Ultimo aggiornamento :
18/03/2026
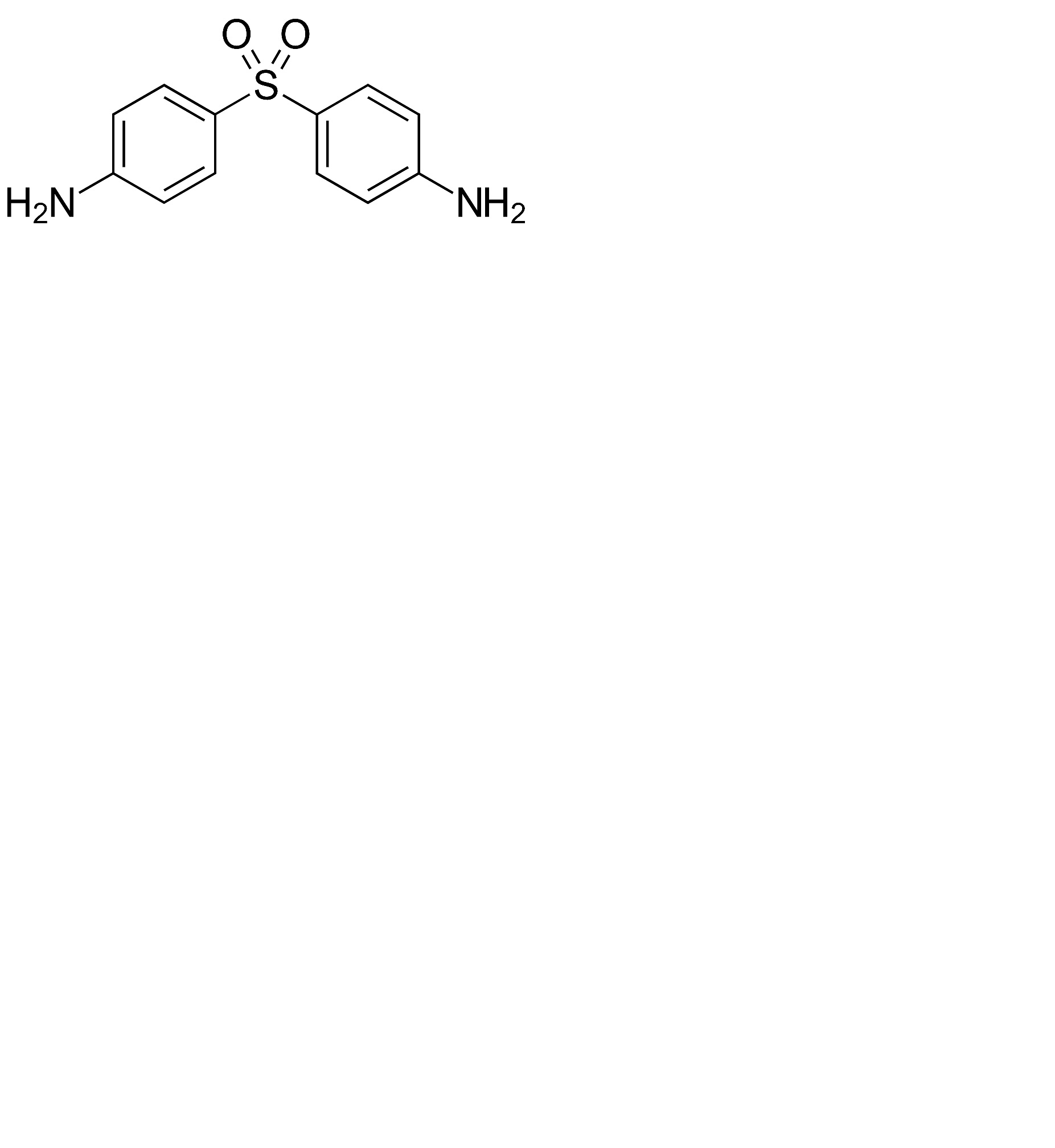
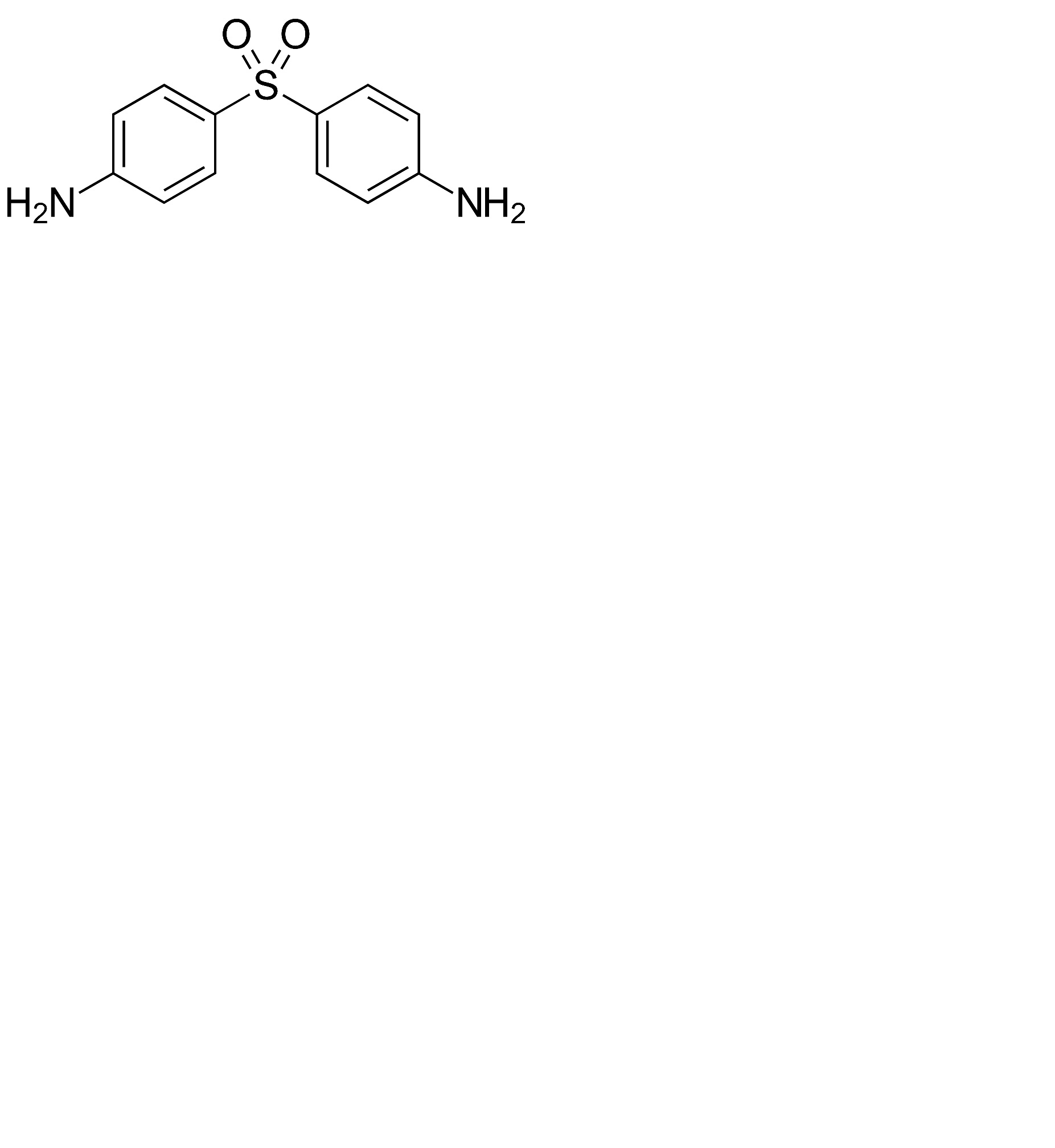
