Останнє оновлення :
18/03/2026
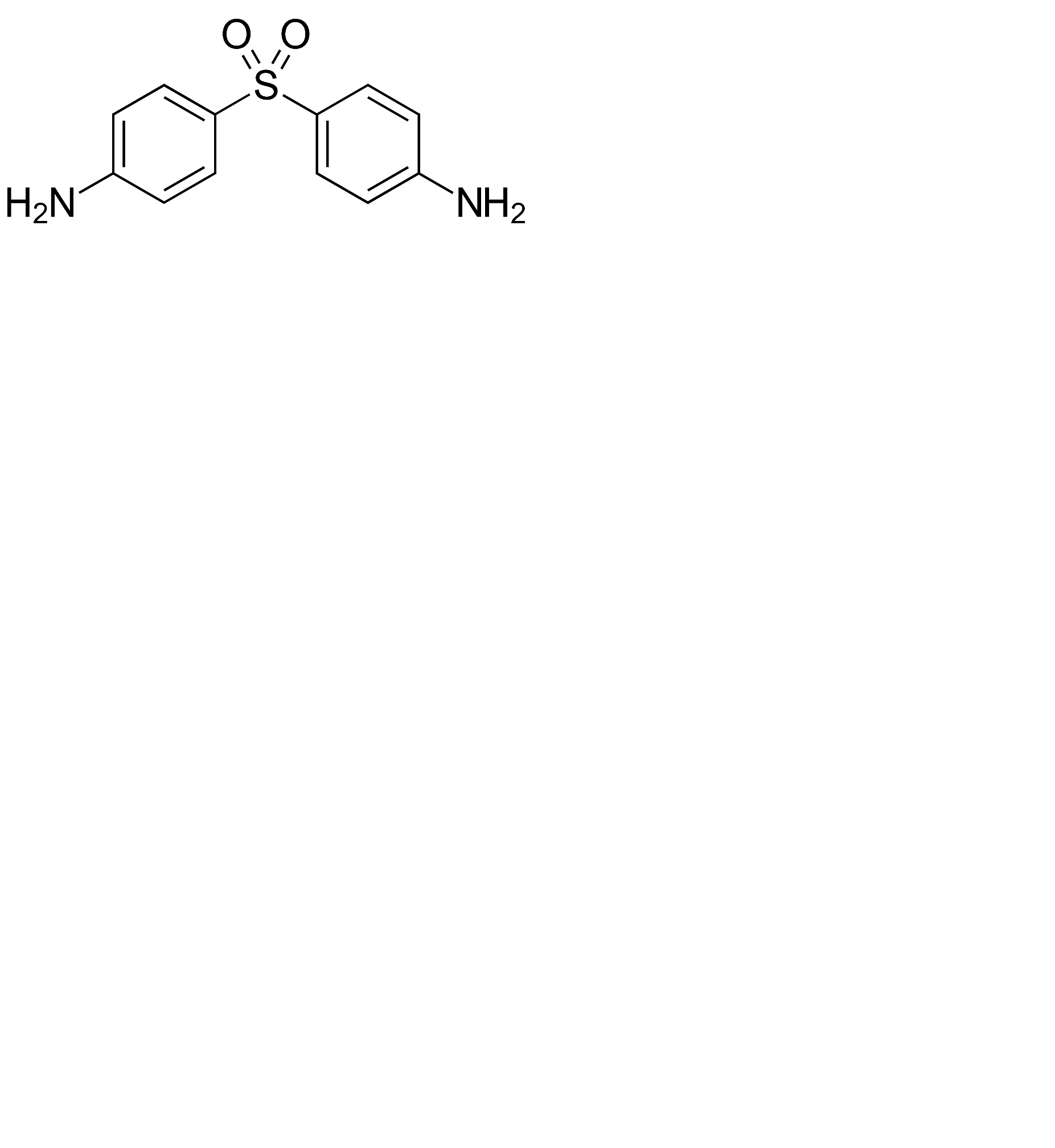
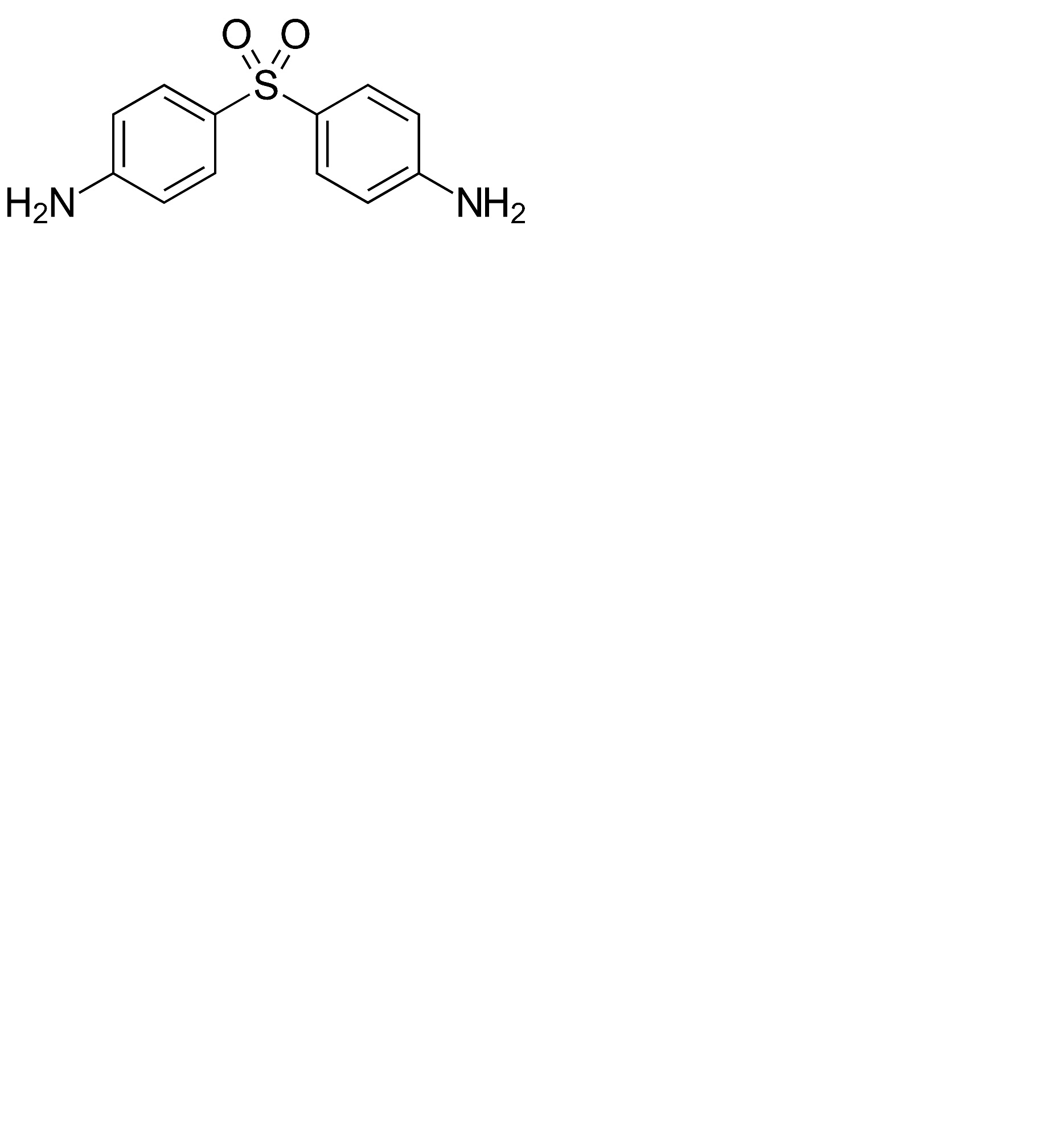
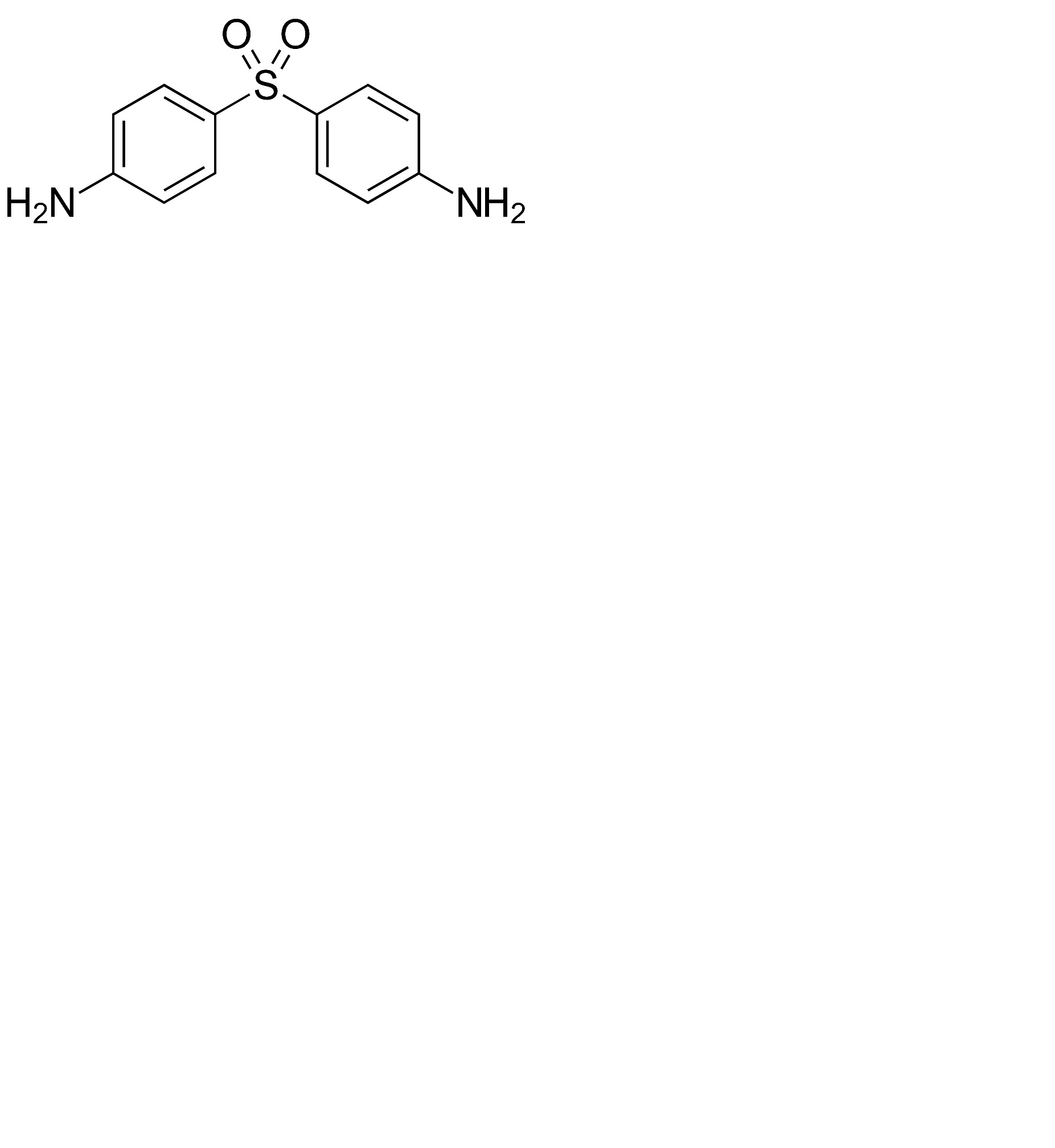
