Utolsó frissítés :
18/03/2026
Antibiotikum   Penicillin G sodium  
Injekció
Az oldatok stabilitása A keverékek stabilitása Stabilitást befolyásoló tényezők Kompatibilitás Az alkalmazás módja Irodalom pdf
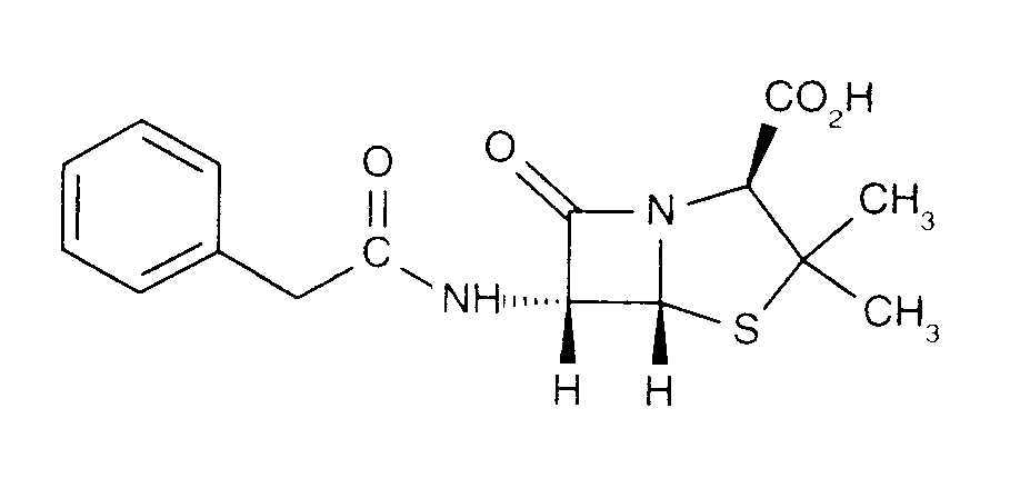
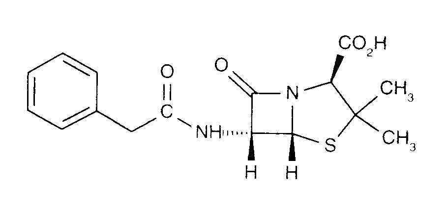
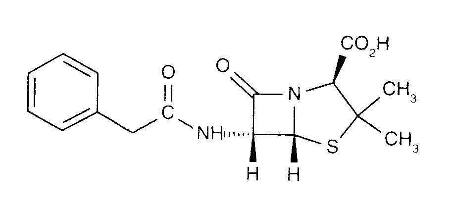
   Kémiai szerkezet   

Kereskedelmi név   Kereskedelmi név     

A kereskedelmi név meghatározó jelentőségű: a készítmények összetétele országonként, előállítóként eltérő lehet