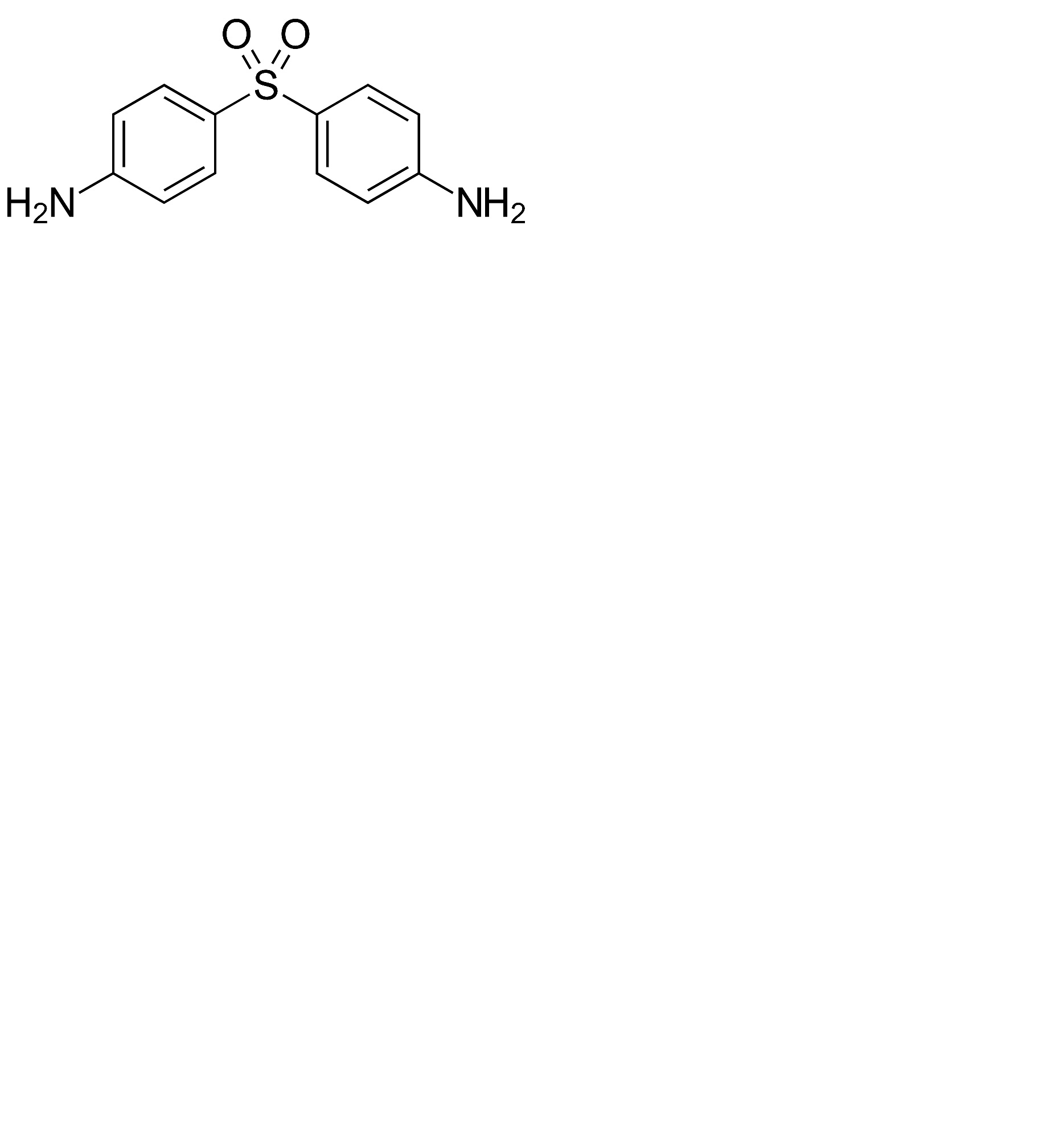
Antibiotico   Dapsone  
Unguenti
Soluzione orale
