Последно актуализиране :
18/03/2026
Антибиотик   Penicillin G sodium  
Инжекция/Инжекционен
Стабилност на разтвори Стабилност на смеси Фактори, повлияващи стабилността Съвместимост Път на въвеждане Библиография Pdf
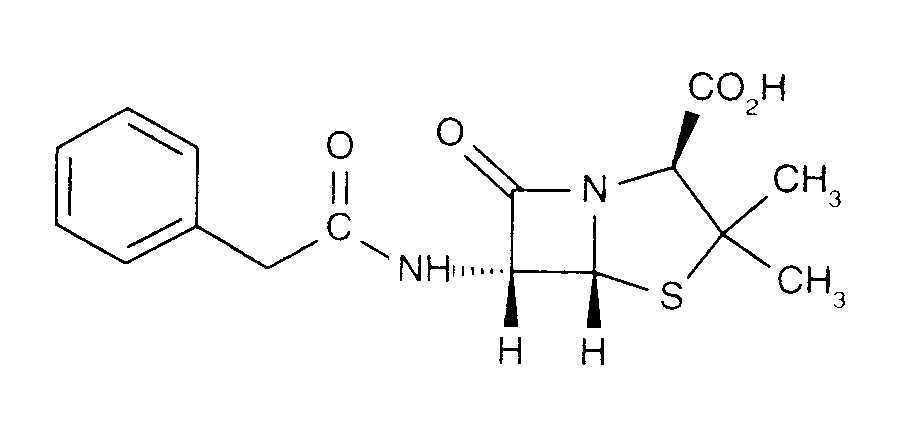
   Химична структура  

Търговско наименование   Търговско наименование     

Търговските имена са примерни и съставът на помощните вещества може да бъде различен в зависимост от държавата и лабораториите

