viimane versioon :
18/03/2026
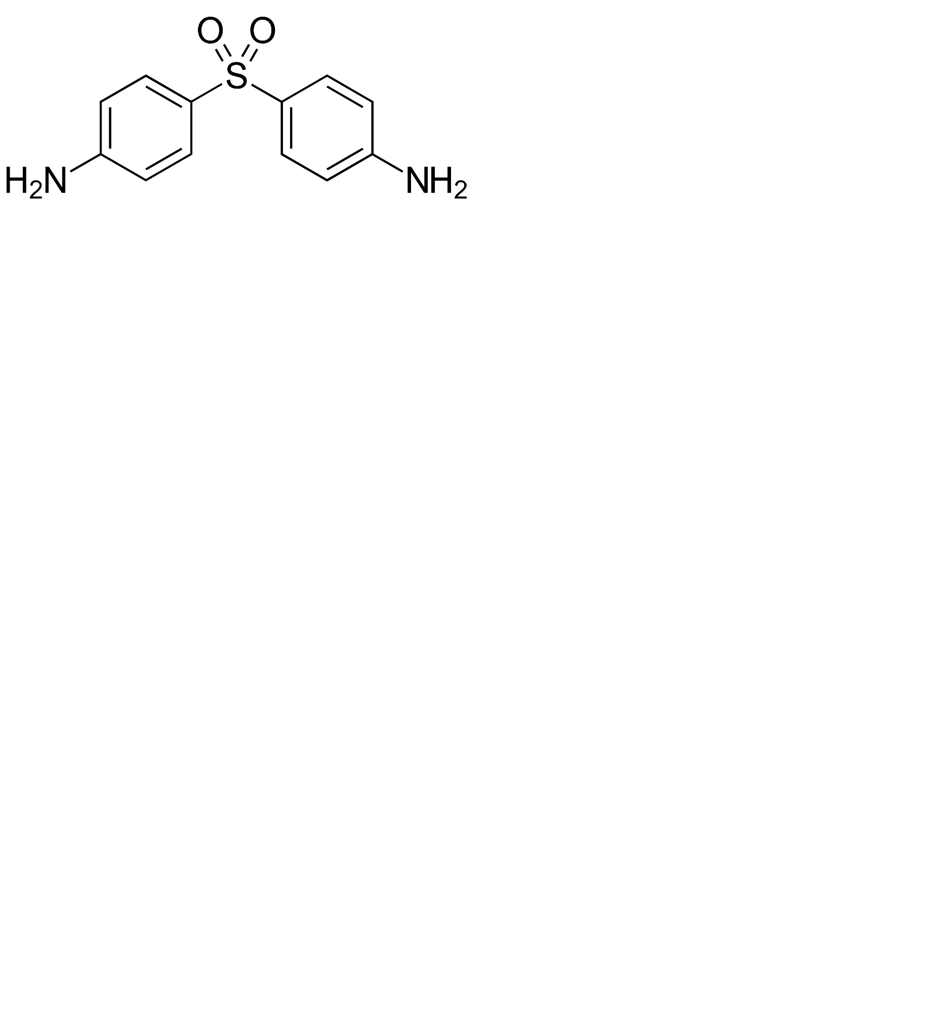
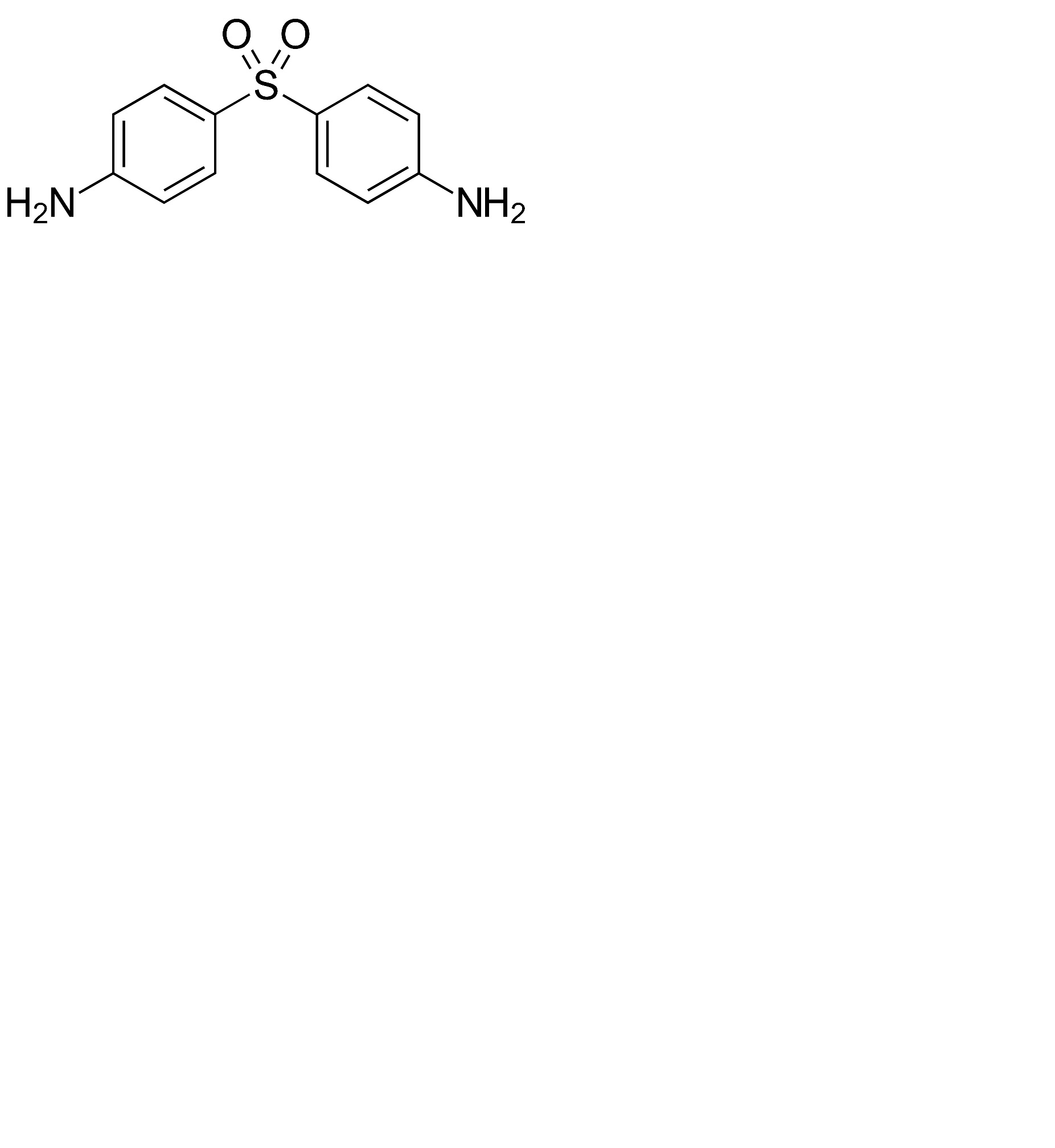
