Τελευταία ενημέρωση :
18/03/2026
Αντιβιοτικό   Penicillin G sodium  
Ενέσιμο
Σταθερότητα διαλυμάτων Σταθερότητα σε μίγματα Παράγοντας που επηρεάζει τη σταθερότητα Συμβατότητες Τρόπος χορήγησης Βιβλιογραφία pdf
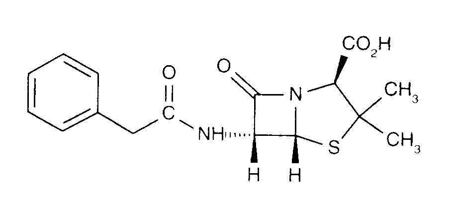
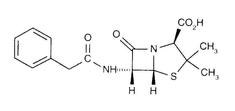
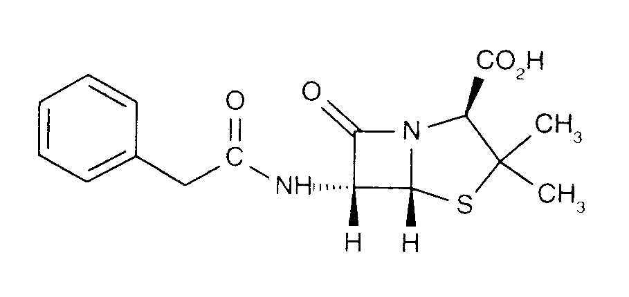
   χημική δομή  

Εμπορική ονομασία   Εμπορική ονομασία     

Οι εμπορικές ονομασίες είναι ενδεικτικές και η σύνθεση των εκδόχων μπορεί να διαφέρει ανάλογα με τη χώρα και τα εργαστήρια

Benapen Βραζιλία
Bencilpenicilina Εκουαδόρ, Περού, Χιλή
Benpen Αυστραλία, νέα Ζηλανδία
Bensylpenicillin Σουηδία
Benzapen Ιράν
Benzatec Νότιος Αφρική
Benzatron Βραζιλία
Benzylpenicillin Αίγυπτος, Δανία, Νορβηγία, Σουηδία, Φινλανδία
Benzylpenicilline Τυνησία
Biconcillina Εκουαδόρ
Crystapen Ιρλανδία, Καναδάς, Μεγάλη Βρετανία
Declin Μεξικό
Fortepen Σαουδική Αραβία
Geepenil Φινλανδία
Natrium penicillin G Ολλανδία
Novopen Νότιος Αφρική
Pebencil Βενεζουέλα
Penbendox Μεξικό
Penibiot Ισπανία
Penicillin Νορβηγία
Penicillina G sodica Αργεντινή, Εκουαδόρ, Κολομβία, Πορτογαλία, Χιλή
Penilevel Ισπανία
Sodiopen Ισπανία
Unicillina Ισπανία
Συμβατότητες    Ενέσιμο   Συμβατότητες : Penicillin G sodium              
Σε αυτή την οθόνη εμφανίζονται οι συμβατότητες ή ασυμβατότητες. Σε αυτή την περίπτωση εμφανίζονται το είδος της ασυμβατότητας (ίζημα, αλλαγή χρώματος, μεταβολή γαλακτώματος, κλπ). Οι συμβατότητες που παρουσιάζονται εδώ είναι κυρίως φυσικές, ενώ η χημική σταθερότητα κάθε μορίου σπάνια περιλαμβάνεται. Η αξιολόγηση αυτών των μιγμάτων μελετήθηκε προκειμένου να εκτιμηθεί η πιθανότητα χορήγησης στον ασθενή στο Υ κέντρο. Τα δεδομένα αυτά δεν μπορούν να χρησιμοποιηθούν για την εκ των προτέρων δημιουργία μιγμάτων σε ασκούς ή σύριγγες. Αυτό το είδος πληροφορίας υπάρχει και μπορεί να αναζητηθεί στην οθόνη «Σταθερότητα σε μίγμα».
