Poslední aktualizace :
18/03/2026
Antibiotikas   Dapsone  
Tepalai
Geriamas tirpalas
Stabilumas farmacinių preparatų Mišinių stabilumas Stabilumą lemiantys veiksniai Suderinamumas Bibliografija pdf
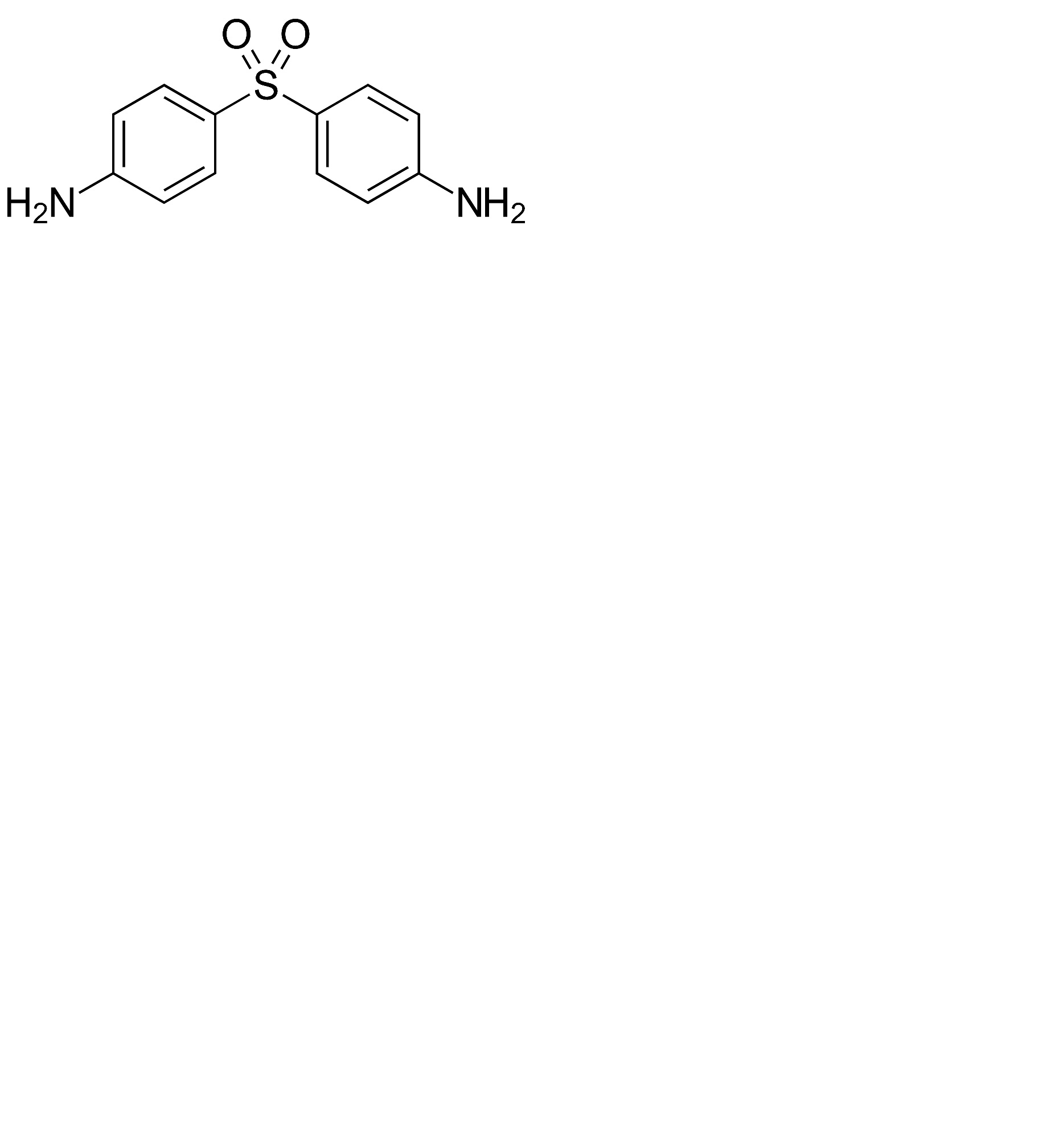