Benapen Brazília
Bencilpenicilina Chile, Ecuador, Peru
Benpen Ausztrália, új-Zéland
Bensylpenicillin Svédország
Benzapen Irán
Benzatec Dél-Afrikai Köztársaság
Benzatron Brazília
Benzylpenicillin Dánia, Egyiptom, Finnország, Norvégia, Svédország
Benzylpenicilline Tunézia
Biconcillina Ecuador
Crystapen Írország, Kanada, Nagy-Britannia
Declin Mexikó
Fortepen Szaúd-Arábiában
Geepenil Finnország
Natrium penicillin G Hollandia
Novopen Dél-Afrikai Köztársaság
Pebencil Venezuela
Penbendox Mexikó
Penibiot Spanyolország
Penicillin Norvégia
Penicillina G sodica Argentína, Chile, Colombia, Ecuador, Portugália
Penilevel Spanyolország
Sodiopen Spanyolország
Unicillina Spanyolország
Kompatibilitás   Injekció   Kompatibilitás : Penicillin G sodium              
Ovdje su prikazane kompatibilnosti ili nekompatibilnosti s tipom nekompatibilnosti (taloženje, promjena boje, modifikacija emulzije itd.) u ovom slučaju. Kompatibilnosti prikazane ovdje najčešće su fizikalne dok se kemijska stabilnost molekule rijetko procjenjuje. Procjena ovih mikstura je proučavana kako bi se razmotrila mogućnost primjene lijeka putem Y-mjesta. Ovi se podaci ne smiju koristiti za pripremu mikstura unaprijed u vrećicama ili štrcaljkama. Ova vrsta informacije se može pronaći u odjeljku « stabilnost u miksturama ».
Vegyület Oldószer Irodalom
Meghatározatlan összeférhetetlenség Összeegyeztethetetlen
Injekció Penicillin G sodium
Injekció Amphotericin B
3585
Meghatározatlan összeférhetetlenség Összeegyeztethetetlen
Injekció Penicillin G sodium
Injekció Bleomycin sulfate
4154
Összeegyeztethető
Injekció Penicillin G sodium 0.5 MUI/ml
Injekció Caffeine 10 mg/ml
Egy sem 3964
Meghatározatlan összeférhetetlenség Összeegyeztethetetlen
Injekció Penicillin G sodium
Injekció Cimetidine hydrochloride
3585
Meghatározatlan összeférhetetlenség Összeegyeztethetetlen
Injekció Penicillin G sodium
Injekció Ciprofloxacin lactate
3529
Összeegyeztethető
Injekció Penicillin G sodium 500 000 MUI/ml
Ringer-laktát oldat 4603
Összeegyeztethető
Injekció Penicillin G sodium
5% glükóz 3648
Összeegyeztethető
Injekció Penicillin G sodium
0,9% nátrium-klorid 3648
Összeegyeztethető
Injekció Penicillin G sodium
0,9% nátrium-klorid 3585
Kémiai instabilitás Összeegyeztethetetlen
Injekció Penicillin G sodium
Injekció Amikacin sulfate
3549
Összeegyeztethető
Injekció Penicillin G sodium 0.17 MUI/ml
Injekció Caffeine 10 mg/ml
Injekcióhoz való víz 4837
Összeegyeztethető
Injekció Penicillin G sodium 0.17 MUI/ml
Injekció Caffeine citrate 20 mg/ml
Injekcióhoz való víz 4837
Összeegyeztethető
Injekció Penicillin G sodium 0.5 MUI/ml
Injekció Cloxacillin sodium 100 mg/ml
Injekcióhoz való víz 3012
Meghatározatlan összeférhetetlenség Összeegyeztethetetlen
Injekció Penicillin G sodium
Injekció Cytarabine
3580
Meghatározatlan összeférhetetlenség Összeegyeztethetetlen
Injekció Penicillin G sodium
Injekció Cytarabine
3585
Összeegyeztethető
Injekció Penicillin G sodium 0,5 MUI/ml
Injekció Dexmedetomidine 100 µg/ml
4389
Összeegyeztethető
Injekció Penicillin G sodium
Injekció Dimenhydrinate
2087
Meghatározatlan összeférhetetlenség Összeegyeztethetetlen
Injekció Penicillin G sodium
Injekció Erythromycin lactobionate
3674
Meghatározatlan összeférhetetlenség Összeegyeztethetetlen
Injekció Penicillin G sodium
Injekció Flucloxacillin sodium
3585
Meghatározatlan összeférhetetlenség Összeegyeztethetetlen
Injekció Penicillin G sodium
Injekció Gentamicin sulfate
3643
Meghatározatlan összeférhetetlenség Összeegyeztethetetlen
Injekció Penicillin G sodium
Injekció Gentamicin sulfate
3520
Meghatározatlan összeférhetetlenség Összeegyeztethetetlen
Injekció Penicillin G sodium
Injekció Heparin sodium
3540
Meghatározatlan összeférhetetlenség Összeegyeztethetetlen
Injekció Penicillin G sodium
Injekció Hydroxyzine dihydrochloride
3585
Összeegyeztethető
Injekció Penicillin G sodium 0.5 MUI/ml
Injekció Levofloxacine 5 mg/ml
5% glükóz 1072
Összeegyeztethető
Injekció Penicillin G sodium 0.5 MUI/ml
Injekció Meropenem 50 mg/ml
Injekcióhoz való víz 4319
Meghatározatlan összeférhetetlenség Összeegyeztethetetlen
Injekció Penicillin G sodium
Injekció Metaraminol
5046
Meghatározatlan összeférhetetlenség Összeegyeztethetetlen
Injekció Penicillin G sodium
Injekció Methylprednisolone sodium succinate
3585
Azonnali csapadék Összeegyeztethetetlen
Injekció Penicillin G sodium 0.17 MUI/ml
Injekció Morphine hydrochloride 0,2 mg/ml
0,9% nátrium-klorid 4831
Összeegyeztethető
Injekció Penicillin G sodium 0,025 MUI/ml
Injekció Oxytocin 0,02 UI/ml
5% glükóz 1725
Összeegyeztethető
Injekció Penicillin G sodium 0,05 MUI/ml
Injekció Oxytocin 0,02 UI/ml
5% glükóz 1725
Összeegyeztethető
Injekció Penicillin G sodium 0,05 MUI/ml
Injekció Oxytocin 0,02 UI/ml
0,9% nátrium-klorid 1725
Összeegyeztethető
Injekció Penicillin G sodium 0,025 MUI/ml
Injekció Oxytocin 0,02 UI/ml
0,9% nátrium-klorid 1725
Összeegyeztethető
Injekció Penicillin G sodium
Injekció Pantoprazole sodium
2090
Meghatározatlan összeférhetetlenség Összeegyeztethetetlen
Injekció Penicillin G sodium
Injekció Promethazine hydrochloride
3585
Összeegyeztethető
Injekció Penicillin G sodium 100 MUI/ml
Injekció Sildenafil citrate 0,6 mg/ml
5% glükóz 4845
Összeegyeztethető
Injekció Penicillin G sodium
Injekció Sildenafil citrate 0,6 mg/ml
5% glükóz 4845
Azonnali csapadék Összeegyeztethetetlen
Injekció Penicillin G sodium
Injekció Trimebutine
3931
Összeegyeztethető
Injekció Penicillin G sodium 0.01 MUI/ml
Injekció Verapamil hydrochloride 0.08 mg/ml
0,9% nátrium-klorid 1057
Összeegyeztethető
Injekció Penicillin G sodium 0.01 MUI/ml
Injekció Verapamil hydrochloride 0.08 mg/ml
5% glükóz 1057
Összeegyeztethető
Injekció Penicillin G sodium 0,05 MUI/ml
Injekció Zidovudine 4 mg/ml
0,9% nátrium-klorid 1725
Összeegyeztethető
Injekció Penicillin G sodium 0,025 MUI/ml
Injekció Zidovudine 4 mg/ml
5% glükóz 1725
Összeegyeztethető
Injekció Penicillin G sodium 0,025 MUI/ml
Injekció Zidovudine 4 mg/ml
0,9% nátrium-klorid 1725
Összeegyeztethető
Injekció Penicillin G sodium 0,05 MUI/ml
Injekció Zidovudine 4 mg/ml
5% glükóz 1725

  Mentions Légales