Zadnji put ažurirano :
18/03/2026
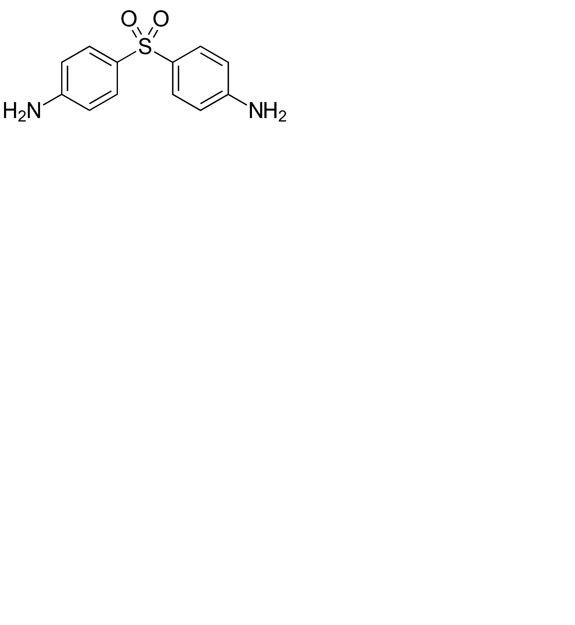
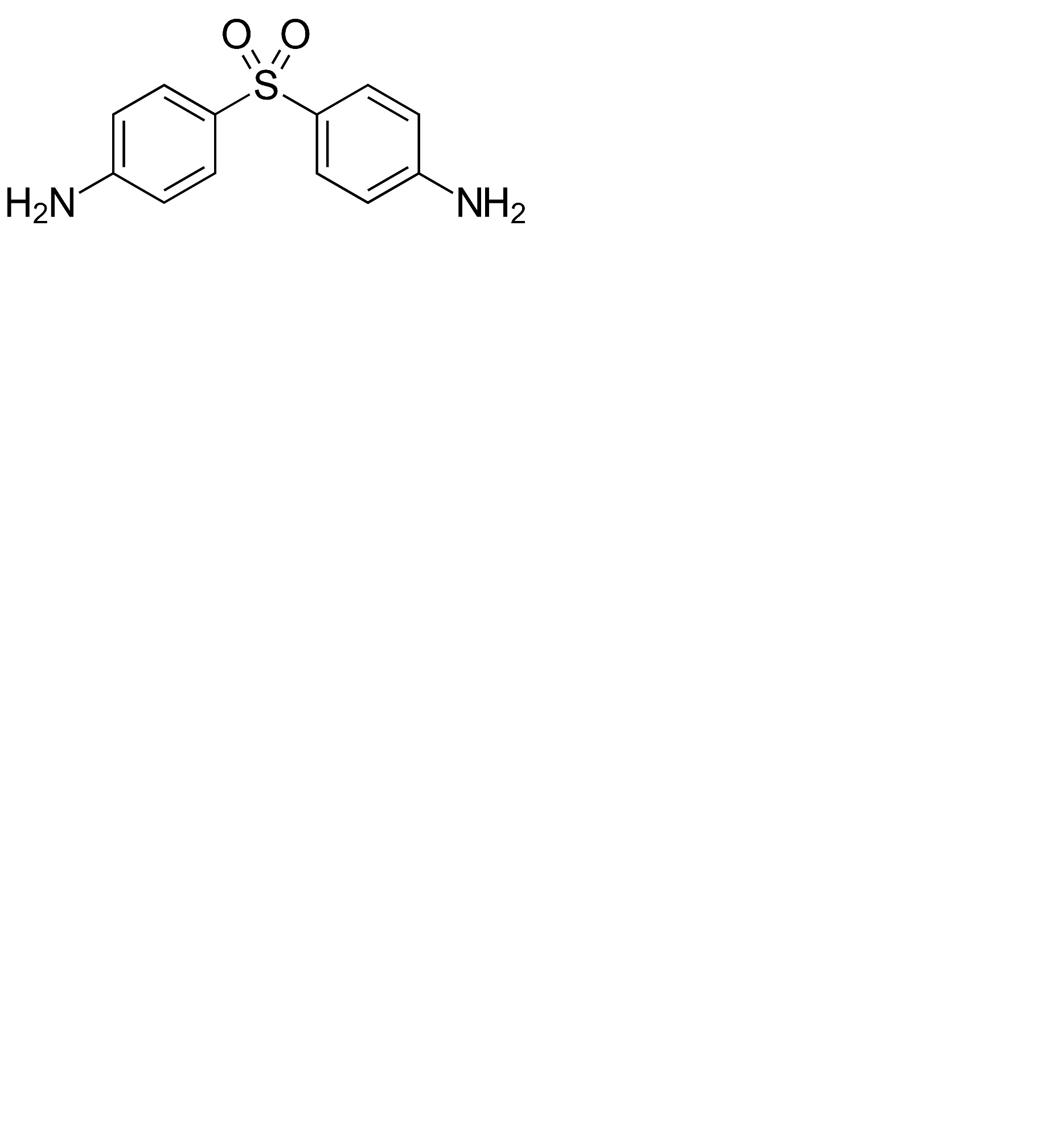
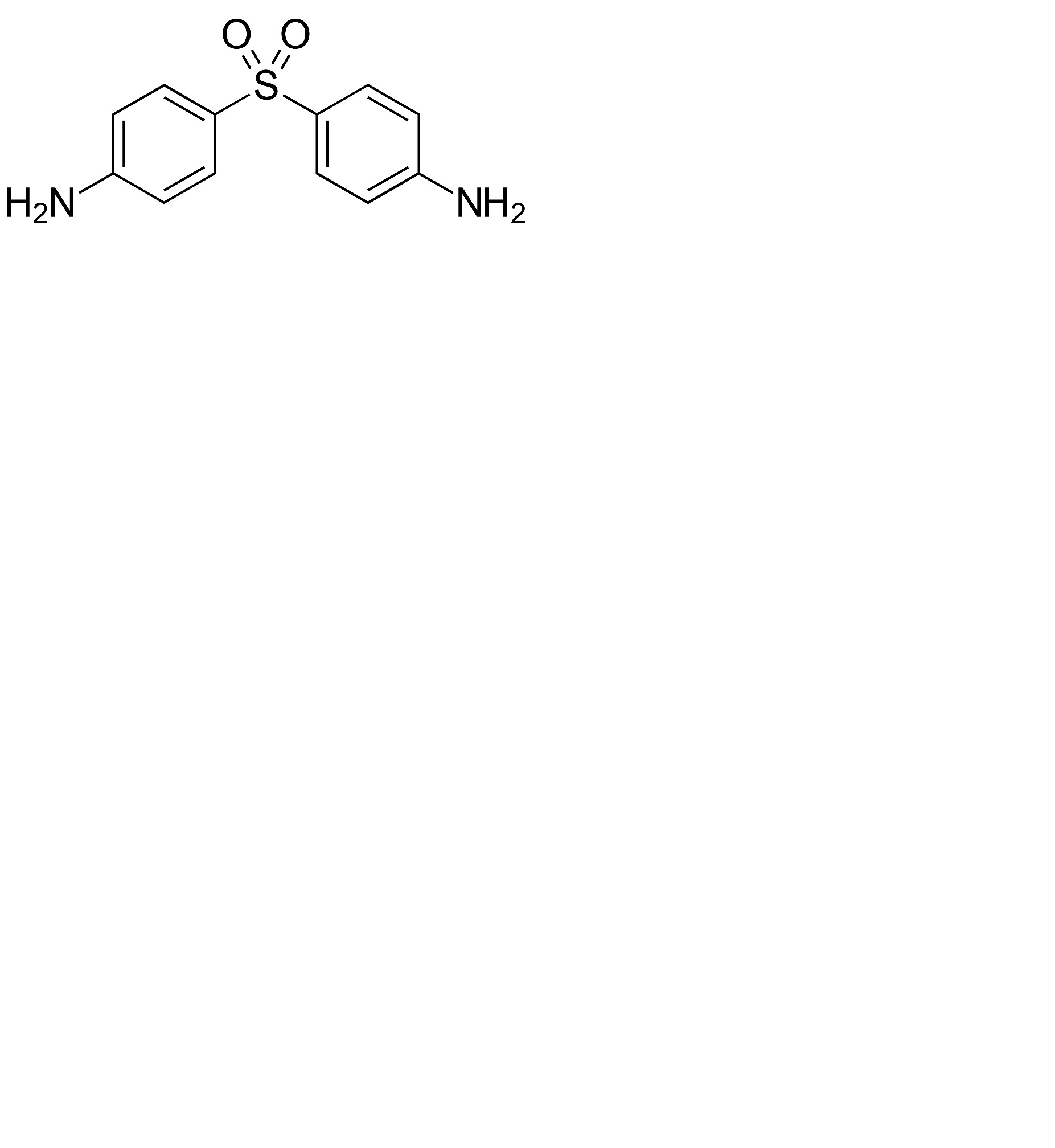
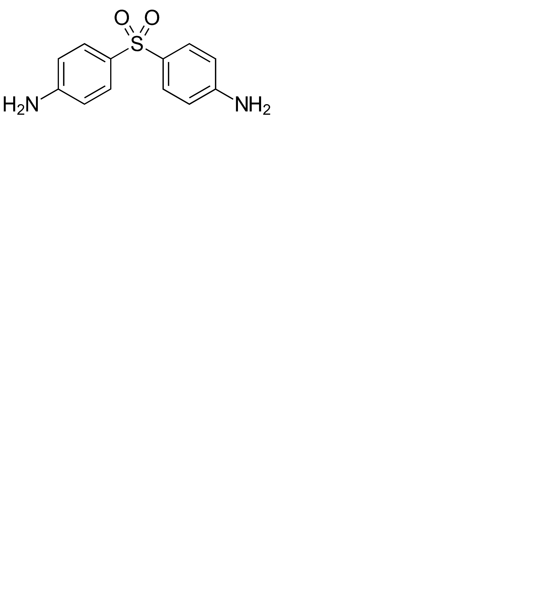
antibiotik   Dapsone  
masti
oralna otopina
Stabilnost farmaceutskih pripravaka Stabilnost mješavine Stabilizacijski faktor Kompatibilnosti Bibliografija pdf
   Kemijska struktura  

masti
Kompatibilnosti   masti   Kompatibilnosti : Dapsone              
bez podataka

  Mentions Légales