Ultimo aggiornamento :
18/03/2026
Antibiotico   Penicillin G sodium  
Iniezione
Stabilità in soluzione Stabilità in miscela Fattori che influenzano la stabilità Compatibilità metodo di iniezione Bibliografia pdf
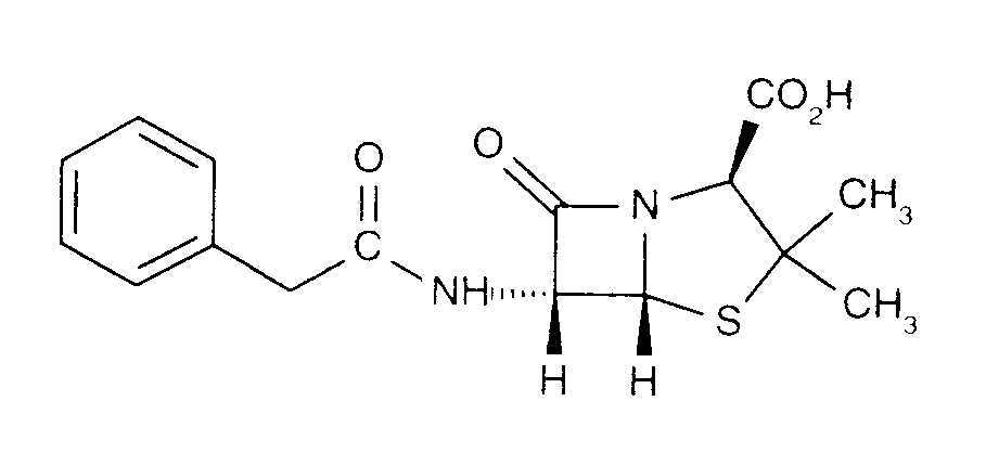
   Struttura chimica  

Nome commerciale   Nome commerciale     

Trade names are indicative and excipients composition can be different depending on the country and manufacturers