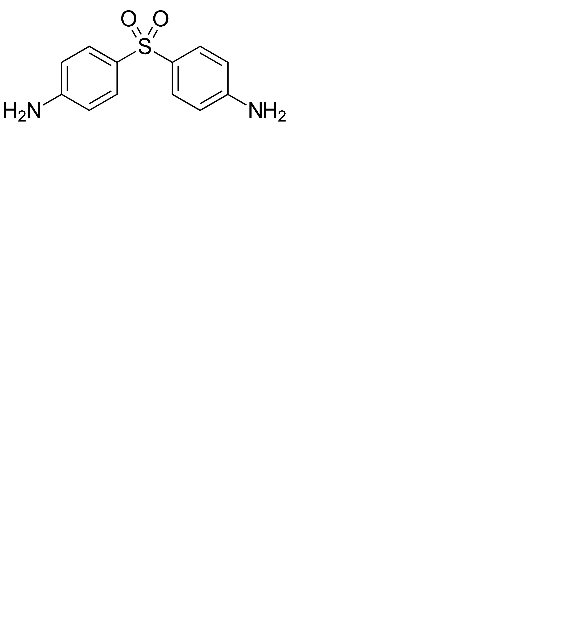
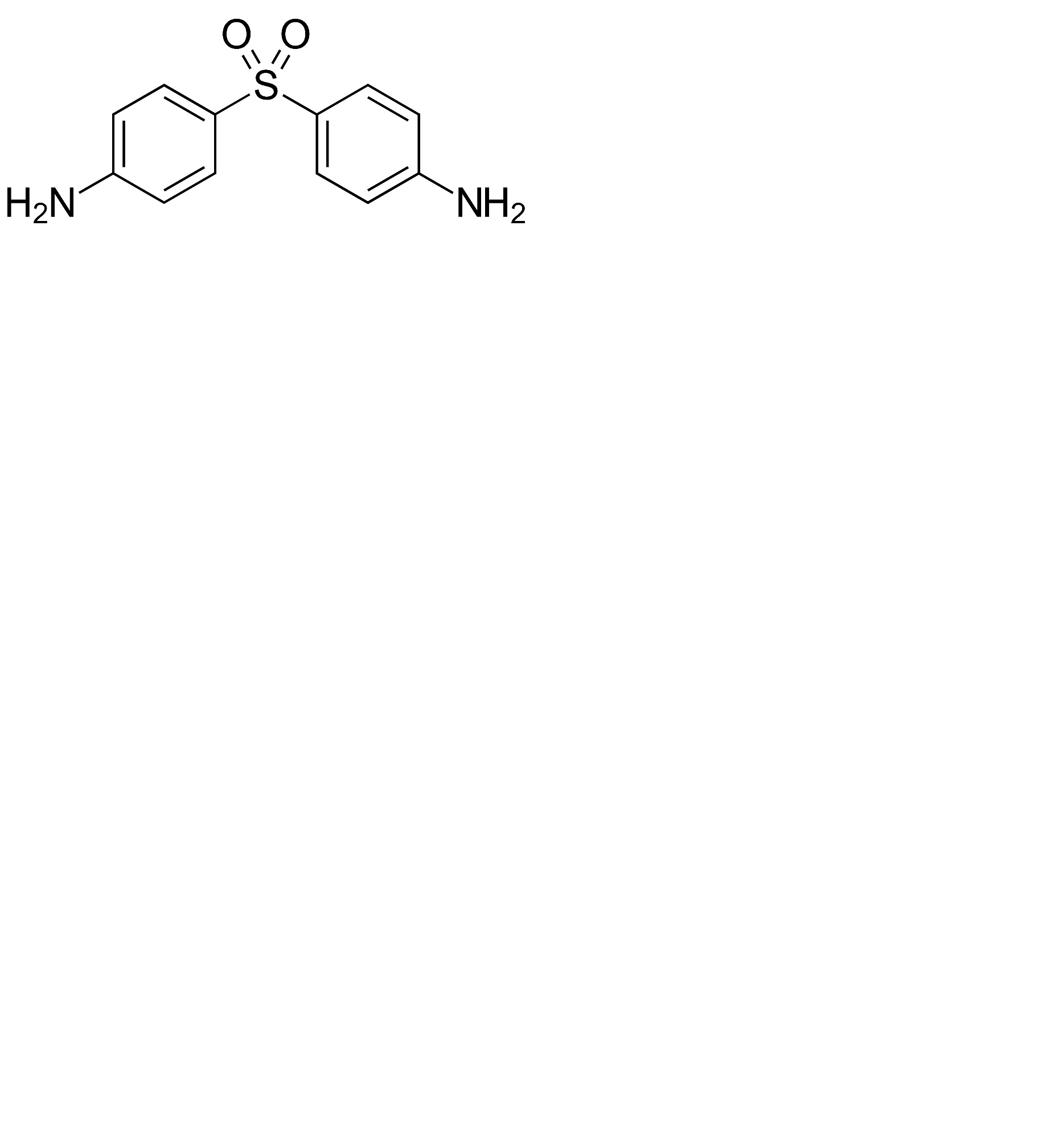
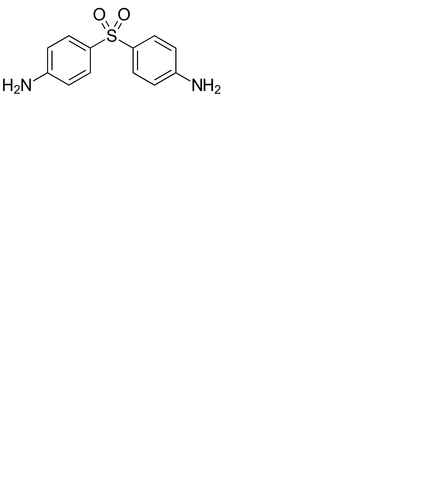
   Cheminė sandara  

Tepalai
Suderinamumas   Tepalai   Suderinamumas : Dapsone              
Nėra duomenų

  Mentions Légales