آخر تحديث :
18/03/2026
مضاد حيوي   Penicillin G sodium  
حقن
الاستقرار في حلول استقرار مخاليط العوامل التي تؤثر على الاستقرار التوافق طريقة التعاطي مراجع pdf
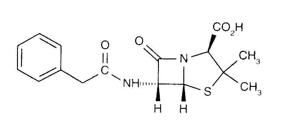
   التركيب الكيميائي  

حجز الاسم التجاري   حجز الاسم التجاري     

تحذير الأسماء التجاريه المختلفه قد تحتوي علي محتوي إضافات مختلفة حسب الدوله و المعمل

Benapen البرازيل
Bencilpenicilina الإكوادور, بيرو, تشيلي
Benpen أستراليا, زيلاندا الجديدة
Bensylpenicillin السويد
Benzapen إيران
Benzatec جمهورية جنوب أفريقيا
Benzatron البرازيل
Benzylpenicillin الدنمارك, السويد, النرويج, فنلندا, مصر
Benzylpenicilline تونس
Biconcillina الإكوادور
Crystapen ايرلندا, بريطانيا العظمي, كندا
Declin المكسيك
Fortepen العربية السعودية
Geepenil فنلندا
Natrium penicillin G هولندا
Novopen جمهورية جنوب أفريقيا
Pebencil فنزويلا
Penbendox المكسيك
Penibiot إسبانيا
Penicillin النرويج
Penicillina G sodica الأرجنتين, الإكوادور, البرتغال, تشيلي, كولومبيا
Penilevel إسبانيا
Sodiopen إسبانيا
Unicillina إسبانيا
التوافق   حقن   التوافق : Penicillin G sodium              
This screen indicates the compatibilities or incompatibilities with, in this case, the type of incompatibility (precipitation, color change, modification of an emulsion, etc.). The compatibilities shown here are mostly physical only, with the chemical stability of each molecule rarely being assessed. The evaluation of these mixtures was studied to consider the possibility of Y-site administration to the patient. These data cannot be used for making mixtures in advance in bags or syringes. This type of information is available in the screen "Stability in mixture ».
مركب مذيب مراجع
عدم توافق غير محدد غير متوافق
حقن Penicillin G sodium
حقن Amphotericin B
3585
عدم توافق غير محدد غير متوافق
حقن Penicillin G sodium
حقن Bleomycin sulfate
4154
kompatibel
حقن Penicillin G sodium 0.5 MUI/ml
حقن Caffeine 10 mg/ml
لا شيء 3964
عدم توافق غير محدد غير متوافق
حقن Penicillin G sodium
حقن Cimetidine hydrochloride
3585
عدم توافق غير محدد غير متوافق
حقن Penicillin G sodium
حقن Ciprofloxacin lactate
3529
kompatibel
حقن Penicillin G sodium 500 000 MUI/ml
محلول رينجر  اللاكتات 4603
kompatibel
حقن Penicillin G sodium
الجلوكوز %5 3648
kompatibel
حقن Penicillin G sodium
كلوريد الصوديوم 0.9% 3648
kompatibel
حقن Penicillin G sodium
كلوريد الصوديوم 0.9% 3585
عدم الاستقرار الكيميائي غير متوافق
حقن Penicillin G sodium
حقن Amikacin sulfate
3549
kompatibel
حقن Penicillin G sodium 0.17 MUI/ml
حقن Caffeine 10 mg/ml
حقن المياه لل 4837
kompatibel
حقن Penicillin G sodium 0.17 MUI/ml
حقن Caffeine citrate 20 mg/ml
حقن المياه لل 4837
kompatibel
حقن Penicillin G sodium 0.5 MUI/ml
حقن Cloxacillin sodium 100 mg/ml
حقن المياه لل 3012
