Son güncelleme :
18/03/2026
Antibiyotik   Penicillin G sodium  
Enjeksiyon
Çözeltilerin stabilitesi Karışımlardaki stabilitesi Stabiliteyi etkileyen faktörler Uyumluluk Uygulama yöntemi Kaynaklar pdf
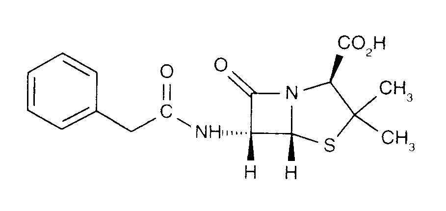
   Kimyasal yapı   

Ticari isim   Ticari isim     

Trade names are indicative and excipients composition can be different depending on the country and manufacturers

Benapen Brezilya
Bencilpenicilina Ekvador, Peru, Şili
Benpen Avustralya, yeni Zelanda
Bensylpenicillin İsveç
Benzapen İran
Benzatec Güney Afrika Cumhuriyeti
Benzatron Brezilya
Benzylpenicillin Danimarka, Finlandiya, İsveç, Mısır, Norveç
Benzylpenicilline Tunus
Biconcillina Ekvador
Crystapen Büyük Britanya, İrlanda, Kanada
Declin Meksika
Fortepen Suudi Arabistan
Geepenil Finlandiya
Natrium penicillin G Hollanda
Novopen Güney Afrika Cumhuriyeti
Pebencil Venezuela
Penbendox Meksika
Penibiot İspanya
Penicillin Norveç
Penicillina G sodica Arjantin, Ekvador, Kolombiya, Portekiz, Şili
Penilevel İspanya
Sodiopen İspanya
Unicillina İspanya
Uyumluluk   Enjeksiyon    Uyumluluk : Penicillin G sodium              
Bu ekran, bu durumda uyumsuzluk tipiyle (çökelme, renk değişimi, bir emülsiyonun modifikasyonu, vb.) Uyumlulukları veya uyumsuzlukları gösterir. Burada gösterilen uyumluluklar çoğunlukla yalnızca fizikseldir ve her molekülün kimyasal stabilitesi nadiren değerlendirilir. Bu karışımların değerlendirilmesi, hastaya Y bölgesi uygulama olasılığını göz önünde bulundurmak için çalışıldı. Bu veriler önceden torba veya şırıngalarda karışım yapmak için kullanılamaz. Bu tür bilgiler "Karışımda stabilite" ekranında mevcuttur.
Bileşik Çözücü Kaynaklar
Belirtilmemiş uyumsuzluk uyumsuz
Enjeksiyon Penicillin G sodium
Enjeksiyon Amphotericin B
3585
Belirtilmemiş uyumsuzluk uyumsuz
Enjeksiyon Penicillin G sodium
Enjeksiyon Bleomycin sulfate
4154
Uyumlu
Enjeksiyon Penicillin G sodium 0.5 MUI/ml
Enjeksiyon Caffeine 10 mg/ml
Yok 3964
Belirtilmemiş uyumsuzluk uyumsuz
Enjeksiyon Penicillin G sodium
Enjeksiyon Cimetidine hydrochloride
3585
Belirtilmemiş uyumsuzluk uyumsuz
Enjeksiyon Penicillin G sodium
Enjeksiyon Ciprofloxacin lactate
3529
Uyumlu
Enjeksiyon Penicillin G sodium 500 000 MUI/ml
Laktatlı ringer 4603
Uyumlu
Enjeksiyon Penicillin G sodium
Glukoz %5 3648
Uyumlu
Enjeksiyon Penicillin G sodium
Sodyum klorür % 0,9 3648
Uyumlu
Enjeksiyon Penicillin G sodium
Sodyum klorür % 0,9 3585
Kimyasal kararsızlık uyumsuz
Enjeksiyon Penicillin G sodium
Enjeksiyon Amikacin sulfate
3549
Uyumlu
Enjeksiyon Penicillin G sodium 0.17 MUI/ml
Enjeksiyon Caffeine 10 mg/ml
Enjeksiyonluk su 4837
Uyumlu
Enjeksiyon Penicillin G sodium 0.17 MUI/ml
Enjeksiyon Caffeine citrate 20 mg/ml
Enjeksiyonluk su 4837
Uyumlu
Enjeksiyon Penicillin G sodium 0.5 MUI/ml
Enjeksiyon Cloxacillin sodium 100 mg/ml
Enjeksiyonluk su 3012
Belirtilmemiş uyumsuzluk uyumsuz
Enjeksiyon Penicillin G sodium
Enjeksiyon Cytarabine
3580
