Posledná aktualizácia :
18/03/2026
antibiotikum   Penicillin G sodium  
Injekcia
Stabilita roztokov Stabilita v zmesiach Faktory ovplyvňujúce stabilitu Kompatibility spôsob podania Odkazy na literatúru PDF
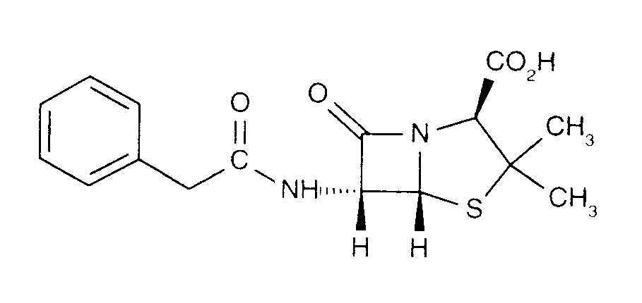
   Chemický vzorec  

Obchodný názov   Obchodný názov     

Obchodné názvy sú orientačné, a zloženie pomocných látok sa môže líšiť v závislosti od krajiny a výrobcu.

Benapen Brazília
Bencilpenicilina Čile, Ekvádor, peru
Benpen Austrália, nový Zéland
Bensylpenicillin Švédsko
Benzapen Irán
Benzatec Juhoafrická republika
Benzatron Brazília
Benzylpenicillin Dánsko, Egypt, Fínsko, Nórsko, Švédsko
Benzylpenicilline Tunisko
Biconcillina Ekvádor
Crystapen Írsko, Kanada, Veľká Británia
Declin Mexiko
Fortepen Saudská Arábia
Geepenil Fínsko
Natrium penicillin G Holandsko
Novopen Juhoafrická republika
Pebencil Venezuela
Penbendox Mexiko
Penibiot Španielsko
Penicillin Nórsko
Penicillina G sodica Argentína, Čile, Ekvádor, Kolumbia, Portugalsko
Penilevel Španielsko
Sodiopen Španielsko
Unicillina Španielsko
Kompatibility   Injekcia   Kompatibility : Penicillin G sodium              
Toto okno zobrazuje kompatibility alebo inkombatibility, v prípade inkompatibility aj jej typ (vyzrážanie, zmena farby, zmena emulzie atď.). Tu vymenované kompatibility sú väčšinou len fyzikálne, chemická stabilita každej zo zlúčenín sa hodnotila len zriedkavo. Tieto zmesi sa skúmali za účelom možnosti súbežného podávania pacientovi cez infúznu spojku Y. Údaje sa nedajú použiť na prípravu zmesí vo vakoch alebo striekačkách. Taká informácia sa nachádza v okne „Stabilita v zmesiach“.
Zlúčenina rozpúšťadlo odkazy na lieteratúru
Nešpecifikovaná nekompatibilita nezlučiteľný
Injekcia Penicillin G sodium
Injekcia Amphotericin B
3585
Nešpecifikovaná nekompatibilita nezlučiteľný
Injekcia Penicillin G sodium
Injekcia Bleomycin sulfate
4154
kompatibilný
Injekcia Penicillin G sodium 0.5 MUI/ml
Injekcia Caffeine 10 mg/ml
Žiadny 3964
Nešpecifikovaná nekompatibilita nezlučiteľný
Injekcia Penicillin G sodium
Injekcia Cimetidine hydrochloride
3585
Nešpecifikovaná nekompatibilita nezlučiteľný
Injekcia Penicillin G sodium
Injekcia Ciprofloxacin lactate
3529
kompatibilný
Injekcia Penicillin G sodium 500 000 MUI/ml
Ringerov laktátový roztok 4603
kompatibilný
Injekcia Penicillin G sodium
5% glukóza 3648
kompatibilný
Injekcia Penicillin G sodium
0,9% chlorid sodný 3648
kompatibilný
Injekcia Penicillin G sodium
0,9% chlorid sodný 3585
Chemická nestabilita nezlučiteľný
Injekcia Penicillin G sodium
Injekcia Amikacin sulfate
3549
kompatibilný
Injekcia Penicillin G sodium 0.17 MUI/ml
Injekcia Caffeine 10 mg/ml
voda na injekciu 4837
kompatibilný
Injekcia Penicillin G sodium 0.17 MUI/ml
Injekcia Caffeine citrate 20 mg/ml
voda na injekciu 4837
kompatibilný
Injekcia Penicillin G sodium 0.5 MUI/ml
Injekcia Cloxacillin sodium 100 mg/ml
voda na injekciu 3012
Nešpecifikovaná nekompatibilita nezlučiteľný
Injekcia Penicillin G sodium
Injekcia Cytarabine
3580
Nešpecifikovaná nekompatibilita nezlučiteľný
