最新更新 :
18/03/2026
抗生素   Penicillin G sodium  
注射液
溶液稳定性 混合物稳定性 影响稳定性的因素 兼容性 用药途径 引用文献 PDF
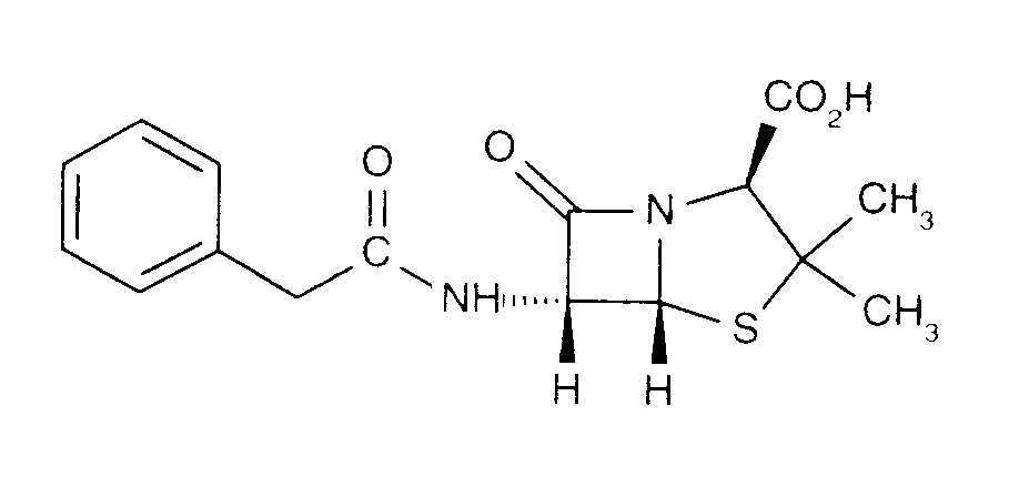
   化学式  

