Ultimele actualizari :
18/03/2026
Antibiotic   Dapsone  
Unguente
Soluţie orală
Stabilitatea preparatelor farmaceutice Stabilitatea in amestec Factorii care influenteaza stabilitatea Compatibilitate Bibliografie pdf
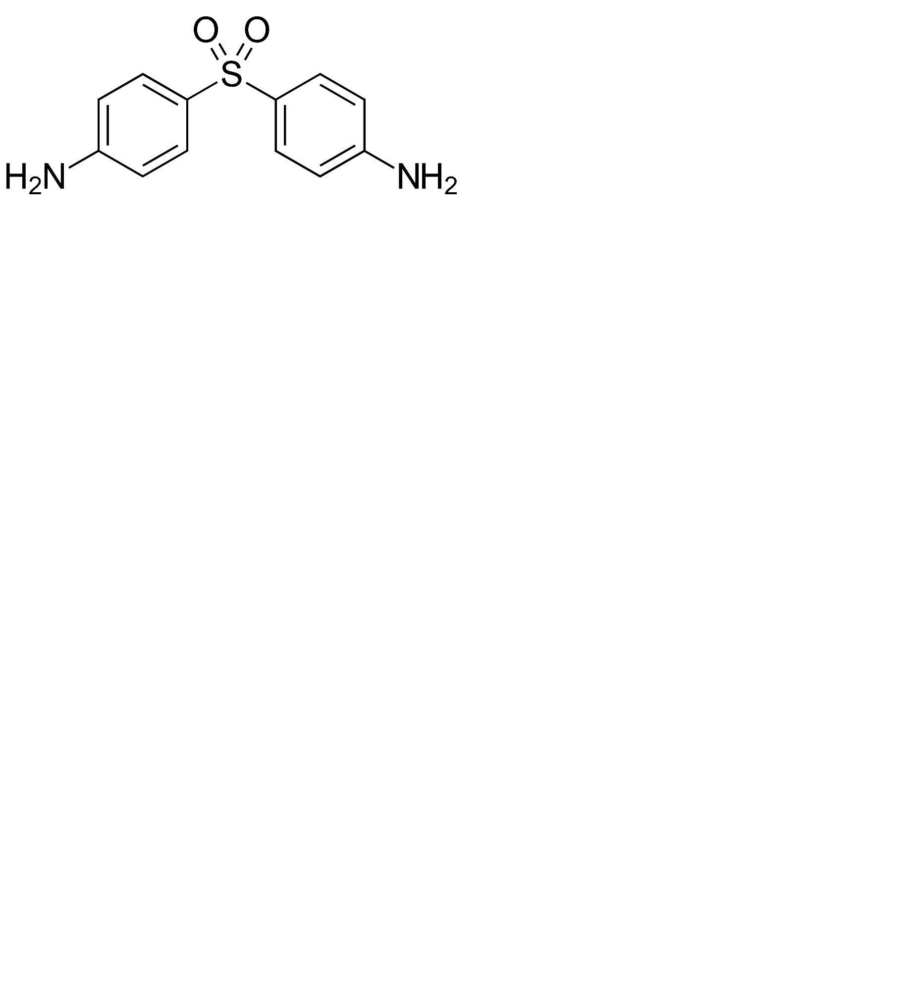
