Last update :
03/03/2026
Antibiotic   Penicillin G sodium  
injection
Stability in solutions Stability of mixtures Factors which affect stability Compatibility Route of administration References pdf
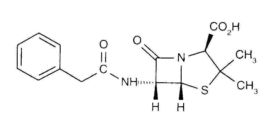
   Chemical structure  

Tradename   Tradename     

Trade names are indicative and excipients composition can be different depending on the country and manufacturers

Benapen Brazil
Bencilpenicilina Chile, Ecuador, Peru
Benpen Australia, New Zealand
Bensylpenicillin Sweden
Benzapen Iran
Benzatec Republic of South Africa
Benzatron Brazil
Benzylpenicillin Denmark, Egypt, Finland, Norway, Sweden
Benzylpenicilline Tunisia
Biconcillina Ecuador
Crystapen Canada, Great Britain, Ireland
Declin Mexico
Fortepen Saudi Arabia
Geepenil Finland
Natrium penicillin G Netherlands
Novopen Republic of South Africa
Pebencil Venezuela
Penbendox Mexico
Penibiot Spain
Penicillin Norway
Penicillina G sodica Argentina, Chile, Colombia, Ecuador, Portugal
Penilevel Spain
Sodiopen Spain
Unicillina Spain
Stability in solutions   injection   Stability in solutions : Penicillin G sodium     
Container Solvent Concentration Temperature Storage Duration of stability References
Glass Water for Injection 0.01 MUI/ml 2-8°C Protect from light
7 Day
4922
Level of evidence D

Glass NaCl 0.9% + phenol 0.4% 0.01 MUI/ml 2-8°C Protect from light
2 Day
4922
Level of evidence D

Polyvinyl chloride Water for Injection 0,1 & 0,2 MUI/ml 25°C Not specified
3 Day
13
Level of evidence B

Polyvinyl chloride Water for Injection 0,18 MUI/ml -20°C Protect from light
30 Day
440
Level of evidence D

Polyvinyl chloride Sodium chloride 0,9% ?? MUI/ml 5°C Protect from light
2 Day
1263
Level of evidence B

Polyvinyl chloride Sodium chloride 0,9% 0.0025 MUI/ml 5°C Not specified
21 Day
3648
Level of evidence B+

Polyvinyl chloride Sodium chloride 0,9% 0.05 MUI/ml 5°C Not specified
21 Day
3648
Level of evidence B+

Polyvinyl chloride Glucose 5% 0,04 MUI/ml -20°C Protect from light
39 Day
1241
Level of evidence B

Polyvinyl chloride Glucose 5% 0.0025 MUI/ml 5°C Not specified
21 Day
3648
Level of evidence B+

Polyvinyl chloride Glucose 5% 0.05 MUI/ml 5°C Not specified
21 Day
3648
Level of evidence B+

Polypropylen Syringe Water for Injection 0.01 MUI/ml 2-8°C Protect from light
7 Day
4922
Level of evidence D

Polypropylen Syringe NaCl 0.9% + phenol 0.4% 0.01 MUI/ml 2-8°C Protect from light
2 Day
4922
Level of evidence D

Polyisoprene elastomer Sodium chloride 0,9% 0.0025 MUI/ml 5°C Not specified
21 Day
3648
Level of evidence B+

Polyisoprene elastomer Sodium chloride 0,9% 0.05 MUI/ml 5°C Not specified
21 Day
3648
Level of evidence B+

Polyisoprene elastomer Glucose 5% 0.0025 MUI/ml 5°C Not specified
21 Day
3648
Level of evidence B+

Polyisoprene elastomer Glucose 5% 0.05 MUI/ml 5°C Not specified
21 Day
3648
Level of evidence B+

Polyisoprene elastomer NaCl 0.9% citrate buffer 0.3% pH7 0.025 & 0.1 MUI/ml 2-8°C Protect from light
6 Day
4590
Level of evidence A

Polyisoprene elastomer NaCl 0.9% citrate buffer 0.3% pH7 0.025 & 0.1 MUI/ml 37°C Protect from light
24 Hour
4590
Level of evidence A

Silicone elastomer NaCl 0.9% citrate buffer 0.3% pH7 10 MUI/ml 2-8°C Not specified
7 Day
4874
Level of evidence D

Silicone elastomer NaCl 0.9% citrate buffer 0.3% pH7 20 MUI/ml 2-8°C Not specified
7 Day
4874
Level of evidence D

Silicone elastomer NaCl 0.9% citrate buffer 0.3% pH7 40 MUI/ml 2-8°C Not specified
7 Day
4874
Level of evidence D

Not specified Sodium chloride 0,9% 0,13 MUI/ml 21°C-22°C Not specified
13 Hour
2056
Level of evidence D

Not specified Sodium chloride 0,9% 0,13 MUI/ml 26°C Not specified
12 Hour
2056
Level of evidence D

Not specified Sodium chloride 0,9% 0,13 MUI/ml 3-5°C Not specified
6 Day
2056
Level of evidence D

Not specified Sodium chloride 0,9% 0,13 MUI/ml 36°C Not specified
5 Hour
2056
Level of evidence D


  Mentions Légales