Posledná aktualizácia :
18/03/2026
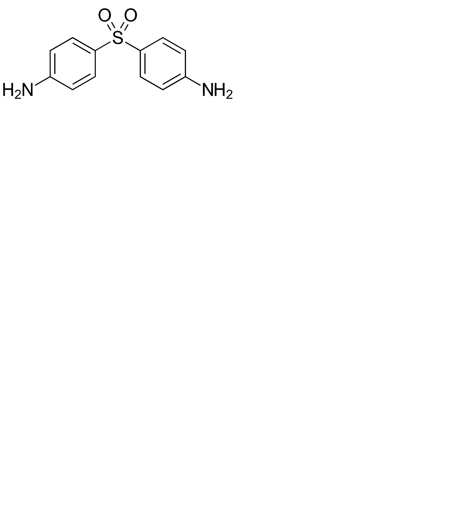
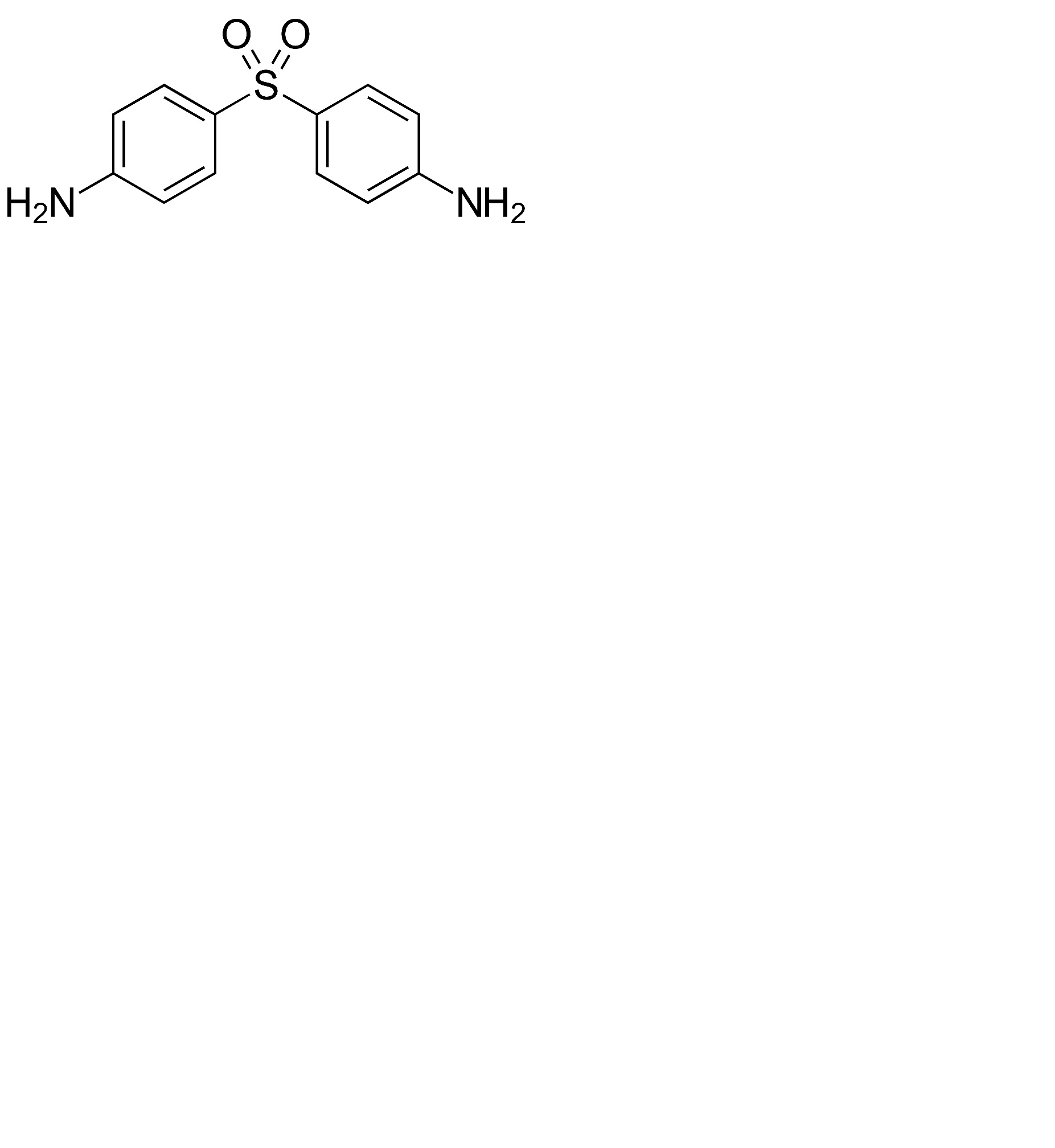
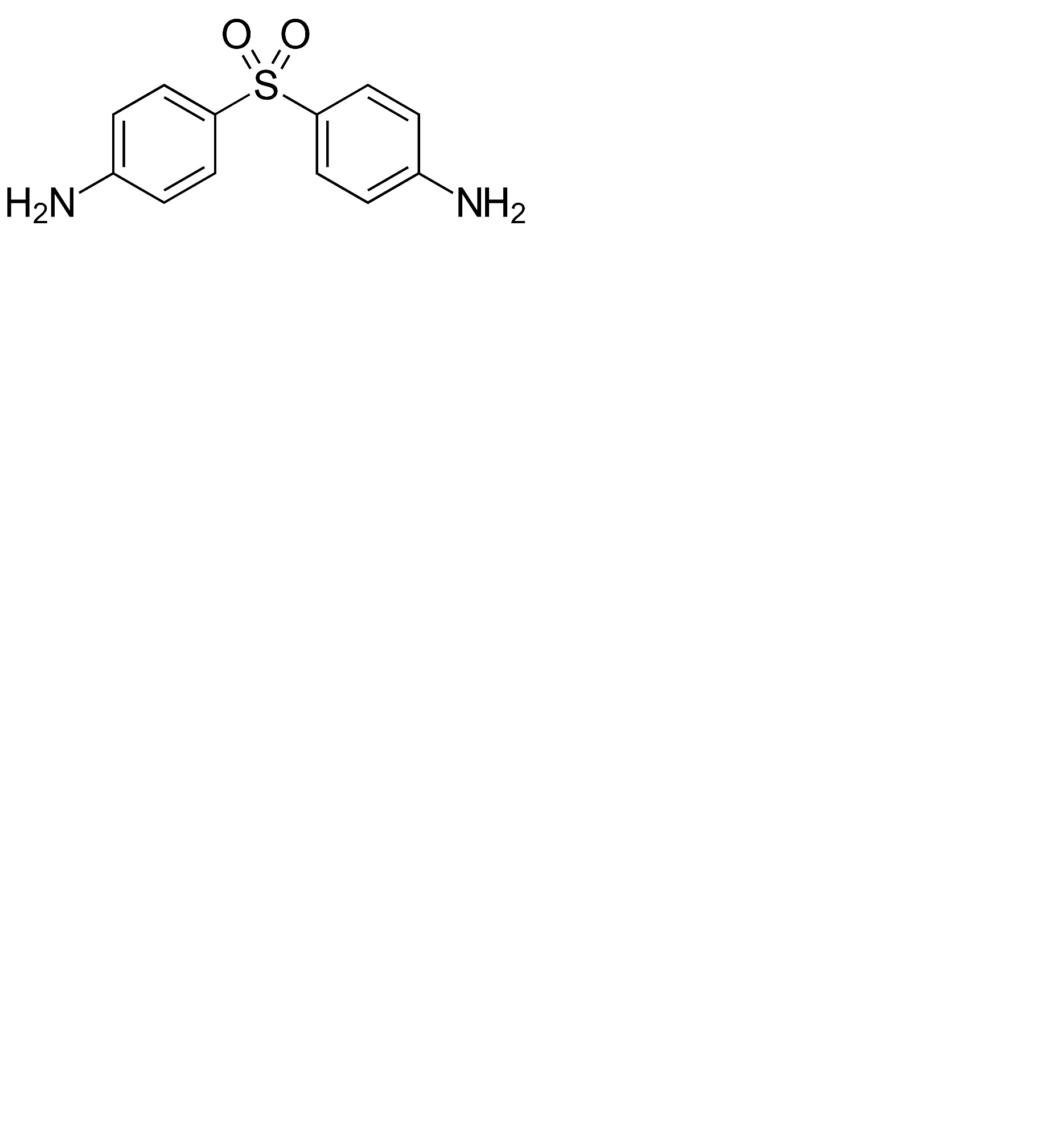
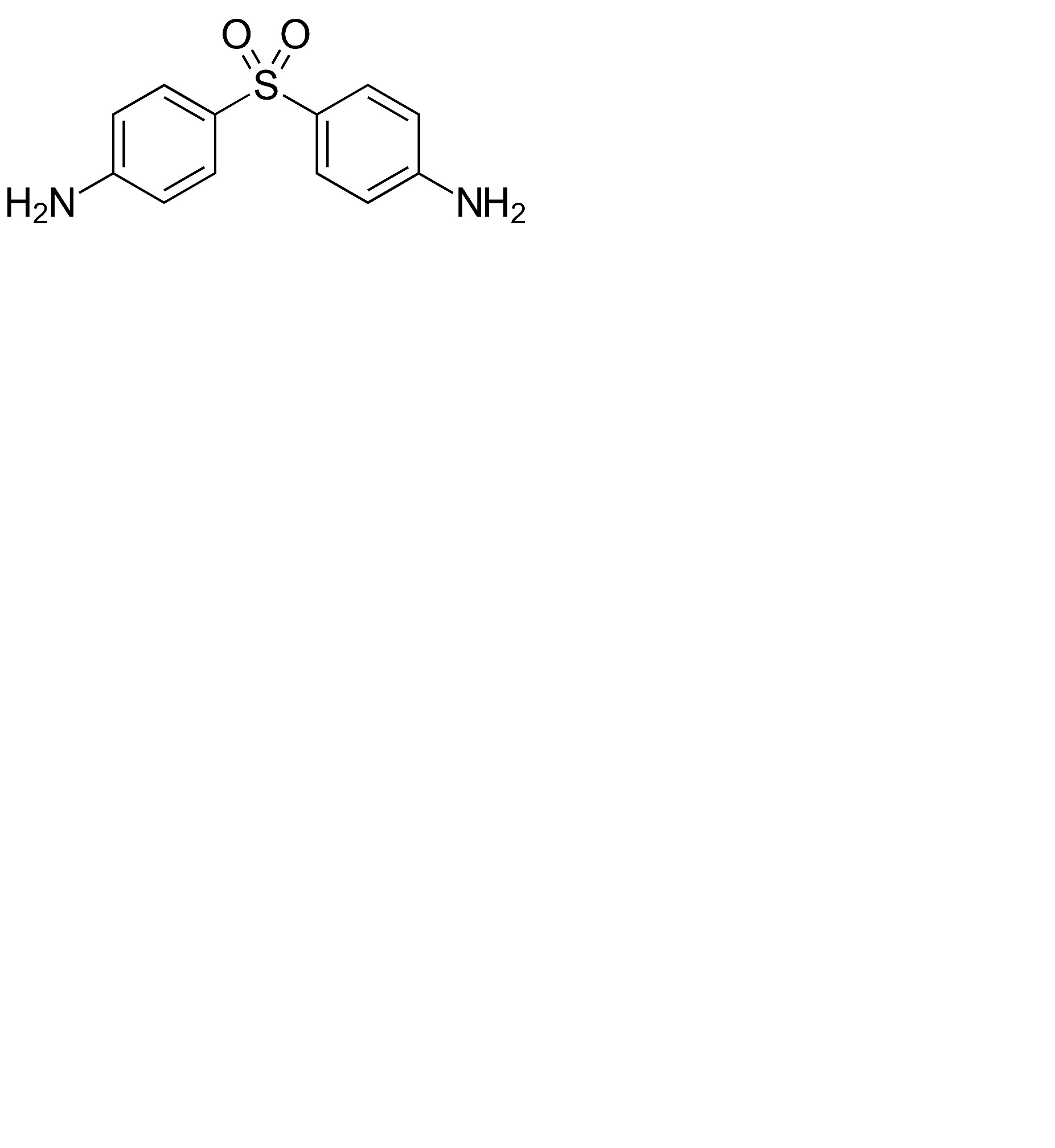
antibiotikum   Dapsone  
Dermálny prípravok
Perorálny roztok
Stabilita farmaceutických prípravkov Stabilita v zmesiach Faktory ovplyvňujúce stabilitu Kompatibility Odkazy na literatúru PDF
   Chemický vzorec  

Dermálny prípravok
Kompatibility   Dermálny prípravok   Kompatibility : Dapsone              
žiadne údaje

  Mentions Légales