Cập nhật lần cuối :
05/12/2025
Kháng sinh   Dapsone  
Dạng bôi da
Dung dịch uống
Tính ổn định của các chế phẩm Độ ổn định khi trộn lẫn Những yếu tố ảnh hưởng đến độ ổn định Khả năng tương thích Tài liệu tham khảo Pdf
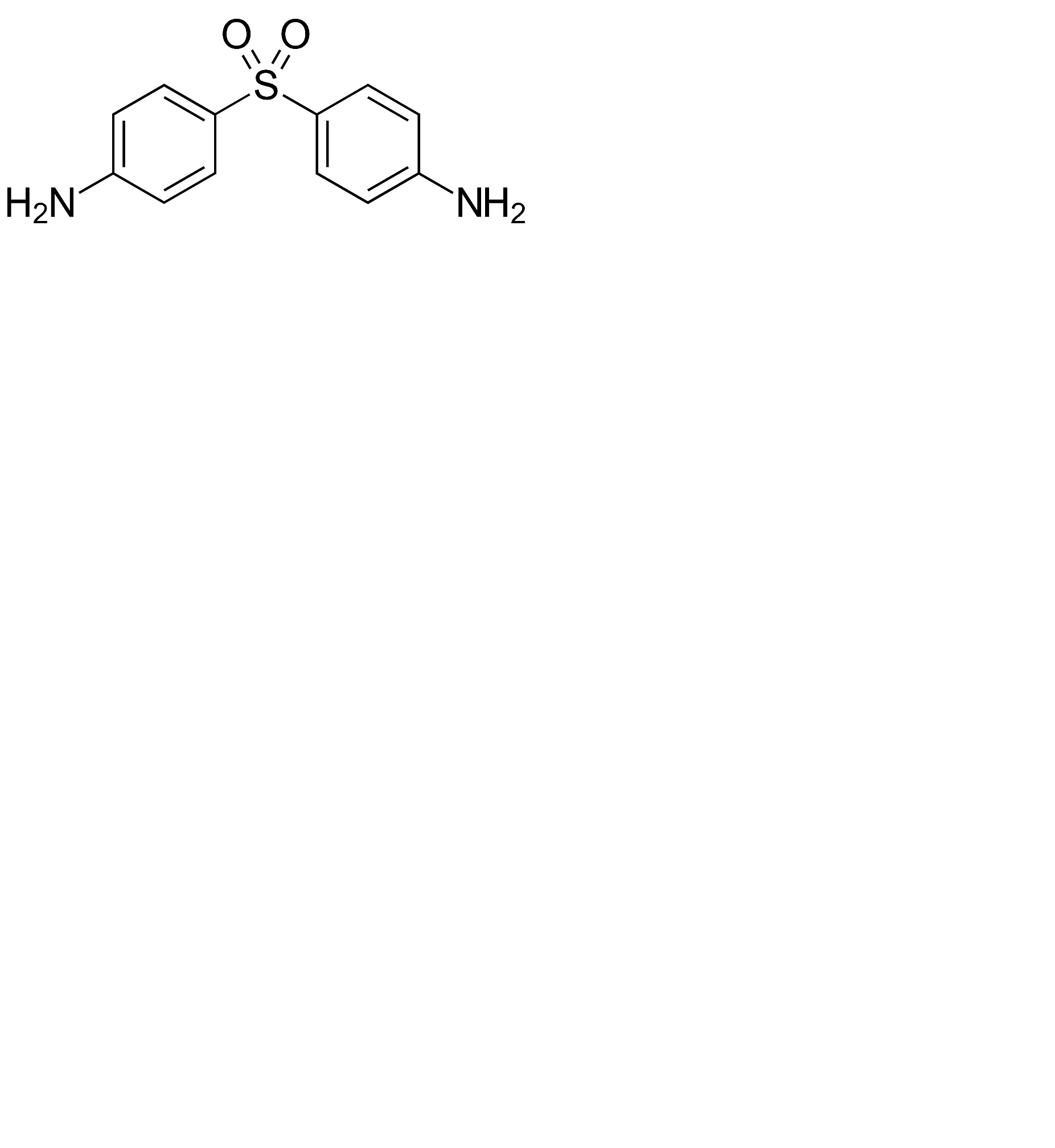