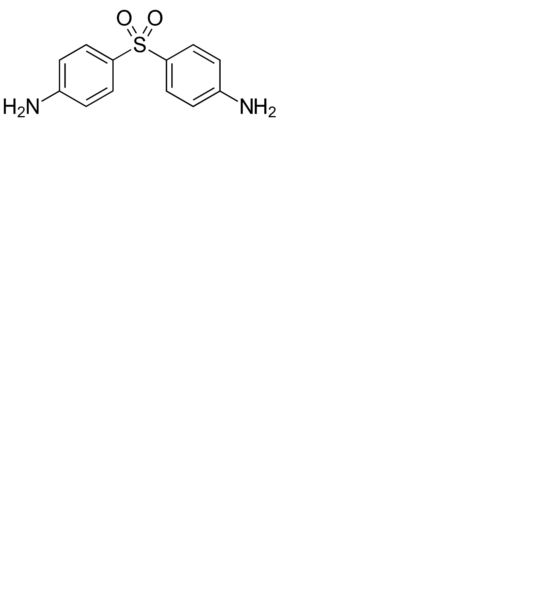
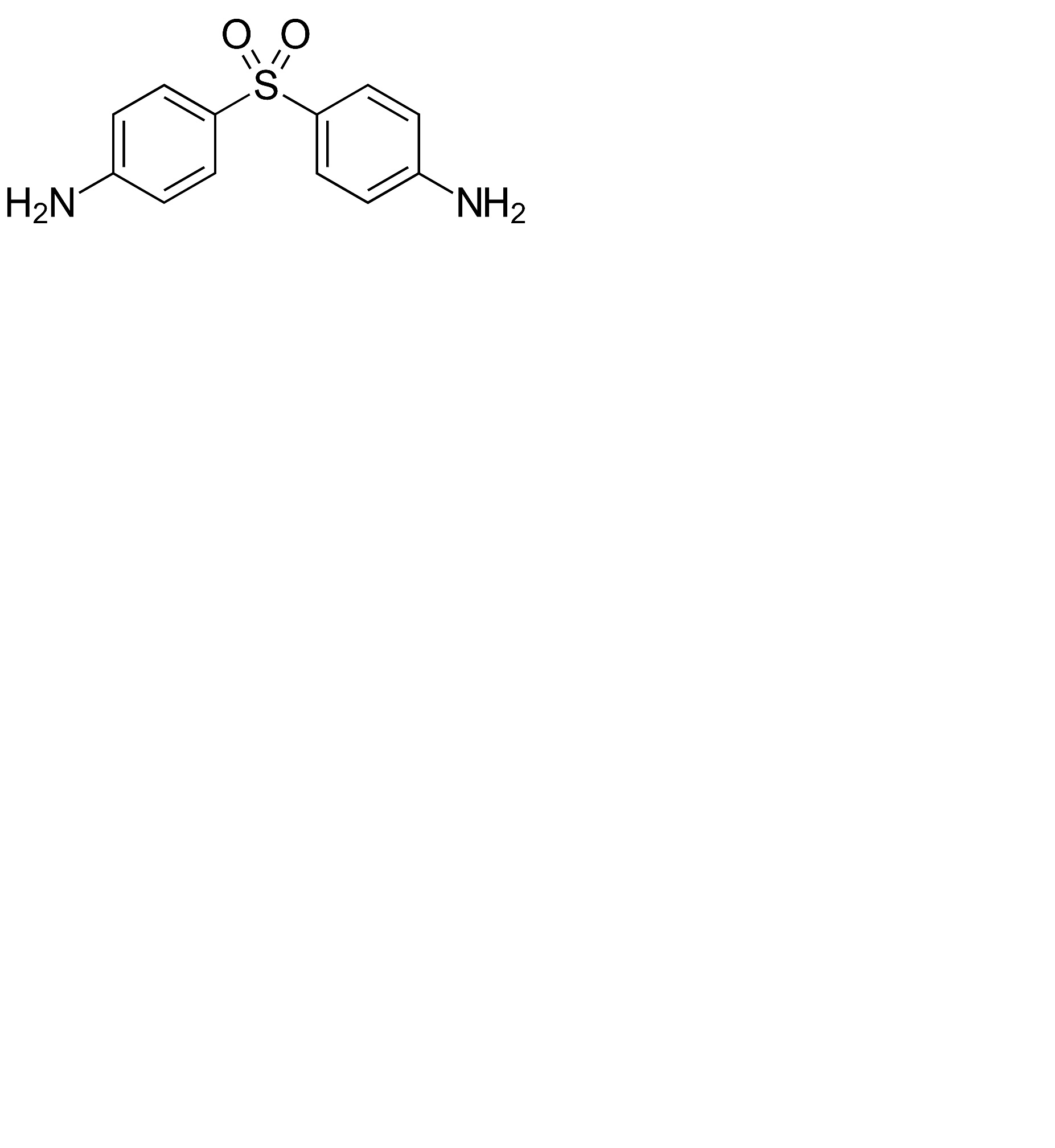
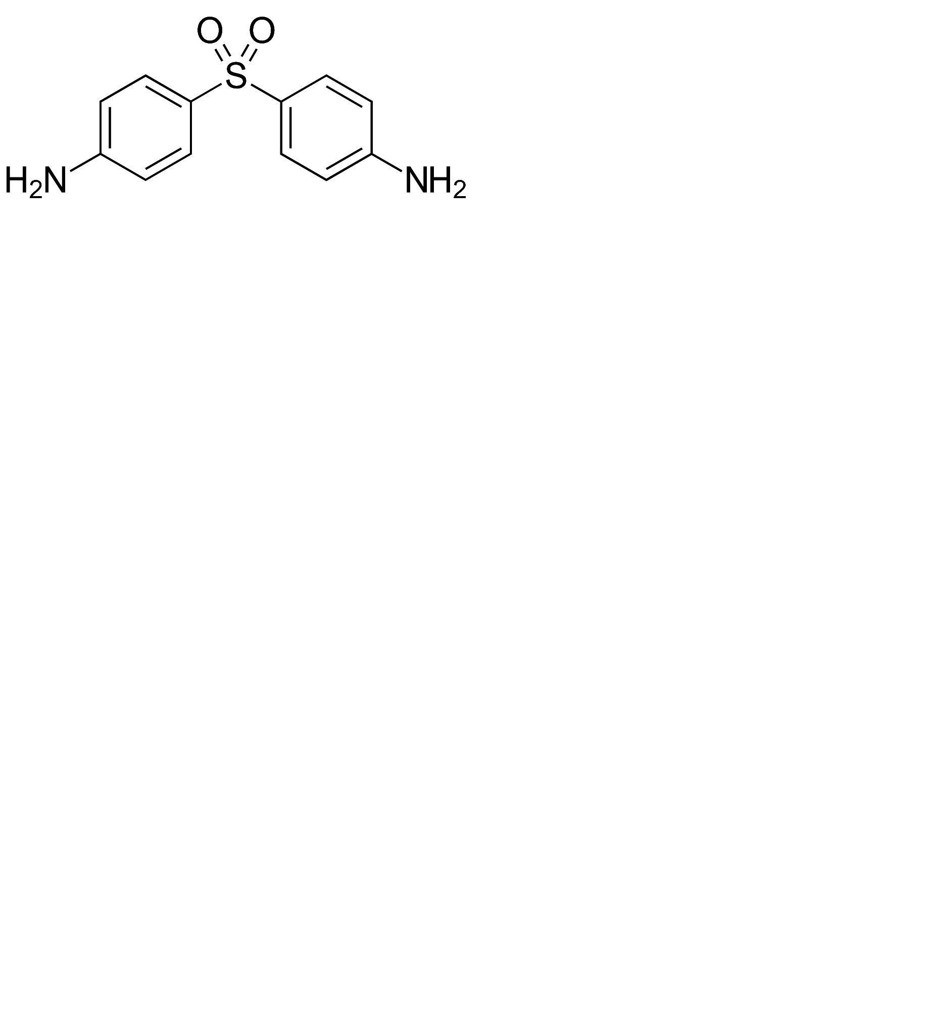
