Utolsó frissítés :
18/03/2026
Antibiotikum   Dapsone  
kenőcs
belsőleges oldat
Stabilitása gyógyszerészeti készítmények A keverékek stabilitása Stabilitást befolyásoló tényezők Kompatibilitás Irodalom pdf
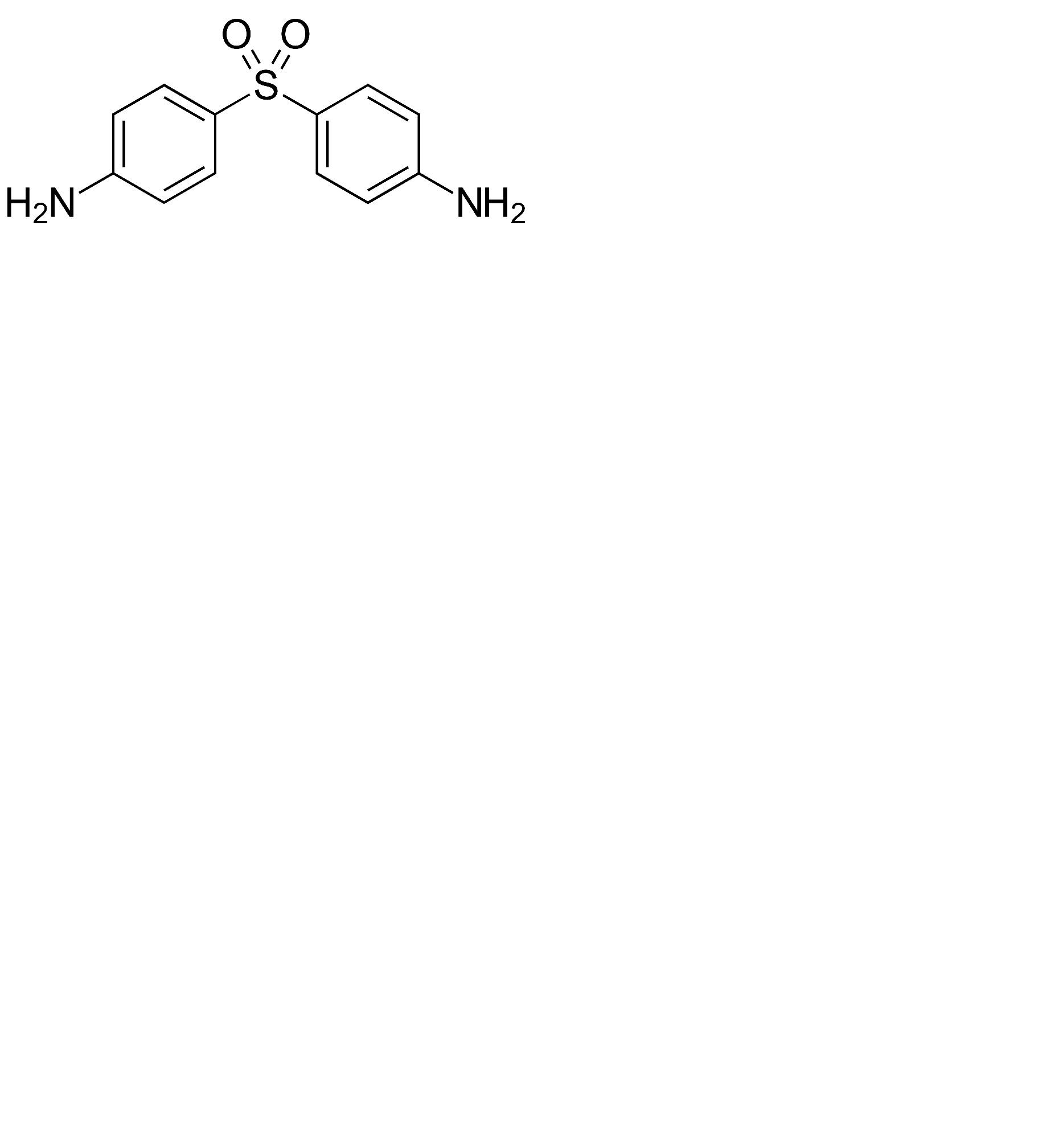
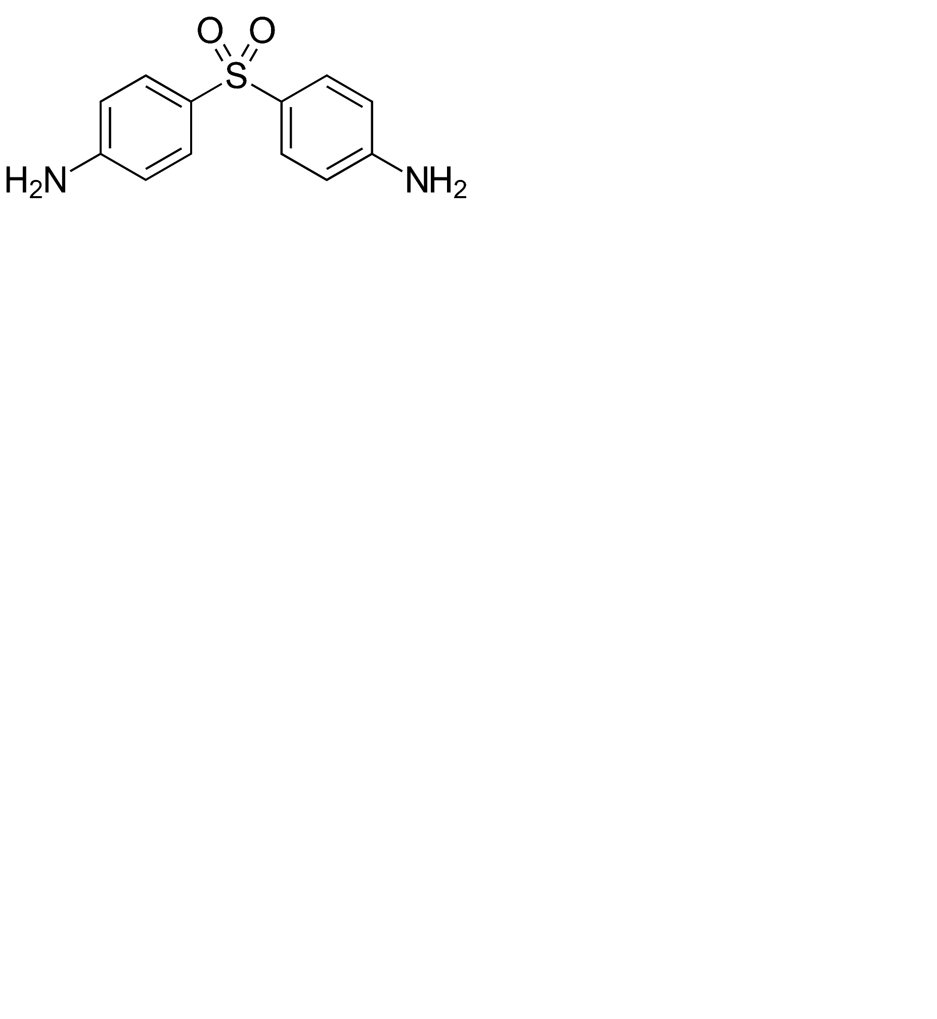
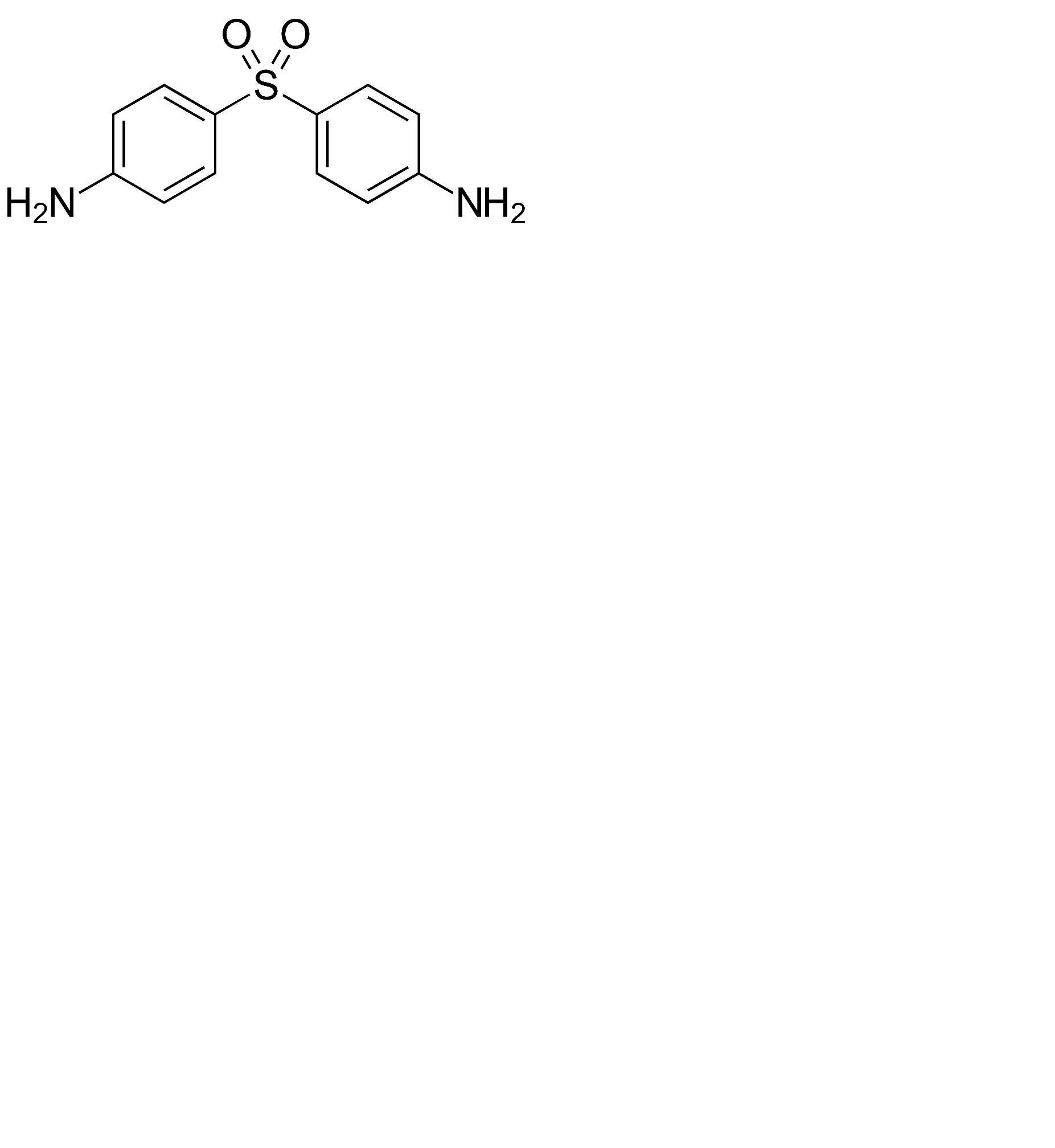