Injekcia Penicillin G sodium
Injekcia Cytarabine
3585
kompatibilný
Injekcia Penicillin G sodium 0,5 MUI/ml
Injekcia Dexmedetomidine 100 µg/ml
4389
kompatibilný
Injekcia Penicillin G sodium
Injekcia Dimenhydrinate
2087
Nešpecifikovaná nekompatibilita nezlučiteľný
Injekcia Penicillin G sodium
Injekcia Erythromycin lactobionate
3674
Nešpecifikovaná nekompatibilita nezlučiteľný
Injekcia Penicillin G sodium
Injekcia Flucloxacillin sodium
3585
Nešpecifikovaná nekompatibilita nezlučiteľný
Injekcia Penicillin G sodium
Injekcia Gentamicin sulfate
3643
Nešpecifikovaná nekompatibilita nezlučiteľný
Injekcia Penicillin G sodium
Injekcia Gentamicin sulfate
3520
Nešpecifikovaná nekompatibilita nezlučiteľný
Injekcia Penicillin G sodium
Injekcia Heparin sodium
3540
Nešpecifikovaná nekompatibilita nezlučiteľný
Injekcia Penicillin G sodium
Injekcia Hydroxyzine dihydrochloride
3585
kompatibilný
Injekcia Penicillin G sodium 0.5 MUI/ml
Injekcia Levofloxacine 5 mg/ml
5% glukóza 1072
kompatibilný
Injekcia Penicillin G sodium 0.5 MUI/ml
Injekcia Meropenem 50 mg/ml
voda na injekciu 4319
Nešpecifikovaná nekompatibilita nezlučiteľný
Injekcia Penicillin G sodium
Injekcia Metaraminol
5046
Nešpecifikovaná nekompatibilita nezlučiteľný
Injekcia Penicillin G sodium
Injekcia Methylprednisolone sodium succinate
3585
Okamžité zrážanie nezlučiteľný
Injekcia Penicillin G sodium 0.17 MUI/ml
Injekcia Morphine hydrochloride 0,2 mg/ml
0,9% chlorid sodný 4831
kompatibilný
Injekcia Penicillin G sodium 0,025 MUI/ml
Injekcia Oxytocin 0,02 UI/ml
5% glukóza 1725
kompatibilný
Injekcia Penicillin G sodium 0,05 MUI/ml
Injekcia Oxytocin 0,02 UI/ml
5% glukóza 1725
kompatibilný
Injekcia Penicillin G sodium 0,05 MUI/ml
Injekcia Oxytocin 0,02 UI/ml
0,9% chlorid sodný 1725
kompatibilný
Injekcia Penicillin G sodium 0,025 MUI/ml
Injekcia Oxytocin 0,02 UI/ml
0,9% chlorid sodný 1725
kompatibilný
Injekcia Penicillin G sodium
Injekcia Pantoprazole sodium
2090
Nešpecifikovaná nekompatibilita nezlučiteľný
Injekcia Penicillin G sodium
Injekcia Promethazine hydrochloride
3585
kompatibilný
Injekcia Penicillin G sodium 100 MUI/ml
Injekcia Sildenafil citrate 0,6 mg/ml
5% glukóza 4845
kompatibilný
Injekcia Penicillin G sodium
Injekcia Sildenafil citrate 0,6 mg/ml
5% glukóza 4845
Okamžité zrážanie nezlučiteľný
Injekcia Penicillin G sodium
Injekcia Trimebutine
3931
kompatibilný
Injekcia Penicillin G sodium 0.01 MUI/ml
Injekcia Verapamil hydrochloride 0.08 mg/ml
0,9% chlorid sodný 1057
kompatibilný
Injekcia Penicillin G sodium 0.01 MUI/ml
Injekcia Verapamil hydrochloride 0.08 mg/ml
5% glukóza 1057
kompatibilný
Injekcia Penicillin G sodium 0,05 MUI/ml
Injekcia Zidovudine 4 mg/ml
0,9% chlorid sodný 1725
kompatibilný
Injekcia Penicillin G sodium 0,025 MUI/ml
Injekcia Zidovudine 4 mg/ml
5% glukóza 1725
kompatibilný
Injekcia Penicillin G sodium 0,025 MUI/ml
Injekcia Zidovudine 4 mg/ml
0,9% chlorid sodný 1725
kompatibilný
Injekcia Penicillin G sodium 0,05 MUI/ml
Injekcia Zidovudine 4 mg/ml
5% glukóza 1725

  Mentions Légales