Letztes “update” :
18/03/2026
Antibiotikum   Penicillin G sodium  
Injektion
Stabilität der Lösung Gemengestabilität Stabilitätbeeinflussende Faktoren Kompatibilitäten Applikationsart Literaturverzeichnis pdf
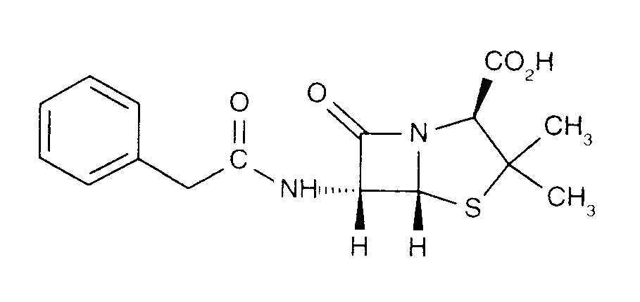
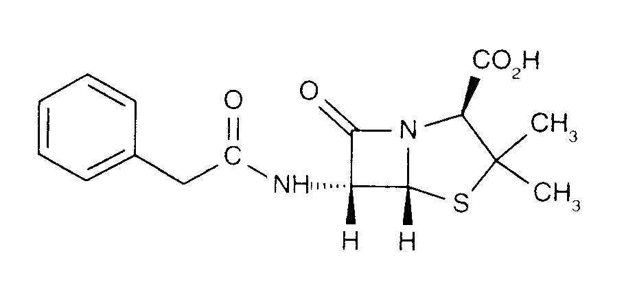
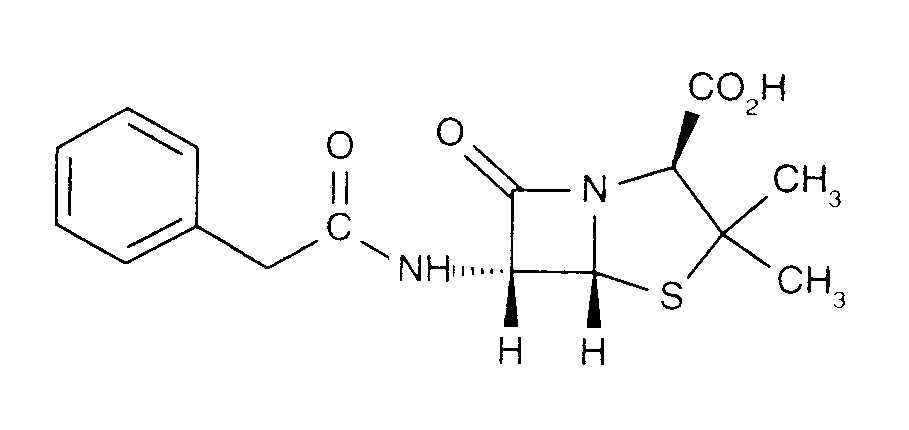
   Chemische Struktur  

Handelsmarke   Handelsmarke     

Handelsnamen sind als beispielhaft anzusehen. Sonstige Bestandteile können je nach Hersteller oder Land verschieden sein