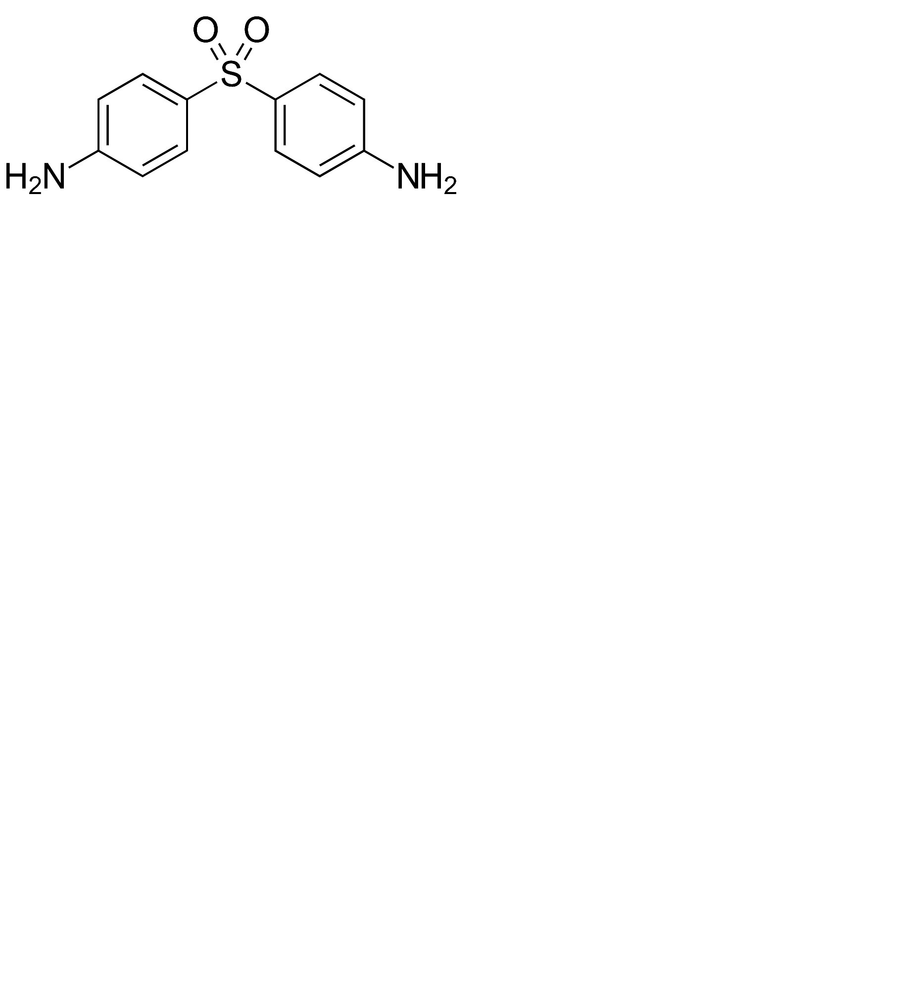
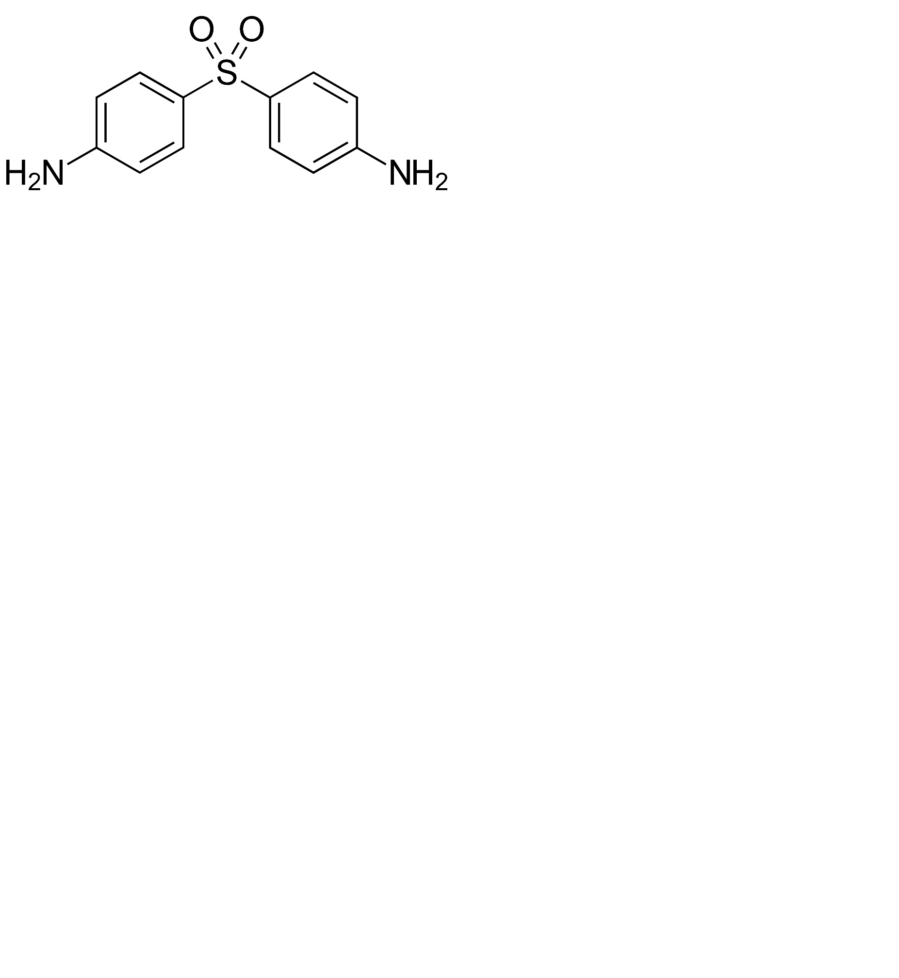
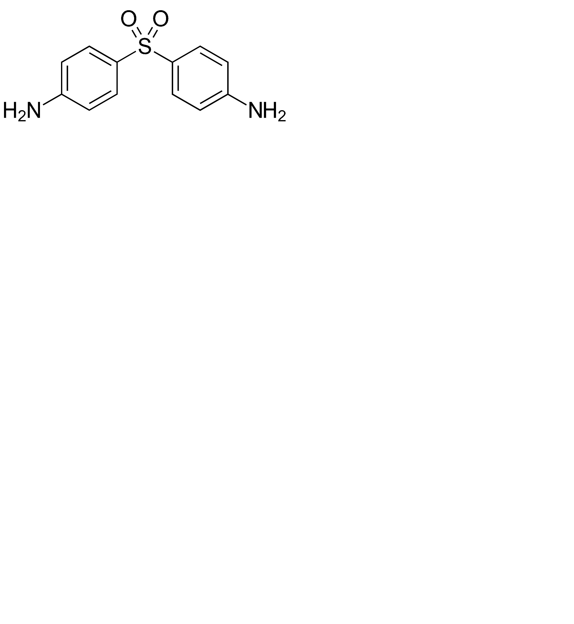
   Formula chimica  

Unguente
Compatibilitate   Unguente   Compatibilitate : Dapsone              
Absenta de date

  Mentions Légales