Συστατικό Διαλυτικό Βιβλιογραφία
Απροσδιόριστη ασυμβατότητα Ασύμβατες
Ενέσιμο Penicillin G sodium
Ενέσιμο Amphotericin B
3585
Απροσδιόριστη ασυμβατότητα Ασύμβατες
Ενέσιμο Penicillin G sodium
Ενέσιμο Bleomycin sulfate
4154
Σύμφωνος
Ενέσιμο Penicillin G sodium 0.5 MUI/ml
Ενέσιμο Caffeine 10 mg/ml
Ουδέν 3964
Απροσδιόριστη ασυμβατότητα Ασύμβατες
Ενέσιμο Penicillin G sodium
Ενέσιμο Cimetidine hydrochloride
3585
Απροσδιόριστη ασυμβατότητα Ασύμβατες
Ενέσιμο Penicillin G sodium
Ενέσιμο Ciprofloxacin lactate
3529
Σύμφωνος
Ενέσιμο Penicillin G sodium 500 000 MUI/ml
Γαλακτικό διάλυμα Ringer 4603
Σύμφωνος
Ενέσιμο Penicillin G sodium
Γλυκόζη 5% 3648
Σύμφωνος
Ενέσιμο Penicillin G sodium
Χλωριούχο νάτριο 0,9% 3648
Σύμφωνος
Ενέσιμο Penicillin G sodium
Χλωριούχο νάτριο 0,9% 3585
Χημική αστάθεια Ασύμβατες
Ενέσιμο Penicillin G sodium
Ενέσιμο Amikacin sulfate
3549
Σύμφωνος
Ενέσιμο Penicillin G sodium 0.17 MUI/ml
Ενέσιμο Caffeine 10 mg/ml
Ενέσιμο ύδωρ 4837
Σύμφωνος
Ενέσιμο Penicillin G sodium 0.17 MUI/ml
Ενέσιμο Caffeine citrate 20 mg/ml
Ενέσιμο ύδωρ 4837
Σύμφωνος
Ενέσιμο Penicillin G sodium 0.5 MUI/ml
Ενέσιμο Cloxacillin sodium 100 mg/ml
Ενέσιμο ύδωρ 3012
Απροσδιόριστη ασυμβατότητα Ασύμβατες
Ενέσιμο Penicillin G sodium
Ενέσιμο Cytarabine
3580
Απροσδιόριστη ασυμβατότητα Ασύμβατες
Ενέσιμο Penicillin G sodium
Ενέσιμο Cytarabine
3585
Σύμφωνος
Ενέσιμο Penicillin G sodium 0,5 MUI/ml
Ενέσιμο Dexmedetomidine 100 µg/ml
4389
Σύμφωνος
Ενέσιμο Penicillin G sodium
Ενέσιμο Dimenhydrinate
2087
Απροσδιόριστη ασυμβατότητα Ασύμβατες
Ενέσιμο Penicillin G sodium
Ενέσιμο Erythromycin lactobionate
3674
Απροσδιόριστη ασυμβατότητα Ασύμβατες
Ενέσιμο Penicillin G sodium
Ενέσιμο Flucloxacillin sodium
3585
Απροσδιόριστη ασυμβατότητα Ασύμβατες
Ενέσιμο Penicillin G sodium
Ενέσιμο Gentamicin sulfate
3643
Απροσδιόριστη ασυμβατότητα Ασύμβατες
Ενέσιμο Penicillin G sodium
Ενέσιμο Gentamicin sulfate
3520
Απροσδιόριστη ασυμβατότητα Ασύμβατες
Ενέσιμο Penicillin G sodium
Ενέσιμο Heparin sodium
3540
Απροσδιόριστη ασυμβατότητα Ασύμβατες
Ενέσιμο Penicillin G sodium
