Poslední aktualizace :
18/03/2026
Antibiotikum   Dapsone  
Masti
Perorální roztok
Stabilita farmaceutických přípravků Stabilita směsí Faktory ovlivňující stabilitu Kompatibilita Odkazy pdf
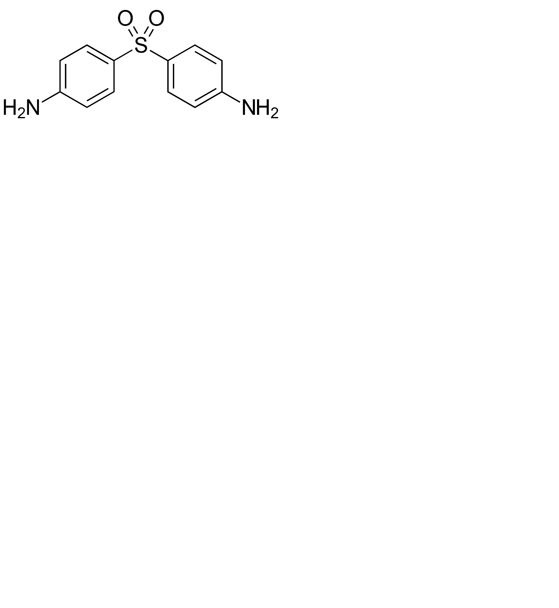
   Chemický vzorec  

Masti
Kompatibilita   Masti   Kompatibilita : Dapsone              
žádná data

  Mentions Légales