Stabilità dei preparati farmaceutici Stabilità in miscela Fattori che influenzano la stabilità Compatibilità Bibliografia pdf
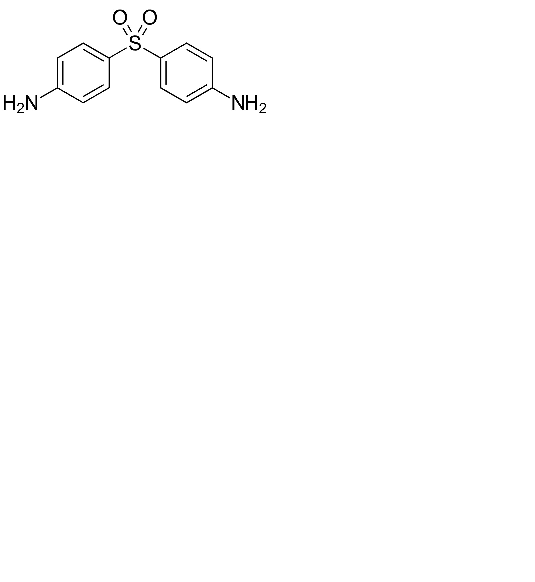
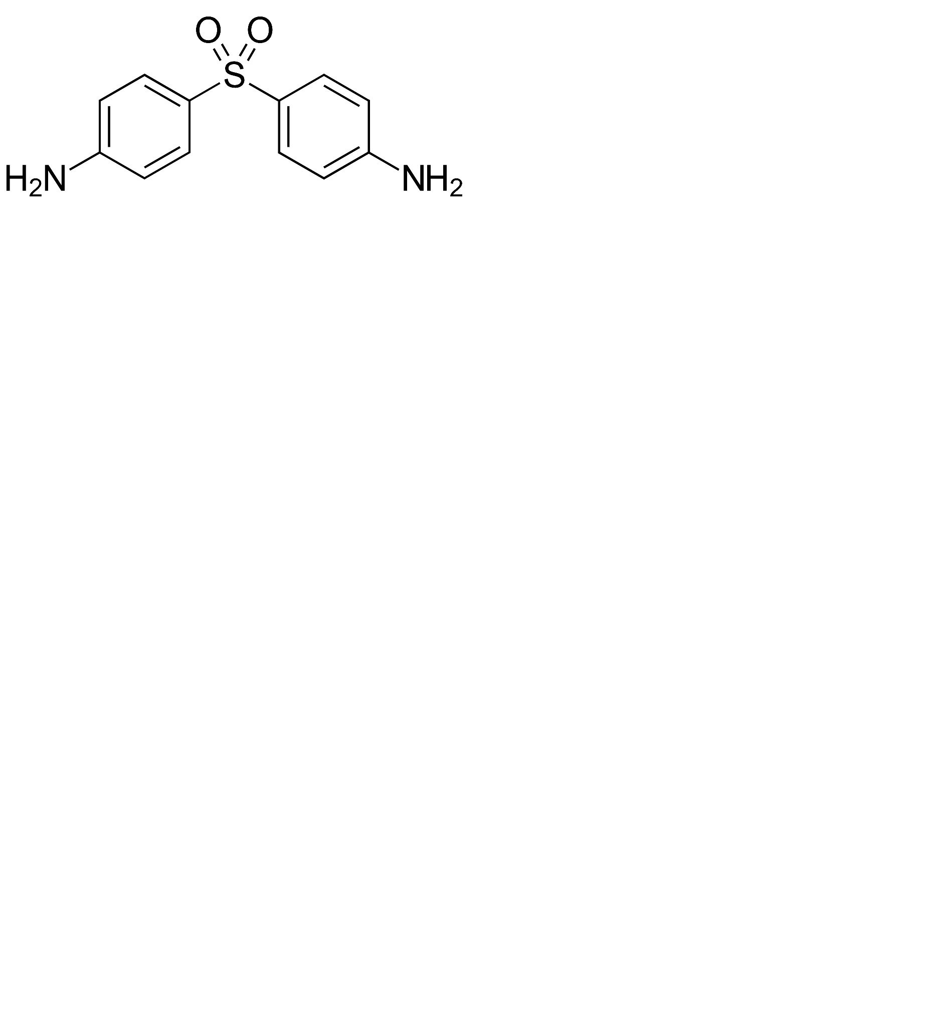
