Последнее обновление :
18/03/2026
Антибиотик   Penicillin G sodium  
Инъекция
Стабильность растворов Стабильность смесей Факторы, которые влияют на стабильность Совместимость Способы введения Библиография pdf
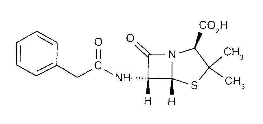
   Химическая структура  

Товарное название   Товарное название     

Trade names are indicative and excipients composition can be different depending on the country and manufacturers

Benapen Бразилия
Bencilpenicilina Перу, чили, Эквадор
Benpen Австралия, новая Зеландия
Bensylpenicillin Швеция
Benzapen Иран
Benzatec Южно-Африканская Республика
Benzatron Бразилия
Benzylpenicillin Дания, Египет, Норвегия, Финляндия, Швеция
Benzylpenicilline Тунис
Biconcillina Эквадор
Crystapen Великобритания, Ирландия, Канада
Declin Мексика
Fortepen Саудовская Аравия
Geepenil Финляндия
Natrium penicillin G Голландия
Novopen Южно-Африканская Республика
Pebencil Венесуэла
Penbendox Мексика
Penibiot Испания
Penicillin Норвегия
Penicillina G sodica Аргентина, Колумбия, Португалия, чили, Эквадор
Penilevel Испания
Sodiopen Испания
Unicillina Испания
Совместимость   Инъекция   Совместимость : Penicillin G sodium              
Эта таблица показывает совместимость или несовместимость препаратов, по возможности тип несовместимости (преципитат, смена цвета, разложение эмульсии и др.). Показанные здесь совместимости в основном физические, по возможности указана и химическая стабильность каждой молекулы. Анализ этих смесей произведён для исследования возможности ввести препараты пациенту в Y-соединении систем. Эти данные нельзя использовать, чтобы приготовить лекарства на будущее в мешках или шприцах. Эта информация доступна в разделе "Стабильность смесей".
Молекула Растворитель Ссылки
Неопределенная несовместимость несовместимый
Инъекция Penicillin G sodium
Инъекция Amphotericin B
3585
Неопределенная несовместимость несовместимый
Инъекция Penicillin G sodium
Инъекция Bleomycin sulfate
4154
совместимый
Инъекция Penicillin G sodium 0.5 MUI/ml
Инъекция Caffeine 10 mg/ml
Нет 3964
Неопределенная несовместимость несовместимый
Инъекция Penicillin G sodium
Инъекция Cimetidine hydrochloride
3585
Неопределенная несовместимость несовместимый
Инъекция Penicillin G sodium
Инъекция Ciprofloxacin lactate
3529
совместимый
Инъекция Penicillin G sodium 500 000 MUI/ml
Раствор Рингера лактата 4603
совместимый
Инъекция Penicillin G sodium
Глюкоза 5% 3648
совместимый
Инъекция Penicillin G sodium
Натрия хлорид 0,9% 3648
совместимый
Инъекция Penicillin G sodium
Натрия хлорид 0,9% 3585
Химическая нестабильность несовместимый
Инъекция Penicillin G sodium
Инъекция Amikacin sulfate
3549
совместимый
Инъекция Penicillin G sodium 0.17 MUI/ml
Инъекция Caffeine 10 mg/ml
Вода для инъекций 4837
совместимый
Инъекция Penicillin G sodium 0.17 MUI/ml
Инъекция Caffeine citrate 20 mg/ml
Вода для инъекций 4837
совместимый
Инъекция Penicillin G sodium 0.5 MUI/ml
Инъекция Cloxacillin sodium 100 mg/ml
Вода для инъекций 3012
Неопределенная несовместимость несовместимый
Инъекция Penicillin G sodium
Инъекция Cytarabine
