incompatibil
Injectabil Penicillin G sodium
Injectabil Flucloxacillin sodium
3585
Incompatibilitate nespecificată Incompatibil
Injectabil Penicillin G sodium
Injectabil Gentamicin sulfate
3643
Incompatibilitate nespecificată Incompatibil
Injectabil Penicillin G sodium
Injectabil Gentamicin sulfate
3520
Incompatibilitate nespecificată Incompatibil
Injectabil Penicillin G sodium
Injectabil Heparin sodium
3540
Incompatibilitate nespecificată Incompatibil
Injectabil Penicillin G sodium
Injectabil Hydroxyzine dihydrochloride
3585
Compatibil
Injectabil Penicillin G sodium 0.5 MUI/ml
Injectabil Levofloxacine 5 mg/ml
Glucoza 5% 1072
Compatibil
Injectabil Penicillin G sodium 0.5 MUI/ml
Injectabil Meropenem 50 mg/ml
apa pentru preparate injectabile 4319
Incompatibilitate nespecificată Incompatibil
Injectabil Penicillin G sodium
Injectabil Metaraminol
5046
Incompatibilitate nespecificată Incompatibil
Injectabil Penicillin G sodium
Injectabil Methylprednisolone sodium succinate
3585
Precipitații imediate Incompatibil
Injectabil Penicillin G sodium 0.17 MUI/ml
Injectabil Morphine hydrochloride 0,2 mg/ml
clorura de sodiu 0,9% 4831
Compatibil
Injectabil Penicillin G sodium 0,025 MUI/ml
Injectabil Oxytocin 0,02 UI/ml
Glucoza 5% 1725
Compatibil
Injectabil Penicillin G sodium 0,05 MUI/ml
Injectabil Oxytocin 0,02 UI/ml
Glucoza 5% 1725
Compatibil
Injectabil Penicillin G sodium 0,05 MUI/ml
Injectabil Oxytocin 0,02 UI/ml
clorura de sodiu 0,9% 1725
Compatibil
Injectabil Penicillin G sodium 0,025 MUI/ml
Injectabil Oxytocin 0,02 UI/ml
clorura de sodiu 0,9% 1725
Compatibil
Injectabil Penicillin G sodium
Injectabil Pantoprazole sodium
2090
Incompatibilitate nespecificată Incompatibil
Injectabil Penicillin G sodium
Injectabil Promethazine hydrochloride
3585
Compatibil
Injectabil Penicillin G sodium 100 MUI/ml
Injectabil Sildenafil citrate 0,6 mg/ml
Glucoza 5% 4845
Compatibil
Injectabil Penicillin G sodium
Injectabil Sildenafil citrate 0,6 mg/ml
Glucoza 5% 4845
Precipitații imediate Incompatibil
Injectabil Penicillin G sodium
Injectabil Trimebutine
3931
Compatibil
Injectabil Penicillin G sodium 0.01 MUI/ml
Injectabil Verapamil hydrochloride 0.08 mg/ml
clorura de sodiu 0,9% 1057
Compatibil
Injectabil Penicillin G sodium 0.01 MUI/ml
Injectabil Verapamil hydrochloride 0.08 mg/ml
Glucoza 5% 1057
Compatibil
Injectabil Penicillin G sodium 0,05 MUI/ml
Injectabil Zidovudine 4 mg/ml
clorura de sodiu 0,9% 1725
Compatibil
Injectabil Penicillin G sodium 0,025 MUI/ml
Injectabil Zidovudine 4 mg/ml
Glucoza 5% 1725
Compatibil
Injectabil Penicillin G sodium 0,025 MUI/ml
Injectabil Zidovudine 4 mg/ml
clorura de sodiu 0,9% 1725
Compatibil
Injectabil Penicillin G sodium 0,05 MUI/ml
Injectabil Zidovudine 4 mg/ml
Glucoza 5% 1725

  Mentions Légales