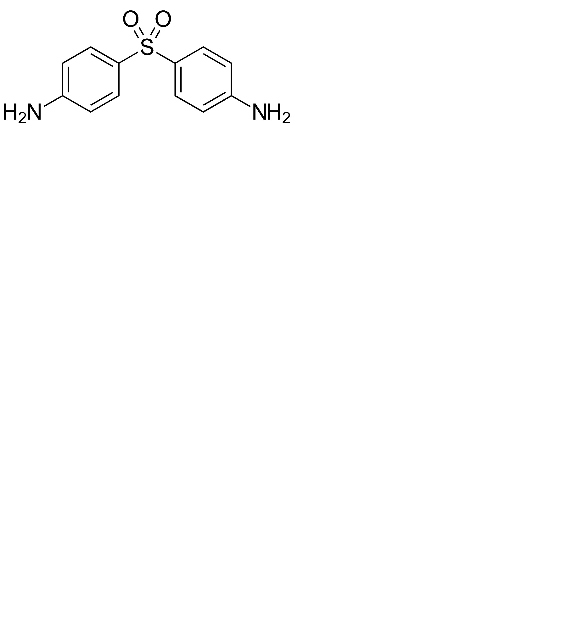
   Kémiai szerkezet   

kenőcs
Kompatibilitás   kenőcs   Kompatibilitás : Dapsone              
Hiányzó adat

  Mentions Légales