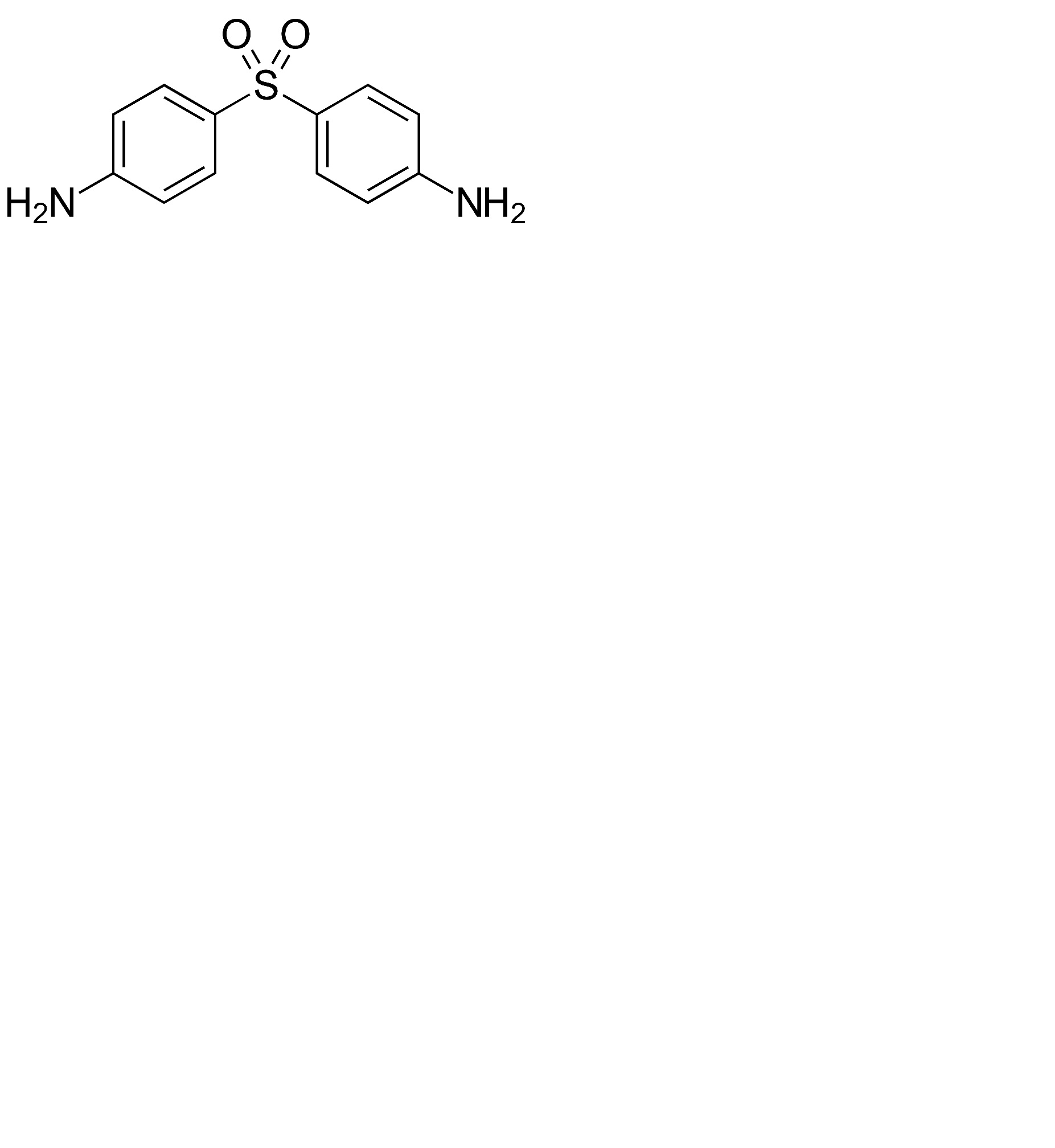
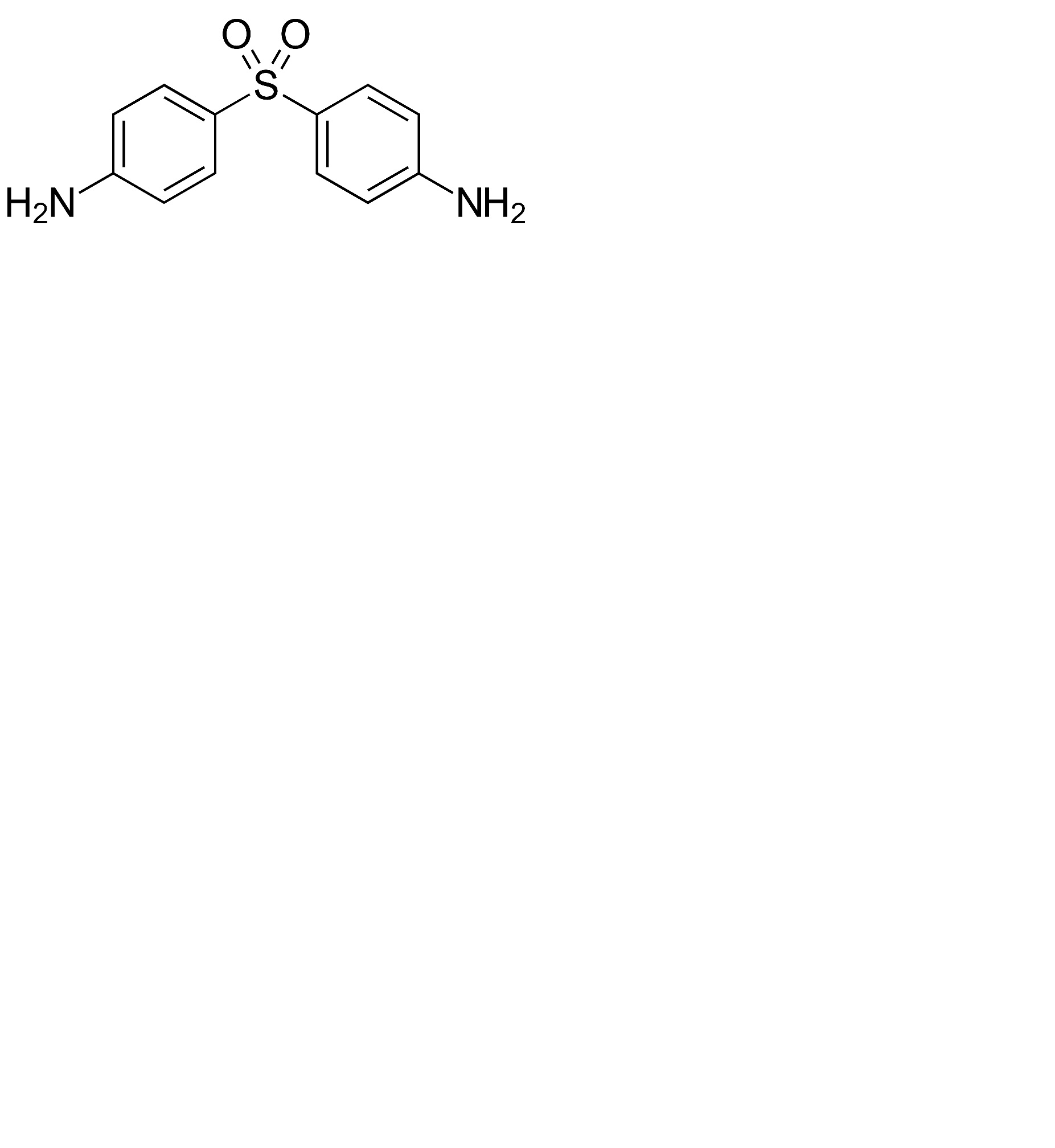
   Struttura chimica  

Unguenti
Compatibilità   Unguenti   Compatibilità : Dapsone              
Assenza di dati

  Mentions Légales