最新更新 :
18/03/2026
抗菌薬   Penicillin G sodium  
注射薬
溶媒内の安定性 混合時の安定性 安定性に影響する因子 互換性 投与経路 引用文献 PDF
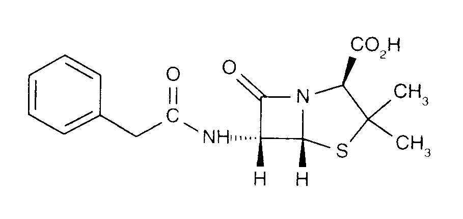
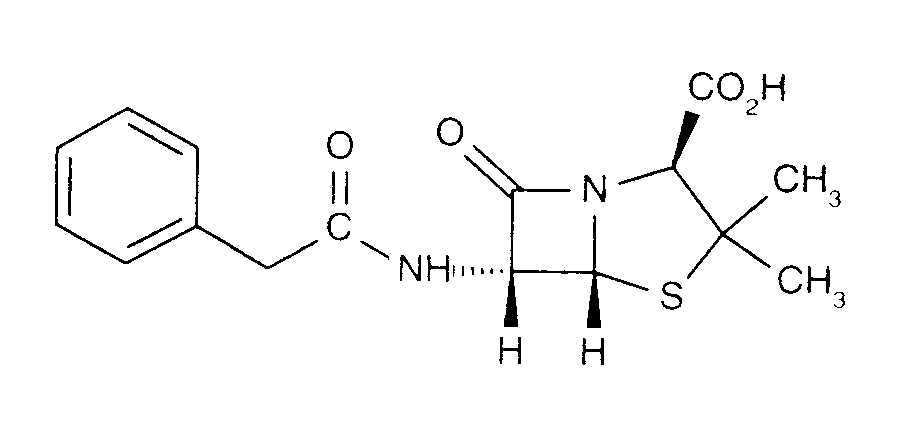
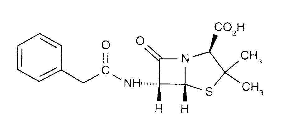
   化学構造  