عدم توافق غير محدد غير متوافق
حقن Penicillin G sodium
حقن Cytarabine
3580
عدم توافق غير محدد غير متوافق
حقن Penicillin G sodium
حقن Cytarabine
3585
kompatibel
حقن Penicillin G sodium 0,5 MUI/ml
حقن Dexmedetomidine 100 µg/ml
4389
kompatibel
حقن Penicillin G sodium
حقن Dimenhydrinate
2087
عدم توافق غير محدد غير متوافق
حقن Penicillin G sodium
حقن Erythromycin lactobionate
3674
عدم توافق غير محدد غير متوافق
حقن Penicillin G sodium
حقن Flucloxacillin sodium
3585
عدم توافق غير محدد غير متوافق
حقن Penicillin G sodium
حقن Gentamicin sulfate
3643
عدم توافق غير محدد غير متوافق
حقن Penicillin G sodium
حقن Gentamicin sulfate
3520
عدم توافق غير محدد غير متوافق
حقن Penicillin G sodium
حقن Heparin sodium
3540
عدم توافق غير محدد غير متوافق
حقن Penicillin G sodium
حقن Hydroxyzine dihydrochloride
3585
kompatibel
حقن Penicillin G sodium 0.5 MUI/ml
حقن Levofloxacine 5 mg/ml
الجلوكوز %5 1072
kompatibel
حقن Penicillin G sodium 0.5 MUI/ml
حقن Meropenem 50 mg/ml
حقن المياه لل 4319
عدم توافق غير محدد غير متوافق
حقن Penicillin G sodium
حقن Metaraminol
5046
عدم توافق غير محدد غير متوافق
حقن Penicillin G sodium
حقن Methylprednisolone sodium succinate
3585
هطول فوري غير متوافق
حقن Penicillin G sodium 0.17 MUI/ml
حقن Morphine hydrochloride 0,2 mg/ml
كلوريد الصوديوم 0.9% 4831
kompatibel
حقن Penicillin G sodium 0,025 MUI/ml
حقن Oxytocin 0,02 UI/ml
الجلوكوز %5 1725
kompatibel
حقن Penicillin G sodium 0,05 MUI/ml
حقن Oxytocin 0,02 UI/ml
الجلوكوز %5 1725
kompatibel
حقن Penicillin G sodium 0,05 MUI/ml
حقن Oxytocin 0,02 UI/ml
كلوريد الصوديوم 0.9% 1725
kompatibel
حقن Penicillin G sodium 0,025 MUI/ml
حقن Oxytocin 0,02 UI/ml
كلوريد الصوديوم 0.9% 1725
kompatibel
حقن Penicillin G sodium
حقن Pantoprazole sodium
2090
عدم توافق غير محدد غير متوافق
حقن Penicillin G sodium
حقن Promethazine hydrochloride
3585
kompatibel
حقن Penicillin G sodium 100 MUI/ml
حقن Sildenafil citrate 0,6 mg/ml
الجلوكوز %5 4845
kompatibel
حقن Penicillin G sodium
حقن Sildenafil citrate 0,6 mg/ml
الجلوكوز %5 4845
هطول فوري غير متوافق
حقن Penicillin G sodium
حقن Trimebutine
3931
kompatibel
حقن Penicillin G sodium 0.01 MUI/ml
حقن Verapamil hydrochloride 0.08 mg/ml
كلوريد الصوديوم 0.9% 1057
kompatibel
حقن Penicillin G sodium 0.01 MUI/ml
حقن Verapamil hydrochloride 0.08 mg/ml
الجلوكوز %5 1057
kompatibel
حقن Penicillin G sodium 0,05 MUI/ml
حقن Zidovudine 4 mg/ml
كلوريد الصوديوم 0.9% 1725
kompatibel
حقن Penicillin G sodium 0,025 MUI/ml
حقن Zidovudine 4 mg/ml
الجلوكوز %5 1725
kompatibel
حقن Penicillin G sodium 0,025 MUI/ml
حقن Zidovudine 4 mg/ml
كلوريد الصوديوم 0.9% 1725
kompatibel
حقن Penicillin G sodium 0,05 MUI/ml
حقن Zidovudine 4 mg/ml
الجلوكوز %5 1725

  Mentions Légales