3580
Неопределенная несовместимость несовместимый
Инъекция Penicillin G sodium
Инъекция Cytarabine
3585
совместимый
Инъекция Penicillin G sodium 0,5 MUI/ml
Инъекция Dexmedetomidine 100 µg/ml
4389
совместимый
Инъекция Penicillin G sodium
Инъекция Dimenhydrinate
2087
Неопределенная несовместимость несовместимый
Инъекция Penicillin G sodium
Инъекция Erythromycin lactobionate
3674
Неопределенная несовместимость несовместимый
Инъекция Penicillin G sodium
Инъекция Flucloxacillin sodium
3585
Неопределенная несовместимость несовместимый
Инъекция Penicillin G sodium
Инъекция Gentamicin sulfate
3643
Неопределенная несовместимость несовместимый
Инъекция Penicillin G sodium
Инъекция Gentamicin sulfate
3520
Неопределенная несовместимость несовместимый
Инъекция Penicillin G sodium
Инъекция Heparin sodium
3540
Неопределенная несовместимость несовместимый
Инъекция Penicillin G sodium
Инъекция Hydroxyzine dihydrochloride
3585
совместимый
Инъекция Penicillin G sodium 0.5 MUI/ml
Инъекция Levofloxacine 5 mg/ml
Глюкоза 5% 1072
совместимый
Инъекция Penicillin G sodium 0.5 MUI/ml
Инъекция Meropenem 50 mg/ml
Вода для инъекций 4319
Неопределенная несовместимость несовместимый
Инъекция Penicillin G sodium
Инъекция Metaraminol
5046
Неопределенная несовместимость несовместимый
Инъекция Penicillin G sodium
Инъекция Methylprednisolone sodium succinate
3585
Немедленные осадки несовместимый
Инъекция Penicillin G sodium 0.17 MUI/ml
Инъекция Morphine hydrochloride 0,2 mg/ml
Натрия хлорид 0,9% 4831
совместимый
Инъекция Penicillin G sodium 0,025 MUI/ml
Инъекция Oxytocin 0,02 UI/ml
Глюкоза 5% 1725
совместимый
Инъекция Penicillin G sodium 0,05 MUI/ml
Инъекция Oxytocin 0,02 UI/ml
Глюкоза 5% 1725
совместимый
Инъекция Penicillin G sodium 0,05 MUI/ml
Инъекция Oxytocin 0,02 UI/ml
Натрия хлорид 0,9% 1725
совместимый
Инъекция Penicillin G sodium 0,025 MUI/ml
Инъекция Oxytocin 0,02 UI/ml
Натрия хлорид 0,9% 1725
совместимый
Инъекция Penicillin G sodium
Инъекция Pantoprazole sodium
2090
Неопределенная несовместимость несовместимый
Инъекция Penicillin G sodium
Инъекция Promethazine hydrochloride
3585
совместимый
Инъекция Penicillin G sodium 100 MUI/ml
Инъекция Sildenafil citrate 0,6 mg/ml
Глюкоза 5% 4845
совместимый
Инъекция Penicillin G sodium
Инъекция Sildenafil citrate 0,6 mg/ml
Глюкоза 5% 4845
Немедленные осадки несовместимый
Инъекция Penicillin G sodium
Инъекция Trimebutine
3931
совместимый
Инъекция Penicillin G sodium 0.01 MUI/ml
Инъекция Verapamil hydrochloride 0.08 mg/ml
Натрия хлорид 0,9% 1057
совместимый
Инъекция Penicillin G sodium 0.01 MUI/ml
Инъекция Verapamil hydrochloride 0.08 mg/ml
Глюкоза 5% 1057
совместимый
Инъекция Penicillin G sodium 0,05 MUI/ml
Инъекция Zidovudine 4 mg/ml
Натрия хлорид 0,9% 1725
совместимый
Инъекция Penicillin G sodium 0,025 MUI/ml
Инъекция Zidovudine 4 mg/ml
Глюкоза 5% 1725
совместимый
Инъекция Penicillin G sodium 0,025 MUI/ml
Инъекция Zidovudine 4 mg/ml
Натрия хлорид 0,9% 1725
совместимый
Инъекция Penicillin G sodium 0,05 MUI/ml
Инъекция Zidovudine 4 mg/ml
Глюкоза 5% 1725

  Mentions Légales