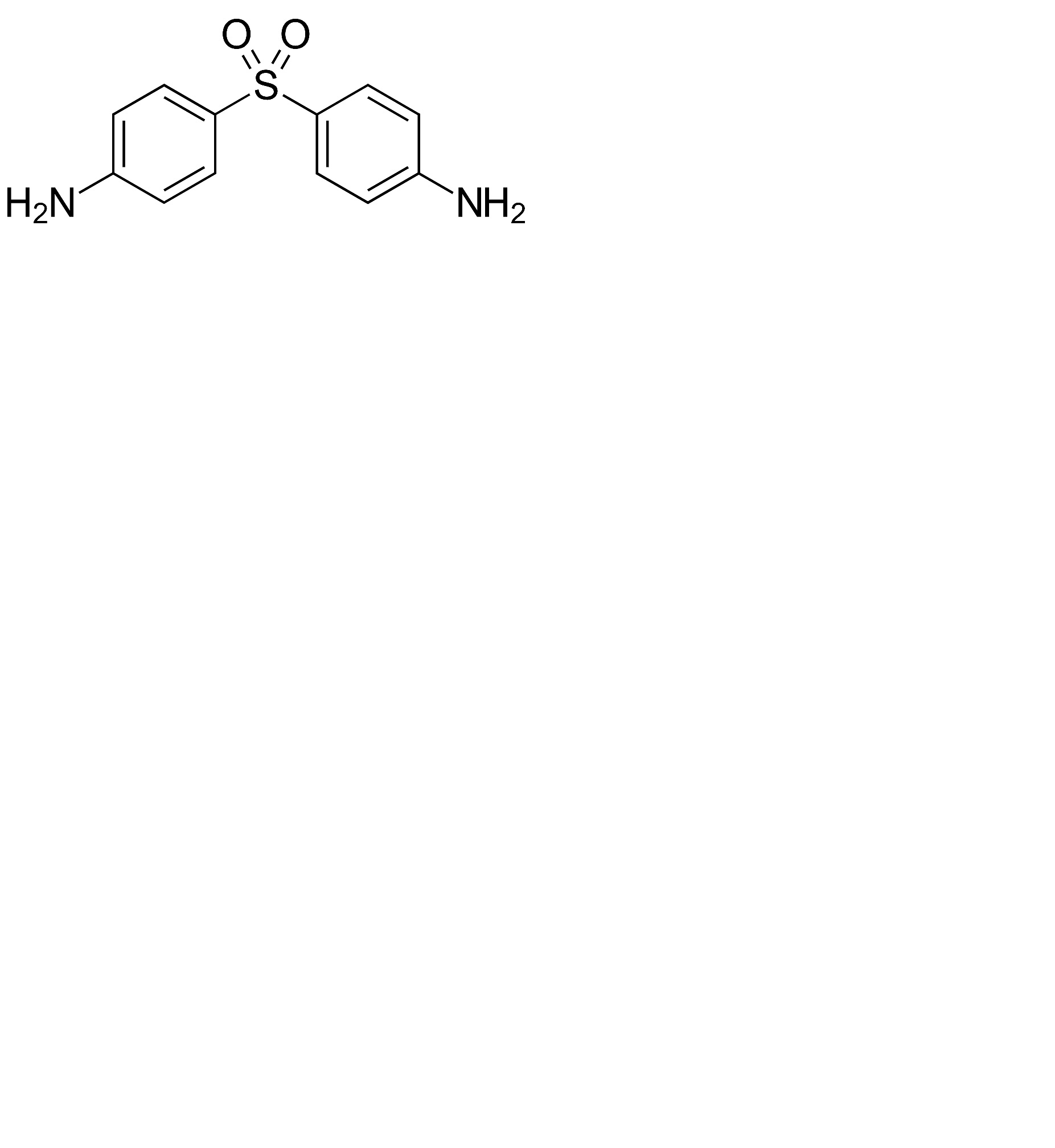
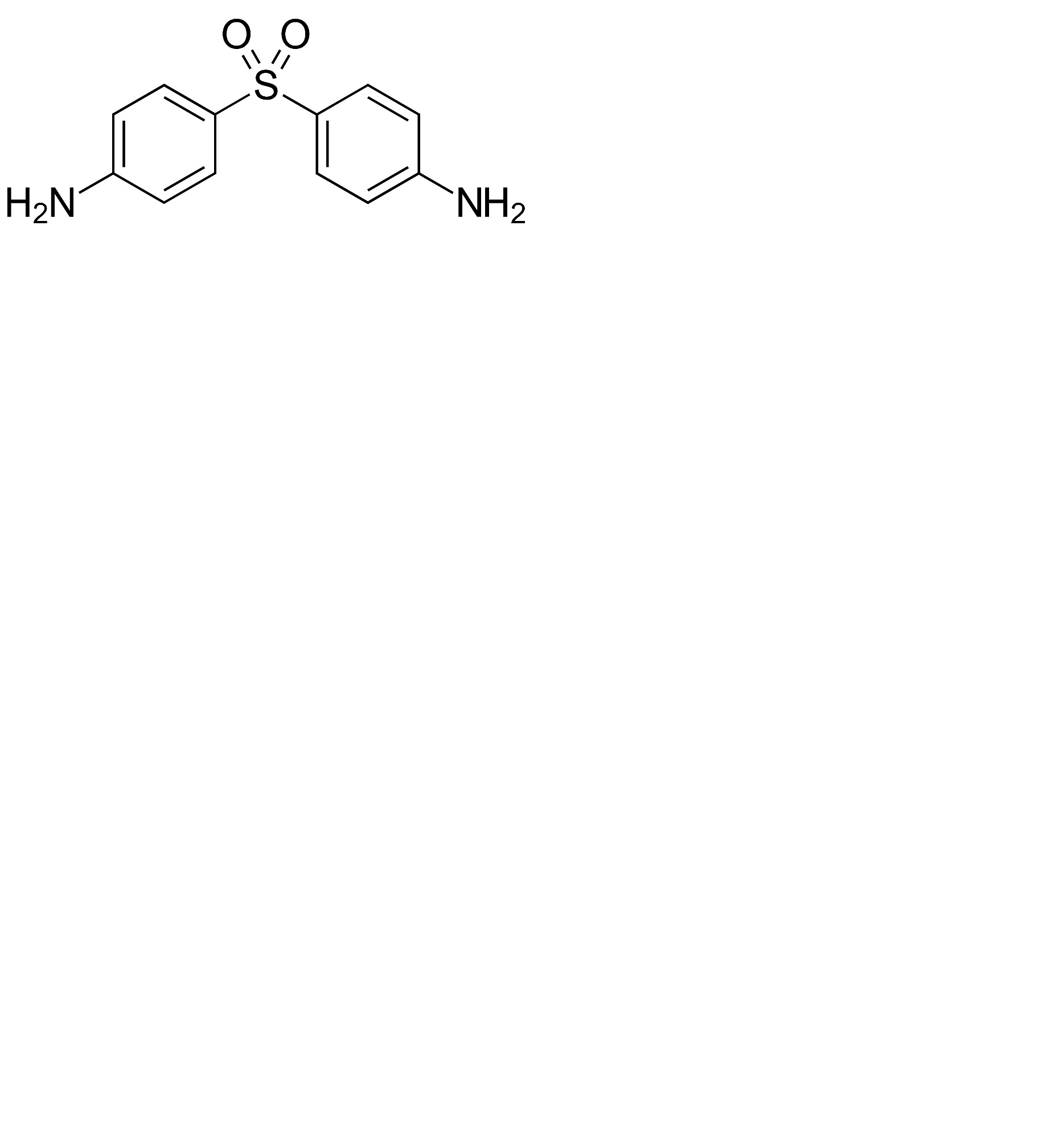
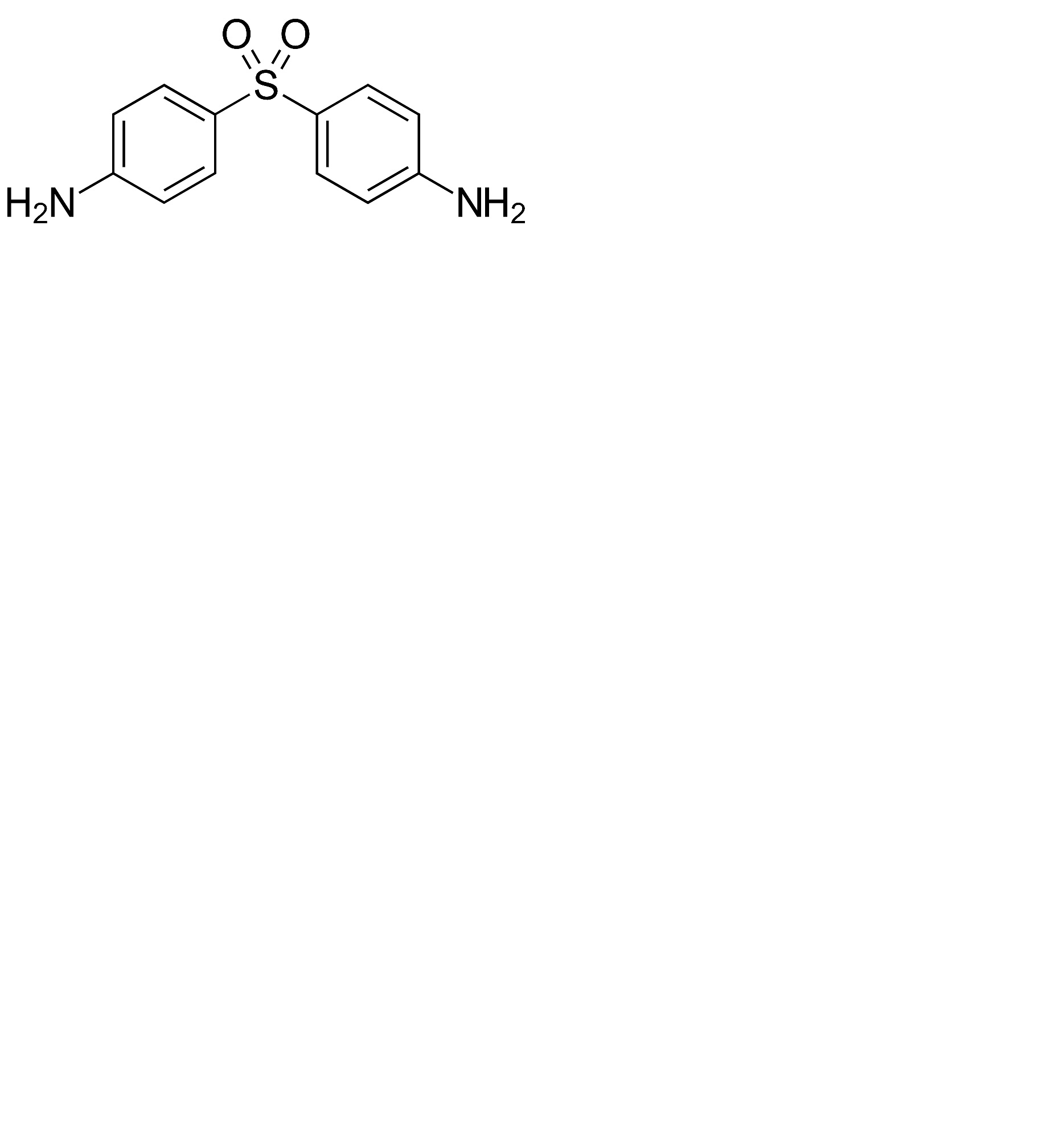
   Cấu trúc hóa học  

Dạng bôi da
Khả năng tương thích   Dạng bôi da   Khả năng tương thích : Dapsone              
Không có dữ liệu

  Mentions Légales