商品名   商品名     

商品名仅供参考, 药品所用的辅料可能依国家或厂商不同有所不同。

Benapen 巴西
Bencilpenicilina 厄瓜多尔, 智利, 秘鲁
Benpen 新西蘭, 澳大利亚
Bensylpenicillin 瑞典
Benzapen 伊朗
Benzatec 南非
Benzatron 巴西
Benzylpenicillin 丹麦, 埃及, 挪威, 瑞典, 芬兰
Benzylpenicilline 突尼斯
Biconcillina 厄瓜多尔
Crystapen 加拿大, 爱尔兰, 英国
Declin 墨西哥
Fortepen 沙特阿拉伯
Geepenil 芬兰
Natrium penicillin G 荷兰
Novopen 南非
Pebencil 委内瑞拉
Penbendox 墨西哥
Penibiot 西班牙
Penicillin 挪威
Penicillina G sodica 厄瓜多尔, 哥伦比亚, 智利, 葡萄牙, 阿根廷
Penilevel 西班牙
Sodiopen 西班牙
Unicillina 西班牙
兼容性   注射液   兼容性 : Penicillin G sodium              
This screen indicates the compatibilities or incompatibilities with, in this case, the type of incompatibility (precipitation, color change, modification of an emulsion, etc.). The compatibilities shown here are mostly physical only, with the chemical stability of each molecule rarely being assessed. The evaluation of these mixtures was studied to consider the possibility of Y-site administration to the patient. These data cannot be used for making mixtures in advance in bags or syringes. This type of information is available in the screen "Stability in mixture ».
分子 溶剂 引用文献
未指定的不兼容性 不相容
注射液 Penicillin G sodium
注射液 Amphotericin B
3585
未指定的不兼容性 不相容
注射液 Penicillin G sodium
注射液 Bleomycin sulfate
4154
兼容
注射液 Penicillin G sodium 0.5 MUI/ml
注射液 Caffeine 10 mg/ml
无 3964
未指定的不兼容性 不相容
注射液 Penicillin G sodium
注射液 Cimetidine hydrochloride
3585
未指定的不兼容性 不相容
注射液 Penicillin G sodium
注射液 Ciprofloxacin lactate
3529
兼容
注射液 Penicillin G sodium 500 000 MUI/ml
Ringer乳酸溶液 4603
兼容
注射液 Penicillin G sodium
葡萄糖5% 3648
兼容
注射液 Penicillin G sodium
NaCl 0,9% 3648
兼容
注射液 Penicillin G sodium
NaCl 0,9% 3585
化學不穩定性 不相容
注射液 Penicillin G sodium
注射液 Amikacin sulfate
3549
兼容
注射液 Penicillin G sodium 0.17 MUI/ml
注射液 Caffeine 10 mg/ml
注射用水 4837
兼容
注射液 Penicillin G sodium 0.17 MUI/ml
注射液 Caffeine citrate 20 mg/ml
注射用水 4837
兼容
注射液 Penicillin G sodium 0.5 MUI/ml
注射液 Cloxacillin sodium 100 mg/ml
注射用水 3012
未指定的不兼容性 不相容
注射液 Penicillin G sodium
注射液 Cytarabine
3580
未指定的不兼容性 不相容
注射液 Penicillin G sodium
注射液 Cytarabine
3585
兼容
注射液 Penicillin G sodium 0,5 MUI/ml
注射液 Dexmedetomidine 100 µg/ml
4389
兼容
注射液 Penicillin G sodium
注射液 Dimenhydrinate
2087
未指定的不兼容性 不相容
注射液 Penicillin G sodium
注射液 Erythromycin lactobionate
3674
未指定的不兼容性 不相容
注射液 Penicillin G sodium
注射液 Flucloxacillin sodium
3585
未指定的不兼容性 不相容
注射液 Penicillin G sodium
注射液 Gentamicin sulfate
3643
未指定的不兼容性 不相容
注射液 Penicillin G sodium
注射液 Gentamicin sulfate
3520
未指定的不兼容性 不相容
注射液 Penicillin G sodium
注射液 Heparin sodium
3540
未指定的不兼容性 不相容
注射液 Penicillin G sodium
注射液 Hydroxyzine dihydrochloride
3585
兼容
注射液 Penicillin G sodium 0.5 MUI/ml
注射液 Levofloxacine 5 mg/ml
葡萄糖5% 1072
兼容
注射液 Penicillin G sodium 0.5 MUI/ml
注射液 Meropenem 50 mg/ml
注射用水 4319
未指定的不兼容性 不相容
注射液 Penicillin G sodium
注射液 Metaraminol
5046
未指定的不兼容性 不相容
注射液 Penicillin G sodium
注射液 Methylprednisolone sodium succinate
3585
立即沉澱 不相容
注射液 Penicillin G sodium 0.17 MUI/ml
注射液 Morphine hydrochloride 0,2 mg/ml
NaCl 0,9% 4831
兼容
注射液 Penicillin G sodium 0,025 MUI/ml
注射液 Oxytocin 0,02 UI/ml
葡萄糖5% 1725
兼容
注射液 Penicillin G sodium 0,05 MUI/ml
注射液 Oxytocin 0,02 UI/ml
葡萄糖5% 1725
兼容
注射液 Penicillin G sodium 0,05 MUI/ml
注射液 Oxytocin 0,02 UI/ml
NaCl 0,9% 1725
兼容
注射液 Penicillin G sodium 0,025 MUI/ml
注射液 Oxytocin 0,02 UI/ml
NaCl 0,9% 1725
兼容
注射液 Penicillin G sodium
注射液 Pantoprazole sodium
2090
未指定的不兼容性 不相容
注射液 Penicillin G sodium
注射液 Promethazine hydrochloride
3585
兼容
注射液 Penicillin G sodium 100 MUI/ml
注射液 Sildenafil citrate 0,6 mg/ml
葡萄糖5% 4845
兼容
注射液 Penicillin G sodium
注射液 Sildenafil citrate 0,6 mg/ml
葡萄糖5% 4845
立即沉澱 不相容
注射液 Penicillin G sodium
注射液 Trimebutine
3931
兼容
注射液 Penicillin G sodium 0.01 MUI/ml
注射液 Verapamil hydrochloride 0.08 mg/ml
NaCl 0,9% 1057
兼容
注射液 Penicillin G sodium 0.01 MUI/ml
注射液 Verapamil hydrochloride 0.08 mg/ml
葡萄糖5% 1057
兼容
注射液 Penicillin G sodium 0,05 MUI/ml
注射液 Zidovudine 4 mg/ml
NaCl 0,9% 1725
兼容
注射液 Penicillin G sodium 0,025 MUI/ml
注射液 Zidovudine 4 mg/ml
葡萄糖5% 1725
兼容
注射液 Penicillin G sodium 0,025 MUI/ml
注射液 Zidovudine 4 mg/ml
NaCl 0,9% 1725
兼容
注射液 Penicillin G sodium 0,05 MUI/ml
注射液 Zidovudine 4 mg/ml
葡萄糖5% 1725

  Mentions Légales