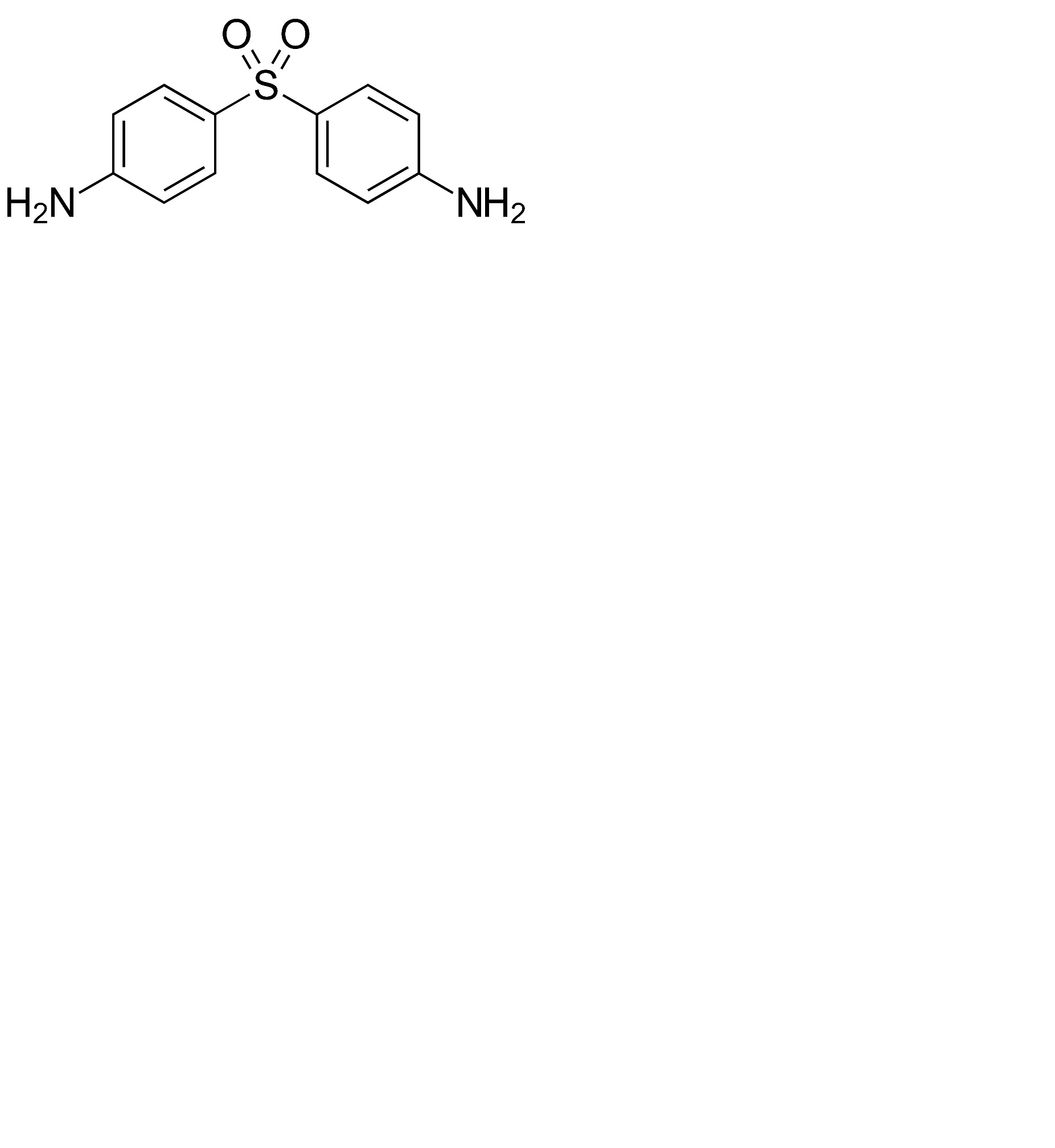
Антибіотик   Dapsone  
Мазі
Розчин для перорального застосування
Стабільність фармацевтичних препаратів Стійкість сумішей Фактори, що впливають на стабільність Сумісність Список літератури pdf
   Хімічна структура  

Мазі
Сумісність   Мазі   Сумісність : Dapsone              
7 / 5 000 Résultats de traduction Немає даних

  Mentions Légales