Benapen Бразилия
Bencilpenicilina Еквадор, Перу, Чили
Benpen Австралия, нова Зеландия
Bensylpenicillin Швеция
Benzapen Иран
Benzatec Южноафриканска република / ЮАР
Benzatron Бразилия
Benzylpenicillin Дания, Египет, Норвегия, Финландия, Швеция
Benzylpenicilline Тунис
Biconcillina Еквадор
Crystapen Великобритания, Ирландия, Канада
Declin Мексико
Fortepen Саудитска Арабия
Geepenil Финландия
Natrium penicillin G Холандия
Novopen Южноафриканска република / ЮАР
Pebencil Венецуела
Penbendox Мексико
Penibiot Испания
Penicillin Норвегия
Penicillina G sodica Аржентина, Еквадор, Колумбия, Португалия, Чили
Penilevel Испания
Sodiopen Испания
Unicillina Испания
Съвместимост   Инжекция/Инжекционен   Съвместимост : Penicillin G sodium              
Този екран показва съвместимостта или несъвместимостта с, в този случай, вида на несъвместимостта (утаяване, промяна на цвета, модификация на емулсия и др.). Показаните тук съвместимости са предимно физически, като рядко се оценява химическата стабилност на всяка молекула. Оценката на тези смеси беше проучена, за да се разгледа възможността за приложение на Y-място на пациента. Тези данни не могат да се използват за предварително приготвяне на смеси в торбички или спринцовки. Този тип информация е достъпна на екрана "Стабилност в сместа".
Състав / молекула Разтворител Библиография
Неопределена несъвместимост Несъвместим
Инжекция/Инжекционен Penicillin G sodium
Инжекция/Инжекционен Amphotericin B
3585
Неопределена несъвместимост Несъвместим
Инжекция/Инжекционен Penicillin G sodium
Инжекция/Инжекционен Bleomycin sulfate
4154
съвместим
Инжекция/Инжекционен Penicillin G sodium 0.5 MUI/ml
Инжекция/Инжекционен Caffeine 10 mg/ml
Няма 3964
Неопределена несъвместимост Несъвместим
Инжекция/Инжекционен Penicillin G sodium
Инжекция/Инжекционен Cimetidine hydrochloride
3585
Неопределена несъвместимост Несъвместим
Инжекция/Инжекционен Penicillin G sodium
Инжекция/Инжекционен Ciprofloxacin lactate
3529
съвместим
Инжекция/Инжекционен Penicillin G sodium 500 000 MUI/ml
Ринтер лактат 4603
съвместим
Инжекция/Инжекционен Penicillin G sodium
Glucose 5% 3648
съвместим
Инжекция/Инжекционен Penicillin G sodium
Sodium chloride 0,9% 3648
съвместим
Инжекция/Инжекционен Penicillin G sodium
Sodium chloride 0,9% 3585
Химическа нестабилност Несъвместим
Инжекция/Инжекционен Penicillin G sodium
Инжекция/Инжекционен Amikacin sulfate
3549
съвместим
Инжекция/Инжекционен Penicillin G sodium 0.17 MUI/ml
Инжекция/Инжекционен Caffeine 10 mg/ml
Вода за инжекции 4837
съвместим
Инжекция/Инжекционен Penicillin G sodium 0.17 MUI/ml
Инжекция/Инжекционен Caffeine citrate 20 mg/ml
Вода за инжекции 4837
съвместим
Инжекция/Инжекционен Penicillin G sodium 0.5 MUI/ml
Инжекция/Инжекционен Cloxacillin sodium 100 mg/ml
Вода за инжекции 3012
Неопределена несъвместимост Несъвместим
Инжекция/Инжекционен Penicillin G sodium
Инжекция/Инжекционен Cytarabine
3580
Неопределена несъвместимост Несъвместим
Инжекция/Инжекционен Penicillin G sodium
Инжекция/Инжекционен Cytarabine
3585
съвместим
Инжекция/Инжекционен Penicillin G sodium 0,5 MUI/ml
Инжекция/Инжекционен Dexmedetomidine 100 µg/ml
4389
съвместим
Инжекция/Инжекционен Penicillin G sodium
Инжекция/Инжекционен Dimenhydrinate
2087
Неопределена несъвместимост Несъвместим
Инжекция/Инжекционен Penicillin G sodium
Инжекция/Инжекционен Erythromycin lactobionate
3674
Неопределена несъвместимост Несъвместим
Инжекция/Инжекционен Penicillin G sodium
Инжекция/Инжекционен Flucloxacillin sodium
3585
Неопределена несъвместимост Несъвместим
Инжекция/Инжекционен Penicillin G sodium
Инжекция/Инжекционен Gentamicin sulfate
3643
Неопределена несъвместимост Несъвместим
Инжекция/Инжекционен Penicillin G sodium
Инжекция/Инжекционен Gentamicin sulfate
3520
Неопределена несъвместимост Несъвместим
Инжекция/Инжекционен Penicillin G sodium
Инжекция/Инжекционен Heparin sodium
3540
Неопределена несъвместимост Несъвместим
Инжекция/Инжекционен Penicillin G sodium
Инжекция/Инжекционен Hydroxyzine dihydrochloride
3585
съвместим
Инжекция/Инжекционен Penicillin G sodium 0.5 MUI/ml
Инжекция/Инжекционен Levofloxacine 5 mg/ml
Glucose 5% 1072
съвместим
Инжекция/Инжекционен Penicillin G sodium 0.5 MUI/ml
Инжекция/Инжекционен Meropenem 50 mg/ml
Вода за инжекции 4319
Неопределена несъвместимост Несъвместим
Инжекция/Инжекционен Penicillin G sodium
Инжекция/Инжекционен Metaraminol
5046
Неопределена несъвместимост Несъвместим
Инжекция/Инжекционен Penicillin G sodium
Инжекция/Инжекционен Methylprednisolone sodium succinate
3585
Незабавни валежи Несъвместим
Инжекция/Инжекционен Penicillin G sodium 0.17 MUI/ml
Инжекция/Инжекционен Morphine hydrochloride 0,2 mg/ml
Sodium chloride 0,9% 4831
съвместим
Инжекция/Инжекционен Penicillin G sodium 0,025 MUI/ml
Инжекция/Инжекционен Oxytocin 0,02 UI/ml
Glucose 5% 1725
съвместим
Инжекция/Инжекционен Penicillin G sodium 0,05 MUI/ml
Инжекция/Инжекционен Oxytocin 0,02 UI/ml
Glucose 5% 1725
съвместим
Инжекция/Инжекционен Penicillin G sodium 0,05 MUI/ml
Инжекция/Инжекционен Oxytocin 0,02 UI/ml
Sodium chloride 0,9% 1725
съвместим
Инжекция/Инжекционен Penicillin G sodium 0,025 MUI/ml
Инжекция/Инжекционен Oxytocin 0,02 UI/ml
Sodium chloride 0,9% 1725
съвместим
Инжекция/Инжекционен Penicillin G sodium
Инжекция/Инжекционен Pantoprazole sodium
2090
Неопределена несъвместимост Несъвместим
Инжекция/Инжекционен Penicillin G sodium
Инжекция/Инжекционен Promethazine hydrochloride
3585
съвместим
Инжекция/Инжекционен Penicillin G sodium 100 MUI/ml
Инжекция/Инжекционен Sildenafil citrate 0,6 mg/ml
Glucose 5% 4845
съвместим
Инжекция/Инжекционен Penicillin G sodium
Инжекция/Инжекционен Sildenafil citrate 0,6 mg/ml
Glucose 5% 4845
Незабавни валежи Несъвместим
Инжекция/Инжекционен Penicillin G sodium
Инжекция/Инжекционен Trimebutine
3931
съвместим
Инжекция/Инжекционен Penicillin G sodium 0.01 MUI/ml
Инжекция/Инжекционен Verapamil hydrochloride 0.08 mg/ml
Sodium chloride 0,9% 1057
съвместим
Инжекция/Инжекционен Penicillin G sodium 0.01 MUI/ml
Инжекция/Инжекционен Verapamil hydrochloride 0.08 mg/ml
Glucose 5% 1057
съвместим
Инжекция/Инжекционен Penicillin G sodium 0,05 MUI/ml
Инжекция/Инжекционен Zidovudine 4 mg/ml
Sodium chloride 0,9% 1725
съвместим
Инжекция/Инжекционен Penicillin G sodium 0,025 MUI/ml
Инжекция/Инжекционен Zidovudine 4 mg/ml
Glucose 5% 1725
съвместим
Инжекция/Инжекционен Penicillin G sodium 0,025 MUI/ml
Инжекция/Инжекционен Zidovudine 4 mg/ml
Sodium chloride 0,9% 1725
съвместим
Инжекция/Инжекционен Penicillin G sodium 0,05 MUI/ml
Инжекция/Инжекционен Zidovudine 4 mg/ml
Glucose 5% 1725

  Mentions Légales