Ενέσιμο Hydroxyzine dihydrochloride
3585
Σύμφωνος
Ενέσιμο Penicillin G sodium 0.5 MUI/ml
Ενέσιμο Levofloxacine 5 mg/ml
Γλυκόζη 5% 1072
Σύμφωνος
Ενέσιμο Penicillin G sodium 0.5 MUI/ml
Ενέσιμο Meropenem 50 mg/ml
Ενέσιμο ύδωρ 4319
Απροσδιόριστη ασυμβατότητα Ασύμβατες
Ενέσιμο Penicillin G sodium
Ενέσιμο Metaraminol
5046
Απροσδιόριστη ασυμβατότητα Ασύμβατες
Ενέσιμο Penicillin G sodium
Ενέσιμο Methylprednisolone sodium succinate
3585
Άμεση βροχόπτωση Ασύμβατες
Ενέσιμο Penicillin G sodium 0.17 MUI/ml
Ενέσιμο Morphine hydrochloride 0,2 mg/ml
Χλωριούχο νάτριο 0,9% 4831
Σύμφωνος
Ενέσιμο Penicillin G sodium 0,025 MUI/ml
Ενέσιμο Oxytocin 0,02 UI/ml
Γλυκόζη 5% 1725
Σύμφωνος
Ενέσιμο Penicillin G sodium 0,05 MUI/ml
Ενέσιμο Oxytocin 0,02 UI/ml
Γλυκόζη 5% 1725
Σύμφωνος
Ενέσιμο Penicillin G sodium 0,05 MUI/ml
Ενέσιμο Oxytocin 0,02 UI/ml
Χλωριούχο νάτριο 0,9% 1725
Σύμφωνος
Ενέσιμο Penicillin G sodium 0,025 MUI/ml
Ενέσιμο Oxytocin 0,02 UI/ml
Χλωριούχο νάτριο 0,9% 1725
Σύμφωνος
Ενέσιμο Penicillin G sodium
Ενέσιμο Pantoprazole sodium
2090
Απροσδιόριστη ασυμβατότητα Ασύμβατες
Ενέσιμο Penicillin G sodium
Ενέσιμο Promethazine hydrochloride
3585
Σύμφωνος
Ενέσιμο Penicillin G sodium 100 MUI/ml
Ενέσιμο Sildenafil citrate 0,6 mg/ml
Γλυκόζη 5% 4845
Σύμφωνος
Ενέσιμο Penicillin G sodium
Ενέσιμο Sildenafil citrate 0,6 mg/ml
Γλυκόζη 5% 4845
Άμεση βροχόπτωση Ασύμβατες
Ενέσιμο Penicillin G sodium
Ενέσιμο Trimebutine
3931
Σύμφωνος
Ενέσιμο Penicillin G sodium 0.01 MUI/ml
Ενέσιμο Verapamil hydrochloride 0.08 mg/ml
Χλωριούχο νάτριο 0,9% 1057
Σύμφωνος
Ενέσιμο Penicillin G sodium 0.01 MUI/ml
Ενέσιμο Verapamil hydrochloride 0.08 mg/ml
Γλυκόζη 5% 1057
Σύμφωνος
Ενέσιμο Penicillin G sodium 0,05 MUI/ml
Ενέσιμο Zidovudine 4 mg/ml
Χλωριούχο νάτριο 0,9% 1725
Σύμφωνος
Ενέσιμο Penicillin G sodium 0,025 MUI/ml
Ενέσιμο Zidovudine 4 mg/ml
Γλυκόζη 5% 1725
Σύμφωνος
Ενέσιμο Penicillin G sodium 0,025 MUI/ml
Ενέσιμο Zidovudine 4 mg/ml
Χλωριούχο νάτριο 0,9% 1725
Σύμφωνος
Ενέσιμο Penicillin G sodium 0,05 MUI/ml
Ενέσιμο Zidovudine 4 mg/ml
Γλυκόζη 5% 1725

  Mentions Légales