Belirtilmemiş uyumsuzluk uyumsuz
Enjeksiyon Penicillin G sodium
Enjeksiyon Cytarabine
3585
Uyumlu
Enjeksiyon Penicillin G sodium 0,5 MUI/ml
Enjeksiyon Dexmedetomidine 100 µg/ml
4389
Uyumlu
Enjeksiyon Penicillin G sodium
Enjeksiyon Dimenhydrinate
2087
Belirtilmemiş uyumsuzluk uyumsuz
Enjeksiyon Penicillin G sodium
Enjeksiyon Erythromycin lactobionate
3674
Belirtilmemiş uyumsuzluk uyumsuz
Enjeksiyon Penicillin G sodium
Enjeksiyon Flucloxacillin sodium
3585
Belirtilmemiş uyumsuzluk uyumsuz
Enjeksiyon Penicillin G sodium
Enjeksiyon Gentamicin sulfate
3643
Belirtilmemiş uyumsuzluk uyumsuz
Enjeksiyon Penicillin G sodium
Enjeksiyon Gentamicin sulfate
3520
Belirtilmemiş uyumsuzluk uyumsuz
Enjeksiyon Penicillin G sodium
Enjeksiyon Heparin sodium
3540
Belirtilmemiş uyumsuzluk uyumsuz
Enjeksiyon Penicillin G sodium
Enjeksiyon Hydroxyzine dihydrochloride
3585
Uyumlu
Enjeksiyon Penicillin G sodium 0.5 MUI/ml
Enjeksiyon Levofloxacine 5 mg/ml
Glukoz %5 1072
Uyumlu
Enjeksiyon Penicillin G sodium 0.5 MUI/ml
Enjeksiyon Meropenem 50 mg/ml
Enjeksiyonluk su 4319
Belirtilmemiş uyumsuzluk uyumsuz
Enjeksiyon Penicillin G sodium
Enjeksiyon Metaraminol
5046
Belirtilmemiş uyumsuzluk uyumsuz
Enjeksiyon Penicillin G sodium
Enjeksiyon Methylprednisolone sodium succinate
3585
Acil yağış uyumsuz
Enjeksiyon Penicillin G sodium 0.17 MUI/ml
Enjeksiyon Morphine hydrochloride 0,2 mg/ml
Sodyum klorür % 0,9 4831
Uyumlu
Enjeksiyon Penicillin G sodium 0,025 MUI/ml
Enjeksiyon Oxytocin 0,02 UI/ml
Glukoz %5 1725
Uyumlu
Enjeksiyon Penicillin G sodium 0,05 MUI/ml
Enjeksiyon Oxytocin 0,02 UI/ml
Glukoz %5 1725
Uyumlu
Enjeksiyon Penicillin G sodium 0,05 MUI/ml
Enjeksiyon Oxytocin 0,02 UI/ml
Sodyum klorür % 0,9 1725
Uyumlu
Enjeksiyon Penicillin G sodium 0,025 MUI/ml
Enjeksiyon Oxytocin 0,02 UI/ml
Sodyum klorür % 0,9 1725
Uyumlu
Enjeksiyon Penicillin G sodium
Enjeksiyon Pantoprazole sodium
2090
Belirtilmemiş uyumsuzluk uyumsuz
Enjeksiyon Penicillin G sodium
Enjeksiyon Promethazine hydrochloride
3585
Uyumlu
Enjeksiyon Penicillin G sodium 100 MUI/ml
Enjeksiyon Sildenafil citrate 0,6 mg/ml
Glukoz %5 4845
Uyumlu
Enjeksiyon Penicillin G sodium
Enjeksiyon Sildenafil citrate 0,6 mg/ml
Glukoz %5 4845
Acil yağış uyumsuz
Enjeksiyon Penicillin G sodium
Enjeksiyon Trimebutine
3931
Uyumlu
Enjeksiyon Penicillin G sodium 0.01 MUI/ml
Enjeksiyon Verapamil hydrochloride 0.08 mg/ml
Sodyum klorür % 0,9 1057
Uyumlu
Enjeksiyon Penicillin G sodium 0.01 MUI/ml
Enjeksiyon Verapamil hydrochloride 0.08 mg/ml
Glukoz %5 1057
Uyumlu
Enjeksiyon Penicillin G sodium 0,05 MUI/ml
Enjeksiyon Zidovudine 4 mg/ml
Sodyum klorür % 0,9 1725
Uyumlu
Enjeksiyon Penicillin G sodium 0,025 MUI/ml
Enjeksiyon Zidovudine 4 mg/ml
Glukoz %5 1725
Uyumlu
Enjeksiyon Penicillin G sodium 0,025 MUI/ml
Enjeksiyon Zidovudine 4 mg/ml
Sodyum klorür % 0,9 1725
Uyumlu
Enjeksiyon Penicillin G sodium 0,05 MUI/ml
Enjeksiyon Zidovudine 4 mg/ml
Glukoz %5 1725

  Mentions Légales