Pēdējā atjaunošana :
18/03/2026
Antibiotika   Dapsone  
Ziedes
Orāls šķīdums
Stabilitāte farmaceitisko preparātu Maisījuma stabilitāte Stabilitāti ietekmējoši faktori Saderība Literatūras saraksts pdf
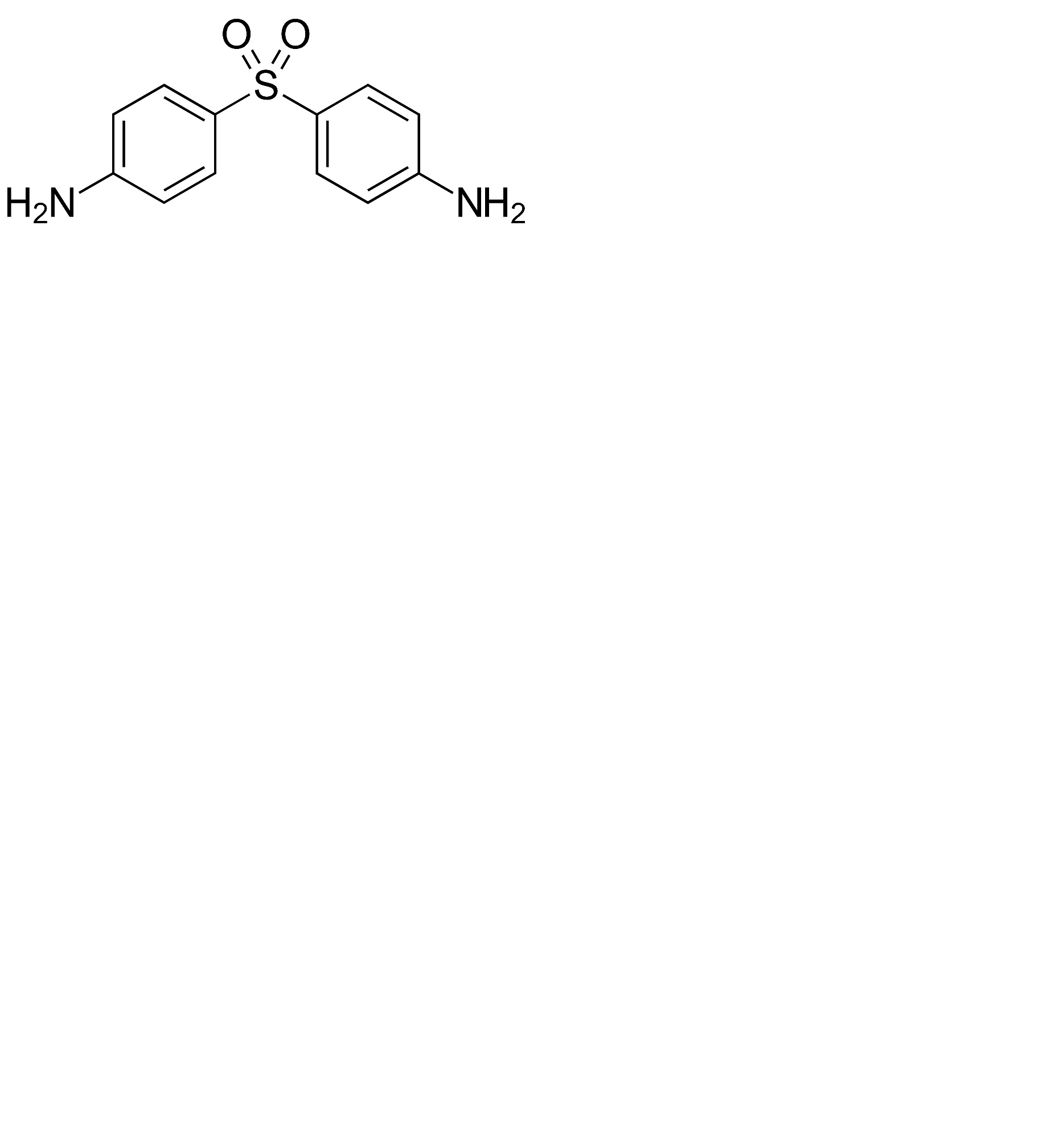
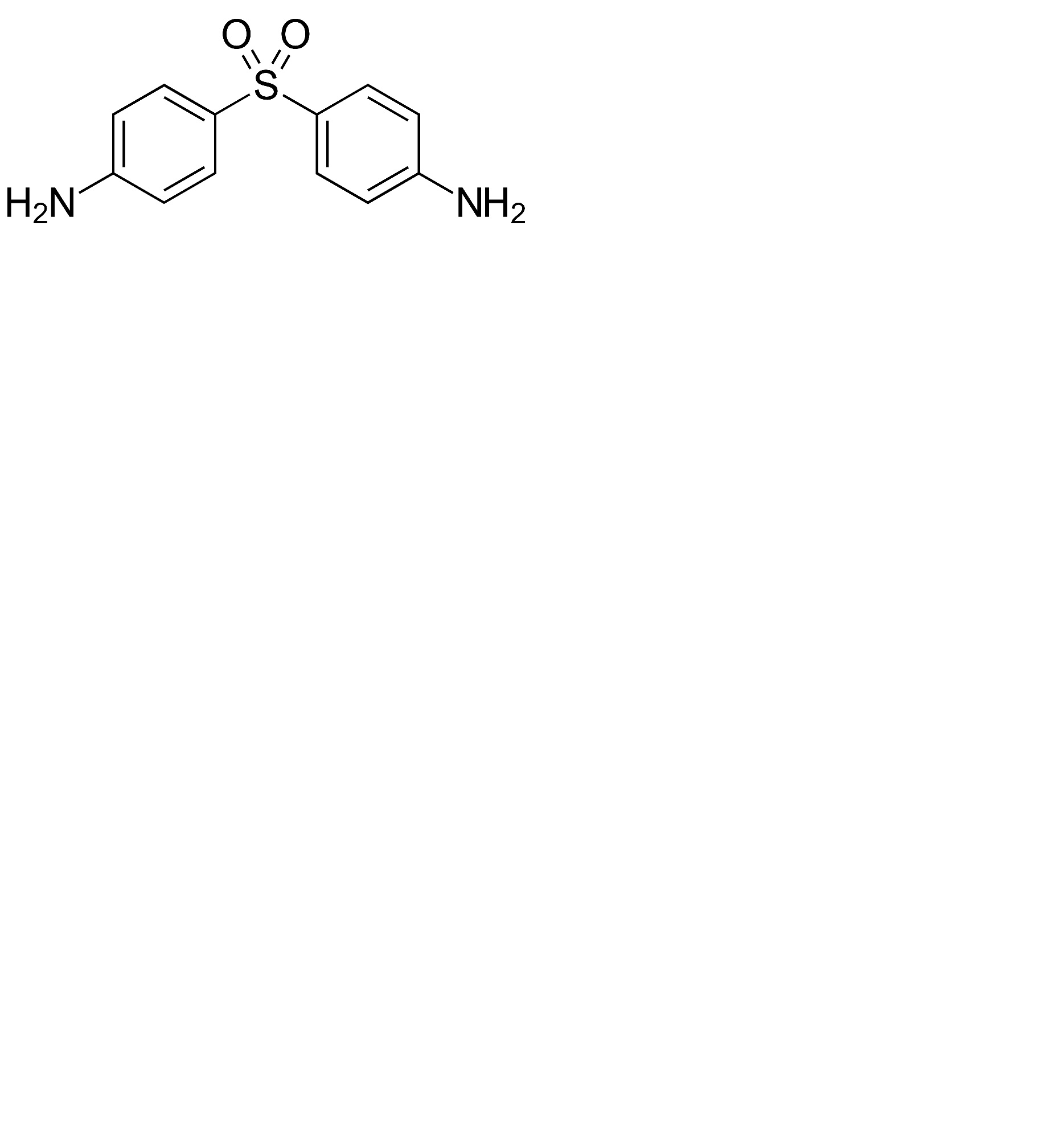
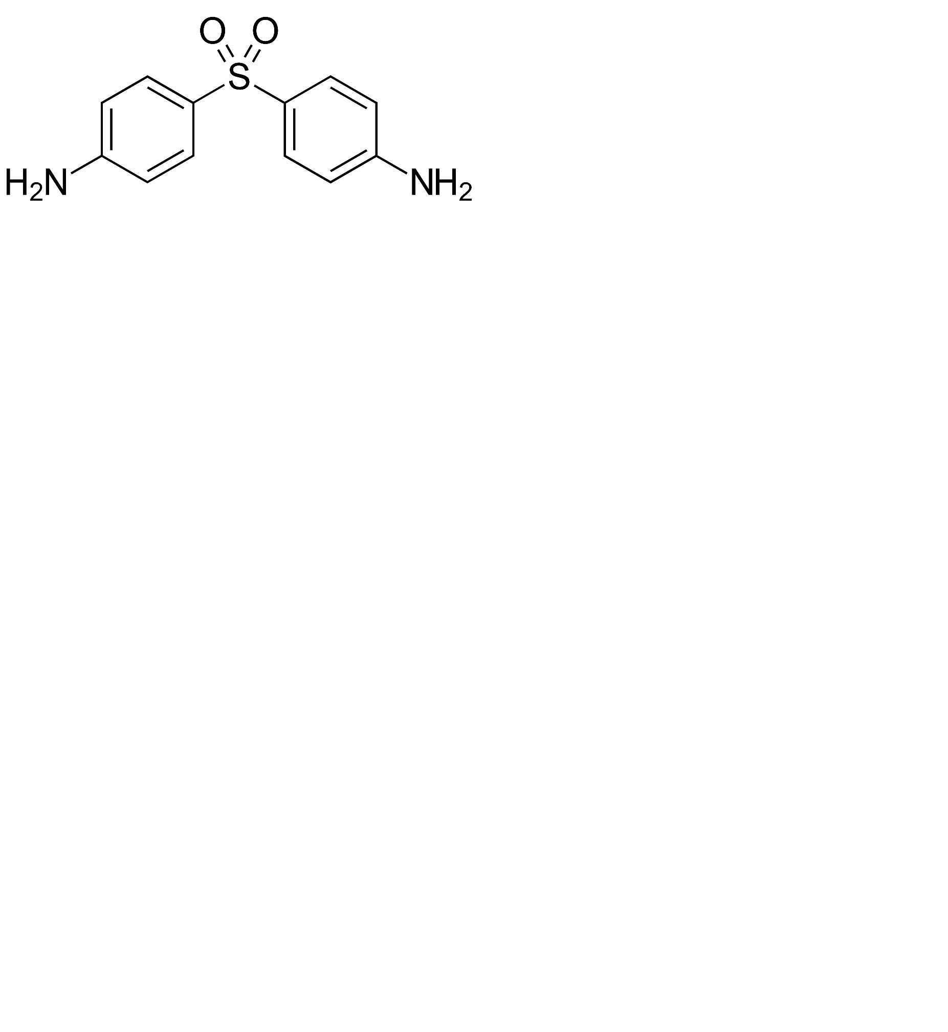
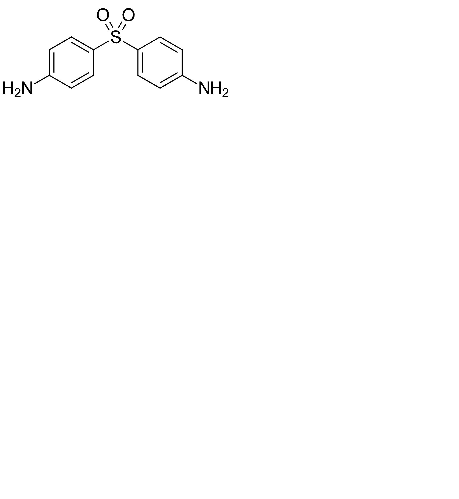
   Ķīmiskā uzbūve   

Ziedes
Saderība   Ziedes   Saderība : Dapsone              
Nav datu

  Mentions Légales