商品名   商品名     

商品名、賦形剤は国、製薬会社ごとに異なることがあります

Benapen ブラジル
Bencilpenicilina エクアドル, チリ, ペルー
Benpen アーストラリア, ニュージーランド
Bensylpenicillin スウェーデン
Benzapen イラン
Benzatec 南アフリカ共和国
Benzatron ブラジル
Benzylpenicillin エジプト, スウェーデン, デンマーク, ノルウェー, フィンランド
Benzylpenicilline チュニジア
Biconcillina エクアドル
Crystapen アイルランド, イギリス, カナダ
Declin メキシコ
Fortepen サウジアラビア
Geepenil フィンランド
Natrium penicillin G オランダ
Novopen 南アフリカ共和国
Pebencil ベネズエラ
Penbendox メキシコ
Penibiot スペイン
Penicillin ノルウェー
Penicillina G sodica アルゼンチン, エクアドル, コロンビア, チリ, ポルトガル
Penilevel スペイン
Sodiopen スペイン
Unicillina スペイン
互換性   注射薬   互換性 : Penicillin G sodium              
This screen indicates the compatibilities or incompatibilities with, in this case, the type of incompatibility (precipitation, color change, modification of an emulsion, etc.). The compatibilities shown here are mostly physical only, with the chemical stability of each molecule rarely being assessed. The evaluation of these mixtures was studied to consider the possibility of Y-site administration to the patient. These data cannot be used for making mixtures in advance in bags or syringes. This type of information is available in the screen "Stability in mixture ».
化合物 溶媒 引用文献
不特定の非互換性 非互換
注射薬 Penicillin G sodium
注射薬 Amphotericin B
3585
不特定の非互換性 非互換
注射薬 Penicillin G sodium
注射薬 Bleomycin sulfate
4154
対応
注射薬 Penicillin G sodium 0.5 MUI/ml
注射薬 Caffeine 10 mg/ml
なし 3964
不特定の非互換性 非互換
注射薬 Penicillin G sodium
注射薬 Cimetidine hydrochloride
3585
不特定の非互換性 非互換
注射薬 Penicillin G sodium
注射薬 Ciprofloxacin lactate
3529
対応
注射薬 Penicillin G sodium 500 000 MUI/ml
乳酸リンゲル 4603
対応
注射薬 Penicillin G sodium
グルコース5% 3648
対応
注射薬 Penicillin G sodium
NaCl 0,9% 3648
対応
注射薬 Penicillin G sodium
NaCl 0,9% 3585
化学的不安定性 非互換
注射薬 Penicillin G sodium
注射薬 Amikacin sulfate
3549
対応
注射薬 Penicillin G sodium 0.17 MUI/ml
注射薬 Caffeine 10 mg/ml
注射用水 4837
対応
注射薬 Penicillin G sodium 0.17 MUI/ml
注射薬 Caffeine citrate 20 mg/ml
注射用水 4837
対応
注射薬 Penicillin G sodium 0.5 MUI/ml
注射薬 Cloxacillin sodium 100 mg/ml
注射用水 3012
不特定の非互換性 非互換
注射薬 Penicillin G sodium
注射薬 Cytarabine
3580
不特定の非互換性 非互換
注射薬 Penicillin G sodium
注射薬 Cytarabine
3585
対応
注射薬 Penicillin G sodium 0,5 MUI/ml
注射薬 Dexmedetomidine 100 µg/ml
4389
対応
注射薬 Penicillin G sodium
注射薬 Dimenhydrinate
2087
不特定の非互換性 非互換
注射薬 Penicillin G sodium
注射薬 Erythromycin lactobionate
3674
不特定の非互換性 非互換
注射薬 Penicillin G sodium
注射薬 Flucloxacillin sodium
3585
不特定の非互換性 非互換
注射薬 Penicillin G sodium
注射薬 Gentamicin sulfate
3643
不特定の非互換性 非互換
注射薬 Penicillin G sodium
注射薬 Gentamicin sulfate
3520
不特定の非互換性 非互換
注射薬 Penicillin G sodium
注射薬 Heparin sodium
3540
不特定の非互換性 非互換
注射薬 Penicillin G sodium
注射薬 Hydroxyzine dihydrochloride
3585
対応
注射薬 Penicillin G sodium 0.5 MUI/ml
注射薬 Levofloxacine 5 mg/ml
グルコース5% 1072
対応
注射薬 Penicillin G sodium 0.5 MUI/ml
注射薬 Meropenem 50 mg/ml
注射用水 4319
不特定の非互換性 非互換
注射薬 Penicillin G sodium
注射薬 Metaraminol
5046
不特定の非互換性 非互換
注射薬 Penicillin G sodium
注射薬 Methylprednisolone sodium succinate
3585
即時降水 非互換
注射薬 Penicillin G sodium 0.17 MUI/ml
注射薬 Morphine hydrochloride 0,2 mg/ml
NaCl 0,9% 4831
対応
注射薬 Penicillin G sodium 0,025 MUI/ml
注射薬 Oxytocin 0,02 UI/ml
グルコース5% 1725
対応
注射薬 Penicillin G sodium 0,05 MUI/ml
注射薬 Oxytocin 0,02 UI/ml
グルコース5% 1725
対応
注射薬 Penicillin G sodium 0,05 MUI/ml
注射薬 Oxytocin 0,02 UI/ml
NaCl 0,9% 1725
対応
注射薬 Penicillin G sodium 0,025 MUI/ml
注射薬 Oxytocin 0,02 UI/ml
NaCl 0,9% 1725
対応
注射薬 Penicillin G sodium
注射薬 Pantoprazole sodium
2090
不特定の非互換性 非互換
注射薬 Penicillin G sodium
注射薬 Promethazine hydrochloride
3585
対応
注射薬 Penicillin G sodium 100 MUI/ml
注射薬 Sildenafil citrate 0,6 mg/ml
グルコース5% 4845
対応
注射薬 Penicillin G sodium
注射薬 Sildenafil citrate 0,6 mg/ml
グルコース5% 4845
即時降水 非互換
注射薬 Penicillin G sodium
注射薬 Trimebutine
3931
対応
注射薬 Penicillin G sodium 0.01 MUI/ml
注射薬 Verapamil hydrochloride 0.08 mg/ml
NaCl 0,9% 1057
対応
注射薬 Penicillin G sodium 0.01 MUI/ml
注射薬 Verapamil hydrochloride 0.08 mg/ml
グルコース5% 1057
対応
注射薬 Penicillin G sodium 0,05 MUI/ml
注射薬 Zidovudine 4 mg/ml
NaCl 0,9% 1725
対応
注射薬 Penicillin G sodium 0,025 MUI/ml
注射薬 Zidovudine 4 mg/ml
グルコース5% 1725
対応
注射薬 Penicillin G sodium 0,025 MUI/ml
注射薬 Zidovudine 4 mg/ml
NaCl 0,9% 1725
対応
注射薬 Penicillin G sodium 0,05 MUI/ml
注射薬 Zidovudine 4 mg/ml
グルコース5% 1725

  Mentions Légales