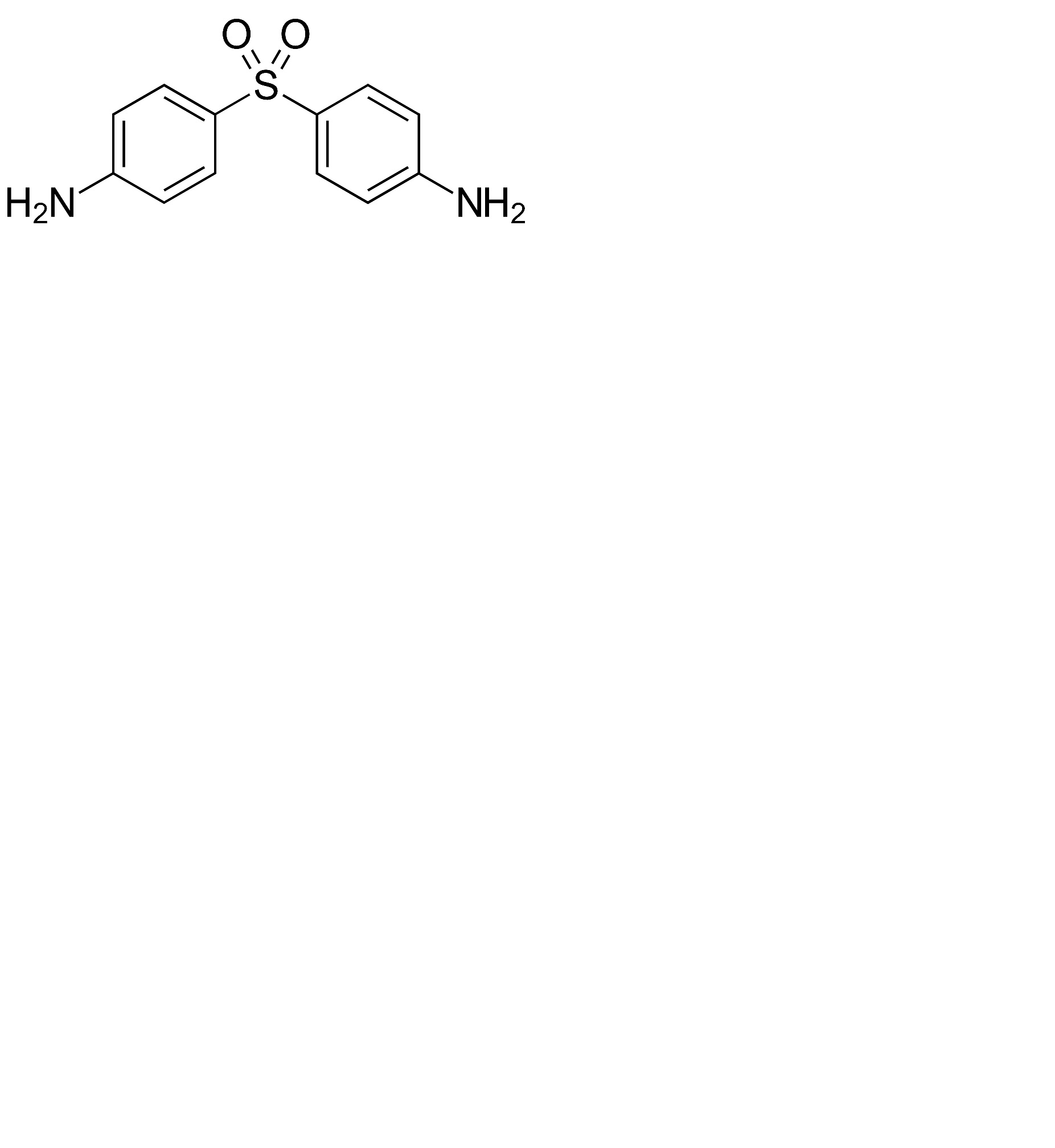
antibiootikum   Dapsone  
salv
suukaudne lahus
Stabiilsust ravimpreparaadid Stabiilsust mõjutavad tegurid stabiilsust mõjutavad faktorid Sobimatus Viited pdf
   keemiline struktuur  

salv
Sobimatus   salv   Sobimatus : Dapsone              
andmed puuduvad

  Mentions Légales