Last update :
18/03/2026
Antibiotic   Penicillin G sodium  
injection
Stability in solutions Stability of mixtures Factors which affect stability Compatibility Route of administration References pdf
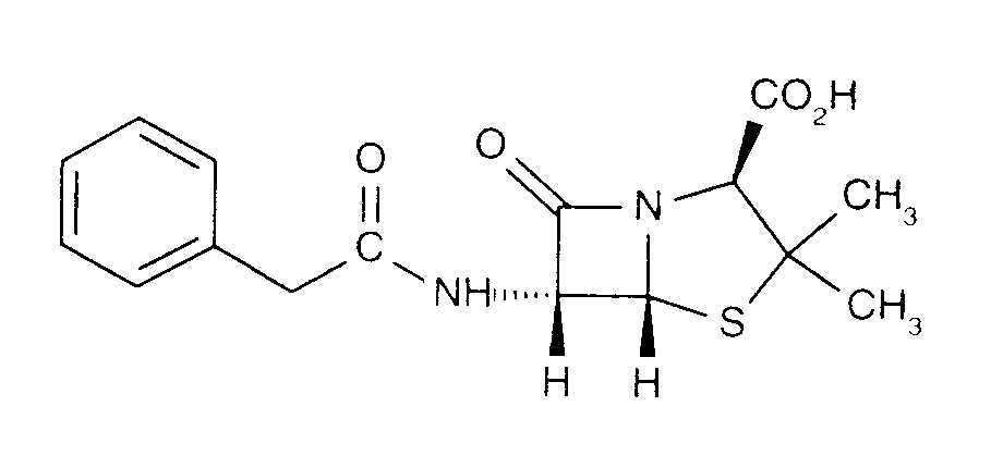
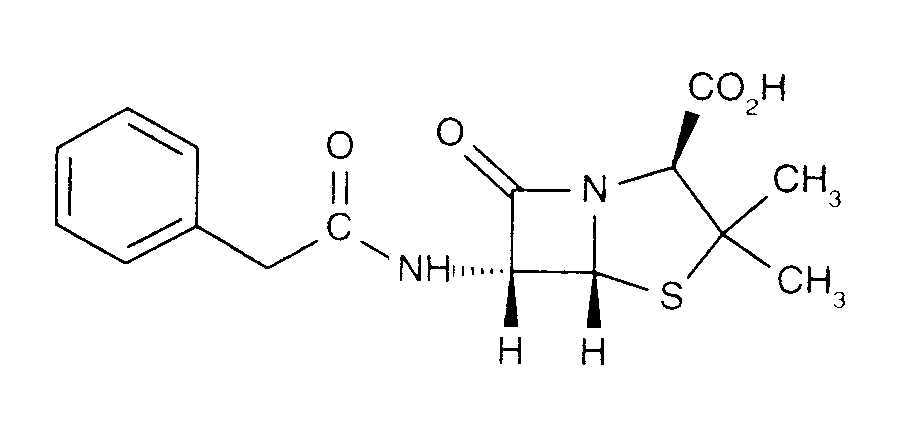
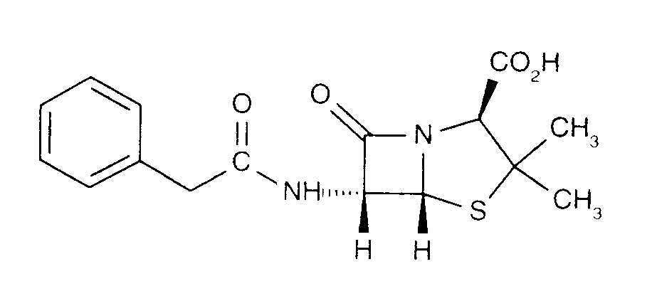
   Chemical structure  

Tradename   Tradename     

Trade names are indicative and excipients composition can be different depending on the country and manufacturers

