Poslední aktualizace :
18/03/2026
Antibiotikas   Penicillin G sodium  
Įpurškimas
Tirpalų stabilumas Mišinių stabilumas Stabilumą lemiantys veiksniai Suderinamumas Leidimo būdai Bibliografija pdf
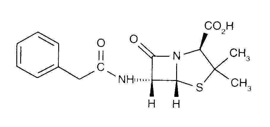
   Cheminė sandara  

Prekinis pavadinimas   Prekinis pavadinimas     

Trade names are indicative and excipients composition can be different depending on the country and manufacturers

Benapen Brazilija
Bencilpenicilina Čilė, Ekvadoras, Peru
Benpen Australija, Naujojoje Zelandijoje
Bensylpenicillin Švedija
Benzapen Iranas
Benzatec Pietų Afrikos Respublika
Benzatron Brazilija
Benzylpenicillin Danija, Egiptas, Norvegija, Suomija, Švedija
Benzylpenicilline Tunisas
Biconcillina Ekvadoras
Crystapen Airija, Didžioji Britanija, Kanada
Declin Meksikas
Fortepen Saudo Arabija
Geepenil Suomija
Natrium penicillin G Olandija
Novopen Pietų Afrikos Respublika
Pebencil Venesuela
Penbendox Meksikas
Penibiot Ispanija
Penicillin Norvegija
Penicillina G sodica Argentina, Čilė, Ekvadoras, Kolumbija, Portugalija
Penilevel Ispanija
Sodiopen Ispanija
Unicillina Ispanija
Suderinamumas   Įpurškimas   Suderinamumas : Penicillin G sodium              
explication_incompatibilite_molecules
Molekulė Tirpiklis Nuorodos
Nepatikslintas nesuderinamumas Nesuderinamas
Įpurškimas Penicillin G sodium
Įpurškimas Amphotericin B
3585
Nepatikslintas nesuderinamumas Nesuderinamas
Įpurškimas Penicillin G sodium
Įpurškimas Bleomycin sulfate
4154
Suderinamas
Įpurškimas Penicillin G sodium 0.5 MUI/ml
Įpurškimas Caffeine 10 mg/ml
Nėra 3964
Nepatikslintas nesuderinamumas Nesuderinamas
Įpurškimas Penicillin G sodium
Įpurškimas Cimetidine hydrochloride
3585
Nepatikslintas nesuderinamumas Nesuderinamas
Įpurškimas Penicillin G sodium
Įpurškimas Ciprofloxacin lactate
3529
Suderinamas
Įpurškimas Penicillin G sodium 500 000 MUI/ml
Ringerio laktato tirpalas 4603
Suderinamas
Įpurškimas Penicillin G sodium
Gliukozė 5% 3648
Suderinamas
Įpurškimas Penicillin G sodium
Natrio chloridas 0,9% 3648
Suderinamas
Įpurškimas Penicillin G sodium
Natrio chloridas 0,9% 3585
Cheminis nestabilumas Nesuderinamas
Įpurškimas Penicillin G sodium
Įpurškimas Amikacin sulfate
3549
Suderinamas
Įpurškimas Penicillin G sodium 0.17 MUI/ml
Įpurškimas Caffeine 10 mg/ml
Vanduo injekcijoms 4837
Suderinamas
Įpurškimas Penicillin G sodium 0.17 MUI/ml
Įpurškimas Caffeine citrate 20 mg/ml
Vanduo injekcijoms 4837
Suderinamas
Įpurškimas Penicillin G sodium 0.5 MUI/ml
Įpurškimas Cloxacillin sodium 100 mg/ml
Vanduo injekcijoms 3012
Nepatikslintas nesuderinamumas Nesuderinamas
Įpurškimas Penicillin G sodium
Įpurškimas Cytarabine
3580
Nepatikslintas nesuderinamumas Nesuderinamas
Įpurškimas Penicillin G sodium
Įpurškimas Cytarabine
3585
Suderinamas
Įpurškimas Penicillin G sodium 0,5 MUI/ml
Įpurškimas Dexmedetomidine 100 µg/ml
4389
Suderinamas
Įpurškimas Penicillin G sodium
Įpurškimas Dimenhydrinate
2087