Benapen Brasile
Bencilpenicilina Chile, Ecuador, Perù
Benpen Australia, nuova Zelanda
Bensylpenicillin Svezia
Benzapen Iran
Benzatec Africa del Sud
Benzatron Brasile
Benzylpenicillin Danimarca, Egitto, Finlandia, Norvegia, Svezia
Benzylpenicilline Tunisia
Biconcillina Ecuador
Crystapen Canada, Gran Bretagna, Irlanda
Declin Messico
Fortepen Arabia Saudita
Geepenil Finlandia
Natrium penicillin G Paesi Bassi
Novopen Africa del Sud
Pebencil Venezuela
Penbendox Messico
Penibiot Spagna
Penicillin Norvegia
Penicillina G sodica Argentina, Chile, Colombia, Ecuador, Portogallo
Penilevel Spagna
Sodiopen Spagna
Unicillina Spagna
Compatibilità   Iniezione   Compatibilità : Penicillin G sodium              
explication_incompatibilite_molecules
Molecola Solvente Bibliografia
Incompatibilità non specificata Incompatibile
Iniezione Penicillin G sodium
Iniezione Amphotericin B
3585
Incompatibilità non specificata Incompatibile
Iniezione Penicillin G sodium
Iniezione Bleomycin sulfate
4154
Compatibile
Iniezione Penicillin G sodium 0.5 MUI/ml
Iniezione Caffeine 10 mg/ml
Nessuno 3964
Incompatibilità non specificata Incompatibile
Iniezione Penicillin G sodium
Iniezione Cimetidine hydrochloride
3585
Incompatibilità non specificata Incompatibile
Iniezione Penicillin G sodium
Iniezione Ciprofloxacin lactate
3529
Compatibile
Iniezione Penicillin G sodium 500 000 MUI/ml
Ringer lattato 4603
Compatibile
Iniezione Penicillin G sodium
Glucosio 5% 3648
Compatibile
Iniezione Penicillin G sodium
Cloruro di sodio 0,9% 3648
Compatibile
Iniezione Penicillin G sodium
Cloruro di sodio 0,9% 3585
Instabilità chimica Incompatibile
Iniezione Penicillin G sodium
Iniezione Amikacin sulfate
3549
Compatibile
Iniezione Penicillin G sodium 0.17 MUI/ml
Iniezione Caffeine 10 mg/ml
Acqua per preparato iniettabile 4837
Compatibile
Iniezione Penicillin G sodium 0.17 MUI/ml
Iniezione Caffeine citrate 20 mg/ml
Acqua per preparato iniettabile 4837
Compatibile
Iniezione Penicillin G sodium 0.5 MUI/ml
Iniezione Cloxacillin sodium 100 mg/ml
Acqua per preparato iniettabile 3012
Incompatibilità non specificata Incompatibile
Iniezione Penicillin G sodium
Iniezione Cytarabine
3580
Incompatibilità non specificata Incompatibile
Iniezione Penicillin G sodium
Iniezione Cytarabine
3585
Compatibile
Iniezione Penicillin G sodium 0,5 MUI/ml
Iniezione Dexmedetomidine 100 µg/ml
4389
Compatibile
Iniezione Penicillin G sodium
Iniezione Dimenhydrinate
2087
Incompatibilità non specificata Incompatibile
Iniezione Penicillin G sodium
Iniezione Erythromycin lactobionate
3674
Incompatibilità non specificata Incompatibile
Iniezione Penicillin G sodium
Iniezione Flucloxacillin sodium
3585
Incompatibilità non specificata Incompatibile
Iniezione Penicillin G sodium
Iniezione Gentamicin sulfate
3643
Incompatibilità non specificata Incompatibile
Iniezione Penicillin G sodium
Iniezione Gentamicin sulfate
3520
Incompatibilità non specificata Incompatibile
Iniezione Penicillin G sodium
Iniezione Heparin sodium
3540
Incompatibilità non specificata Incompatibile
Iniezione Penicillin G sodium
Iniezione Hydroxyzine dihydrochloride
3585
Compatibile
Iniezione Penicillin G sodium 0.5 MUI/ml
Iniezione Levofloxacine 5 mg/ml
Glucosio 5% 1072
Compatibile
Iniezione Penicillin G sodium 0.5 MUI/ml
Iniezione Meropenem 50 mg/ml
Acqua per preparato iniettabile 4319
Incompatibilità non specificata Incompatibile
Iniezione Penicillin G sodium
Iniezione Metaraminol
5046
Incompatibilità non specificata Incompatibile
Iniezione Penicillin G sodium
Iniezione Methylprednisolone sodium succinate
3585
Precipitazioni immediate Incompatibile
Iniezione Penicillin G sodium 0.17 MUI/ml
Iniezione Morphine hydrochloride 0,2 mg/ml
Cloruro di sodio 0,9% 4831
Compatibile
Iniezione Penicillin G sodium 0,025 MUI/ml
Iniezione Oxytocin 0,02 UI/ml
Glucosio 5% 1725
Compatibile
Iniezione Penicillin G sodium 0,05 MUI/ml
Iniezione Oxytocin 0,02 UI/ml
Glucosio 5% 1725
Compatibile
Iniezione Penicillin G sodium 0,05 MUI/ml
Iniezione Oxytocin 0,02 UI/ml
Cloruro di sodio 0,9% 1725
Compatibile
Iniezione Penicillin G sodium 0,025 MUI/ml
Iniezione Oxytocin 0,02 UI/ml
Cloruro di sodio 0,9% 1725
Compatibile
Iniezione Penicillin G sodium
Iniezione Pantoprazole sodium
2090
Incompatibilità non specificata Incompatibile
Iniezione Penicillin G sodium
Iniezione Promethazine hydrochloride
3585
Compatibile
Iniezione Penicillin G sodium 100 MUI/ml
Iniezione Sildenafil citrate 0,6 mg/ml
Glucosio 5% 4845
Compatibile
Iniezione Penicillin G sodium
Iniezione Sildenafil citrate 0,6 mg/ml
Glucosio 5% 4845
Precipitazioni immediate Incompatibile
Iniezione Penicillin G sodium
Iniezione Trimebutine
3931
Compatibile
Iniezione Penicillin G sodium 0.01 MUI/ml
Iniezione Verapamil hydrochloride 0.08 mg/ml
Cloruro di sodio 0,9% 1057
Compatibile
Iniezione Penicillin G sodium 0.01 MUI/ml
Iniezione Verapamil hydrochloride 0.08 mg/ml
Glucosio 5% 1057
Compatibile
Iniezione Penicillin G sodium 0,05 MUI/ml
Iniezione Zidovudine 4 mg/ml
Cloruro di sodio 0,9% 1725
Compatibile
Iniezione Penicillin G sodium 0,025 MUI/ml
Iniezione Zidovudine 4 mg/ml
Glucosio 5% 1725
Compatibile
Iniezione Penicillin G sodium 0,025 MUI/ml
Iniezione Zidovudine 4 mg/ml
Cloruro di sodio 0,9% 1725
Compatibile
Iniezione Penicillin G sodium 0,05 MUI/ml
Iniezione Zidovudine 4 mg/ml
Glucosio 5% 1725

  Mentions Légales