Benapen Brazil
Bencilpenicilina Chile, Ecuador, Peru
Benpen Australia, New Zealand
Bensylpenicillin Sweden
Benzapen Iran
Benzatec Republic of South Africa
Benzatron Brazil
Benzylpenicillin Denmark, Egypt, Finland, Norway, Sweden
Benzylpenicilline Tunisia
Biconcillina Ecuador
Crystapen Canada, Great Britain, Ireland
Declin Mexico
Fortepen Saudi Arabia
Geepenil Finland
Natrium penicillin G Netherlands
Novopen Republic of South Africa
Pebencil Venezuela
Penbendox Mexico
Penibiot Spain
Penicillin Norway
Penicillina G sodica Argentina, Chile, Colombia, Ecuador, Portugal
Penilevel Spain
Sodiopen Spain
Unicillina Spain
Compatibility   injection   Compatibility : Penicillin G sodium              
This screen indicates the compatibilities or incompatibilities with, in this case, the type of incompatibility (precipitation, color change, modification of an emulsion, etc.). The compatibilities shown here are mostly physical only, with the chemical stability of each molecule rarely being assessed. The evaluation of these mixtures was studied to consider the possibility of Y-site administration to the patient. These data cannot be used for making mixtures in advance in bags or syringes. This type of information is available in the screen "Stability in mixture ».
Compound Solvent References
Unspecified incompatibility Incompatible
injection Penicillin G sodium
injection Amphotericin B
3585
Unspecified incompatibility Incompatible
injection Penicillin G sodium
injection Bleomycin sulfate
4154
Compatible
injection Penicillin G sodium 0.5 MUI/ml
injection Caffeine 10 mg/ml
None 3964
Unspecified incompatibility Incompatible
injection Penicillin G sodium
injection Cimetidine hydrochloride
3585
Unspecified incompatibility Incompatible
injection Penicillin G sodium
injection Ciprofloxacin lactate
3529
Compatible
injection Penicillin G sodium 500 000 MUI/ml
Ringer’s lactate solution 4603
Compatible
injection Penicillin G sodium
Glucose 5% 3648
Compatible
injection Penicillin G sodium
Sodium chloride 0,9% 3648
Compatible
injection Penicillin G sodium
Sodium chloride 0,9% 3585
Chemical instability Incompatible
injection Penicillin G sodium
injection Amikacin sulfate
3549
Compatible
injection Penicillin G sodium 0.17 MUI/ml
injection Caffeine 10 mg/ml
Water for Injection 4837
Compatible
injection Penicillin G sodium 0.17 MUI/ml
injection Caffeine citrate 20 mg/ml
Water for Injection 4837
Compatible
injection Penicillin G sodium 0.5 MUI/ml
injection Cloxacillin sodium 100 mg/ml
Water for Injection 3012
Unspecified incompatibility Incompatible
injection Penicillin G sodium
injection Cytarabine
3580
Unspecified incompatibility Incompatible
injection Penicillin G sodium
injection Cytarabine
3585
Compatible
injection Penicillin G sodium 0,5 MUI/ml
injection Dexmedetomidine 100 µg/ml
4389
Compatible
injection Penicillin G sodium
injection Dimenhydrinate
2087
Unspecified incompatibility Incompatible
injection Penicillin G sodium
injection Erythromycin lactobionate
3674
Unspecified incompatibility Incompatible
injection Penicillin G sodium
injection Flucloxacillin sodium
3585
Unspecified incompatibility Incompatible
injection Penicillin G sodium
injection Gentamicin sulfate
3643
Unspecified incompatibility Incompatible
injection Penicillin G sodium
injection Gentamicin sulfate
3520
Unspecified incompatibility Incompatible
injection Penicillin G sodium
injection Heparin sodium
3540
Unspecified incompatibility Incompatible
injection Penicillin G sodium
injection Hydroxyzine dihydrochloride
3585
Compatible
injection Penicillin G sodium 0.5 MUI/ml
injection Levofloxacine 5 mg/ml
Glucose 5% 1072
Compatible
injection Penicillin G sodium 0.5 MUI/ml
injection Meropenem 50 mg/ml
Water for Injection 4319
Unspecified incompatibility Incompatible
injection Penicillin G sodium
injection Metaraminol
5046
Unspecified incompatibility Incompatible
injection Penicillin G sodium
injection Methylprednisolone sodium succinate
3585
Immediate precipitation Incompatible
injection Penicillin G sodium 0.17 MUI/ml
injection Morphine hydrochloride 0,2 mg/ml
Sodium chloride 0,9% 4831
Compatible
injection Penicillin G sodium 0,025 MUI/ml
injection Oxytocin 0,02 UI/ml
Glucose 5% 1725
Compatible
injection Penicillin G sodium 0,05 MUI/ml
injection Oxytocin 0,02 UI/ml
Glucose 5% 1725
Compatible
injection Penicillin G sodium 0,05 MUI/ml
injection Oxytocin 0,02 UI/ml
Sodium chloride 0,9% 1725
Compatible
injection Penicillin G sodium 0,025 MUI/ml
injection Oxytocin 0,02 UI/ml
Sodium chloride 0,9% 1725
Compatible
injection Penicillin G sodium
injection Pantoprazole sodium
2090
Unspecified incompatibility Incompatible
injection Penicillin G sodium
injection Promethazine hydrochloride
3585
Compatible
injection Penicillin G sodium 100 MUI/ml
injection Sildenafil citrate 0,6 mg/ml
Glucose 5% 4845
Compatible
injection Penicillin G sodium
injection Sildenafil citrate 0,6 mg/ml
Glucose 5% 4845
Immediate precipitation Incompatible
injection Penicillin G sodium
injection Trimebutine
3931
Compatible
injection Penicillin G sodium 0.01 MUI/ml
injection Verapamil hydrochloride 0.08 mg/ml
Sodium chloride 0,9% 1057
Compatible
injection Penicillin G sodium 0.01 MUI/ml
injection Verapamil hydrochloride 0.08 mg/ml
Glucose 5% 1057
Compatible
injection Penicillin G sodium 0,05 MUI/ml
injection Zidovudine 4 mg/ml
Sodium chloride 0,9% 1725
Compatible
injection Penicillin G sodium 0,025 MUI/ml
injection Zidovudine 4 mg/ml
Glucose 5% 1725
Compatible
injection Penicillin G sodium 0,025 MUI/ml
injection Zidovudine 4 mg/ml
Sodium chloride 0,9% 1725
Compatible
injection Penicillin G sodium 0,05 MUI/ml
injection Zidovudine 4 mg/ml
Glucose 5% 1725

  Mentions Légales