Nepatikslintas nesuderinamumas Nesuderinamas
Įpurškimas Penicillin G sodium
Įpurškimas Erythromycin lactobionate
3674
Nepatikslintas nesuderinamumas Nesuderinamas
Įpurškimas Penicillin G sodium
Įpurškimas Flucloxacillin sodium
3585
Nepatikslintas nesuderinamumas Nesuderinamas
Įpurškimas Penicillin G sodium
Įpurškimas Gentamicin sulfate
3643
Nepatikslintas nesuderinamumas Nesuderinamas
Įpurškimas Penicillin G sodium
Įpurškimas Gentamicin sulfate
3520
Nepatikslintas nesuderinamumas Nesuderinamas
Įpurškimas Penicillin G sodium
Įpurškimas Heparin sodium
3540
Nepatikslintas nesuderinamumas Nesuderinamas
Įpurškimas Penicillin G sodium
Įpurškimas Hydroxyzine dihydrochloride
3585
Suderinamas
Įpurškimas Penicillin G sodium 0.5 MUI/ml
Įpurškimas Levofloxacine 5 mg/ml
Gliukozė 5% 1072
Suderinamas
Įpurškimas Penicillin G sodium 0.5 MUI/ml
Įpurškimas Meropenem 50 mg/ml
Vanduo injekcijoms 4319
Nepatikslintas nesuderinamumas Nesuderinamas
Įpurškimas Penicillin G sodium
Įpurškimas Metaraminol
5046
Nepatikslintas nesuderinamumas Nesuderinamas
Įpurškimas Penicillin G sodium
Įpurškimas Methylprednisolone sodium succinate
3585
Nedelsiant krituliai Nesuderinamas
Įpurškimas Penicillin G sodium 0.17 MUI/ml
Įpurškimas Morphine hydrochloride 0,2 mg/ml
Natrio chloridas 0,9% 4831
Suderinamas
Įpurškimas Penicillin G sodium 0,025 MUI/ml
Įpurškimas Oxytocin 0,02 UI/ml
Gliukozė 5% 1725
Suderinamas
Įpurškimas Penicillin G sodium 0,05 MUI/ml
Įpurškimas Oxytocin 0,02 UI/ml
Gliukozė 5% 1725
Suderinamas
Įpurškimas Penicillin G sodium 0,05 MUI/ml
Įpurškimas Oxytocin 0,02 UI/ml
Natrio chloridas 0,9% 1725
Suderinamas
Įpurškimas Penicillin G sodium 0,025 MUI/ml
Įpurškimas Oxytocin 0,02 UI/ml
Natrio chloridas 0,9% 1725
Suderinamas
Įpurškimas Penicillin G sodium
Įpurškimas Pantoprazole sodium
2090
Nepatikslintas nesuderinamumas Nesuderinamas
Įpurškimas Penicillin G sodium
Įpurškimas Promethazine hydrochloride
3585
Suderinamas
Įpurškimas Penicillin G sodium 100 MUI/ml
Įpurškimas Sildenafil citrate 0,6 mg/ml
Gliukozė 5% 4845
Suderinamas
Įpurškimas Penicillin G sodium
Įpurškimas Sildenafil citrate 0,6 mg/ml
Gliukozė 5% 4845
Nedelsiant krituliai Nesuderinamas
Įpurškimas Penicillin G sodium
Įpurškimas Trimebutine
3931
Suderinamas
Įpurškimas Penicillin G sodium 0.01 MUI/ml
Įpurškimas Verapamil hydrochloride 0.08 mg/ml
Natrio chloridas 0,9% 1057
Suderinamas
Įpurškimas Penicillin G sodium 0.01 MUI/ml
Įpurškimas Verapamil hydrochloride 0.08 mg/ml
Gliukozė 5% 1057
Suderinamas
Įpurškimas Penicillin G sodium 0,05 MUI/ml
Įpurškimas Zidovudine 4 mg/ml
Natrio chloridas 0,9% 1725
Suderinamas
Įpurškimas Penicillin G sodium 0,025 MUI/ml
Įpurškimas Zidovudine 4 mg/ml
Gliukozė 5% 1725
Suderinamas
Įpurškimas Penicillin G sodium 0,025 MUI/ml
Įpurškimas Zidovudine 4 mg/ml
Natrio chloridas 0,9% 1725
Suderinamas
Įpurškimas Penicillin G sodium 0,05 MUI/ml
Įpurškimas Zidovudine 4 mg/ml
Gliukozė 5% 1725

  Mentions Légales