Benapen Brasilien
Bencilpenicilina Chile, Ecuador, Peru
Benpen Australien, Neuseeland
Bensylpenicillin Schweden
Benzapen Iran
Benzatec Südafrika
Benzatron Brasilien
Benzylpenicillin Ägypten, Dänemark, Finnland, Norwegen, Schweden
Benzylpenicilline Tunesien
Biconcillina Ecuador
Crystapen Großbritannien, Irland, Kanada
Declin Mexiko
Fortepen Saudi-Arabien
Geepenil Finnland
Natrium penicillin G Niederlande
Novopen Südafrika
Pebencil Venezuela
Penbendox Mexiko
Penibiot Spanien
Penicillin Norwegen
Penicillina G sodica Argentinien, Chile, Ecuador, Kolumbien, Portugal
Penilevel Spanien
Sodiopen Spanien
Unicillina Spanien
Kompatibilitäten   Injektion   Kompatibilitäten : Penicillin G sodium              
Dieser Bildschirm zeigt die Kompatibilitäten oder Inkompatibilitäten mit der Art der Inkompatibilität (hier: Ausfällung, Farbänderung, Modifikation einer Emulsion usw.) an. Die hier gezeigten Kompatibilitäten sind meist nur physikalisch, wobei die chemische Stabilität jedes Moleküls selten bewertet wird. Die Bewertung dieser Gemische wurde untersucht, um die Möglichkeit einer Verabreichung über eine Y-Verbindung zu berücksichtigen. Diese Daten können daher nicht zur Herstellung von Mischungen im Voraus in Beuteln oder Spritzen verwendet werden. Sie finden diese Informationen auf dem Bildschirm "Stabilität in Mischung».
Molekül Lösungsmittel Literaturverzeichnis
Nicht spezifizierte Inkompatibilität nicht kompatibel
Injektion Penicillin G sodium
Injektion Amphotericin B
3585
Nicht spezifizierte Inkompatibilität nicht kompatibel
Injektion Penicillin G sodium
Injektion Bleomycin sulfate
4154
kompatibel
Injektion Penicillin G sodium 0.5 MUI/ml
Injektion Caffeine 10 mg/ml
Kein 3964
Nicht spezifizierte Inkompatibilität nicht kompatibel
Injektion Penicillin G sodium
Injektion Cimetidine hydrochloride
3585
Nicht spezifizierte Inkompatibilität nicht kompatibel
Injektion Penicillin G sodium
Injektion Ciprofloxacin lactate
3529
kompatibel
Injektion Penicillin G sodium 500 000 MUI/ml
Ringer Lactat - Lösung 4603
kompatibel
Injektion Penicillin G sodium
5% Glucose 3648
kompatibel
Injektion Penicillin G sodium
0,9% Natriumchlorid 3648
kompatibel
Injektion Penicillin G sodium
0,9% Natriumchlorid 3585
Chemische Instabilität nicht kompatibel
Injektion Penicillin G sodium
Injektion Amikacin sulfate
3549
kompatibel
Injektion Penicillin G sodium 0.17 MUI/ml
Injektion Caffeine 10 mg/ml
Wasser für injektable präparate 4837
kompatibel
Injektion Penicillin G sodium 0.17 MUI/ml
Injektion Caffeine citrate 20 mg/ml
Wasser für injektable präparate 4837
kompatibel
Injektion Penicillin G sodium 0.5 MUI/ml
Injektion Cloxacillin sodium 100 mg/ml
Wasser für injektable präparate 3012
Nicht spezifizierte Inkompatibilität nicht kompatibel
Injektion Penicillin G sodium
Injektion Cytarabine
3580
Nicht spezifizierte Inkompatibilität nicht kompatibel
Injektion Penicillin G sodium
Injektion Cytarabine
3585
kompatibel
Injektion Penicillin G sodium 0,5 MUI/ml
Injektion Dexmedetomidine 100 µg/ml
4389
kompatibel
Injektion Penicillin G sodium
Injektion Dimenhydrinate
2087
Nicht spezifizierte Inkompatibilität nicht kompatibel
Injektion Penicillin G sodium
Injektion Erythromycin lactobionate
3674
Nicht spezifizierte Inkompatibilität nicht kompatibel
Injektion Penicillin G sodium
Injektion Flucloxacillin sodium
3585
Nicht spezifizierte Inkompatibilität nicht kompatibel
Injektion Penicillin G sodium
Injektion Gentamicin sulfate
3643
Nicht spezifizierte Inkompatibilität nicht kompatibel
Injektion Penicillin G sodium
Injektion Gentamicin sulfate
3520
Nicht spezifizierte Inkompatibilität nicht kompatibel
Injektion Penicillin G sodium
Injektion Heparin sodium
3540
Nicht spezifizierte Inkompatibilität nicht kompatibel
Injektion Penicillin G sodium
Injektion Hydroxyzine dihydrochloride
3585
kompatibel
Injektion Penicillin G sodium 0.5 MUI/ml
Injektion Levofloxacine 5 mg/ml
5% Glucose 1072
kompatibel
Injektion Penicillin G sodium 0.5 MUI/ml
Injektion Meropenem 50 mg/ml
Wasser für injektable präparate 4319
Nicht spezifizierte Inkompatibilität nicht kompatibel
Injektion Penicillin G sodium
Injektion Metaraminol
5046
Nicht spezifizierte Inkompatibilität nicht kompatibel
Injektion Penicillin G sodium
Injektion Methylprednisolone sodium succinate
3585
Sofortiger Niederschlag nicht kompatibel
Injektion Penicillin G sodium 0.17 MUI/ml
Injektion Morphine hydrochloride 0,2 mg/ml
0,9% Natriumchlorid 4831
kompatibel
Injektion Penicillin G sodium 0,025 MUI/ml
Injektion Oxytocin 0,02 UI/ml
5% Glucose 1725
kompatibel
Injektion Penicillin G sodium 0,05 MUI/ml
Injektion Oxytocin 0,02 UI/ml
5% Glucose 1725
kompatibel
Injektion Penicillin G sodium 0,05 MUI/ml
Injektion Oxytocin 0,02 UI/ml
0,9% Natriumchlorid 1725
kompatibel
Injektion Penicillin G sodium 0,025 MUI/ml
Injektion Oxytocin 0,02 UI/ml
0,9% Natriumchlorid 1725
kompatibel
Injektion Penicillin G sodium
Injektion Pantoprazole sodium
2090
Nicht spezifizierte Inkompatibilität nicht kompatibel
Injektion Penicillin G sodium
Injektion Promethazine hydrochloride
3585
kompatibel
Injektion Penicillin G sodium 100 MUI/ml
Injektion Sildenafil citrate 0,6 mg/ml
5% Glucose 4845
kompatibel
Injektion Penicillin G sodium
Injektion Sildenafil citrate 0,6 mg/ml
5% Glucose 4845
Sofortiger Niederschlag nicht kompatibel
Injektion Penicillin G sodium
Injektion Trimebutine
3931
kompatibel
Injektion Penicillin G sodium 0.01 MUI/ml
Injektion Verapamil hydrochloride 0.08 mg/ml
0,9% Natriumchlorid 1057
kompatibel
Injektion Penicillin G sodium 0.01 MUI/ml
Injektion Verapamil hydrochloride 0.08 mg/ml
5% Glucose 1057
kompatibel
Injektion Penicillin G sodium 0,05 MUI/ml
Injektion Zidovudine 4 mg/ml
0,9% Natriumchlorid 1725
kompatibel
Injektion Penicillin G sodium 0,025 MUI/ml
Injektion Zidovudine 4 mg/ml
5% Glucose 1725
kompatibel
Injektion Penicillin G sodium 0,025 MUI/ml
Injektion Zidovudine 4 mg/ml
0,9% Natriumchlorid 1725
kompatibel
Injektion Penicillin G sodium 0,05 MUI/ml
Injektion Zidovudine 4 mg/ml
5% Glucose 1725

  Mentions Légales