zadnja posodobitev :
18/03/2026
Antibiotik   Dapsone  
Mazila
Peroralna raztopina
Stabilnost farmacevtskih preparatov Stabilnost mešanice Faktorji, ki vplivajo na stabilnost Kompatibilnost Viri pdf
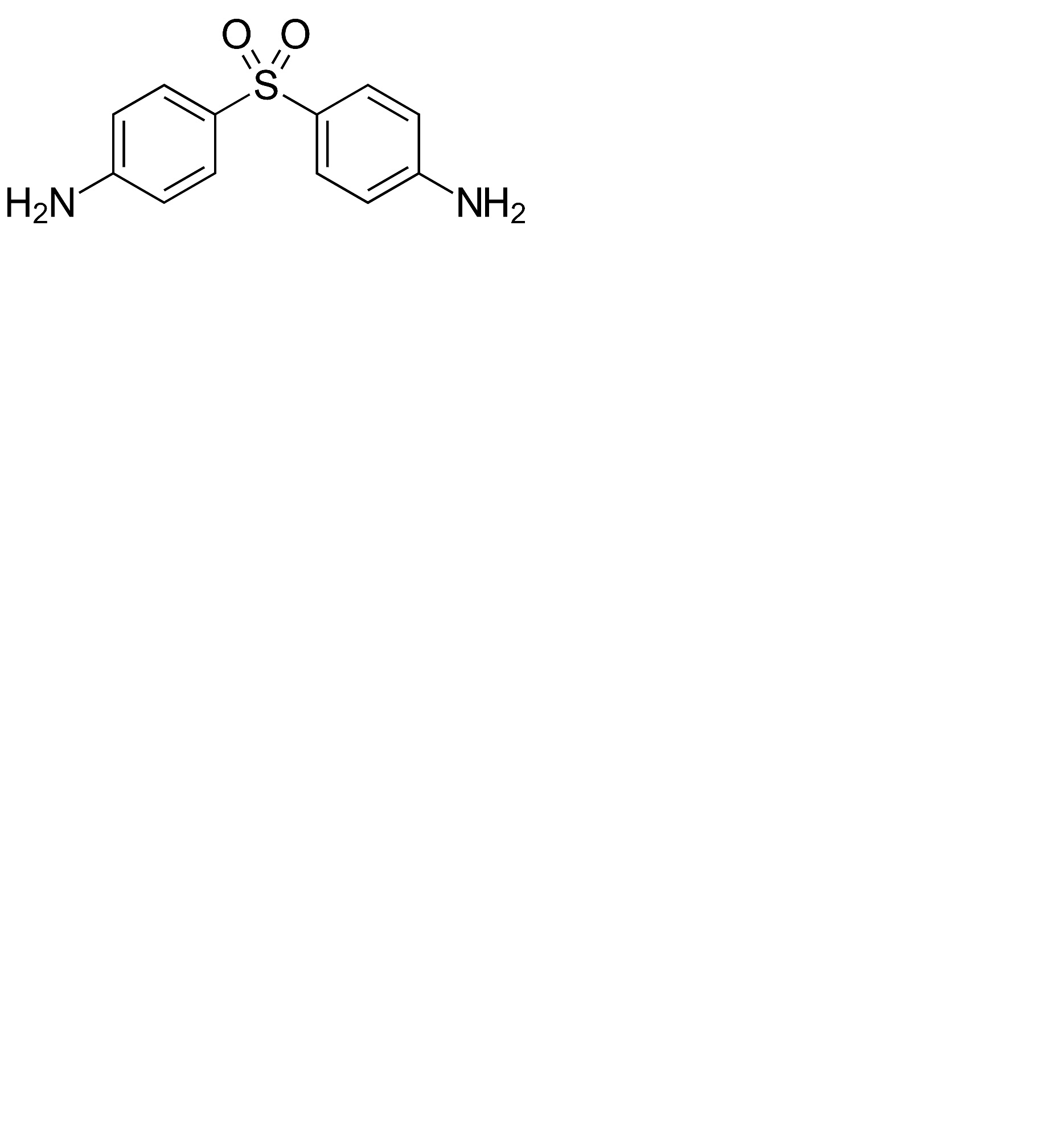
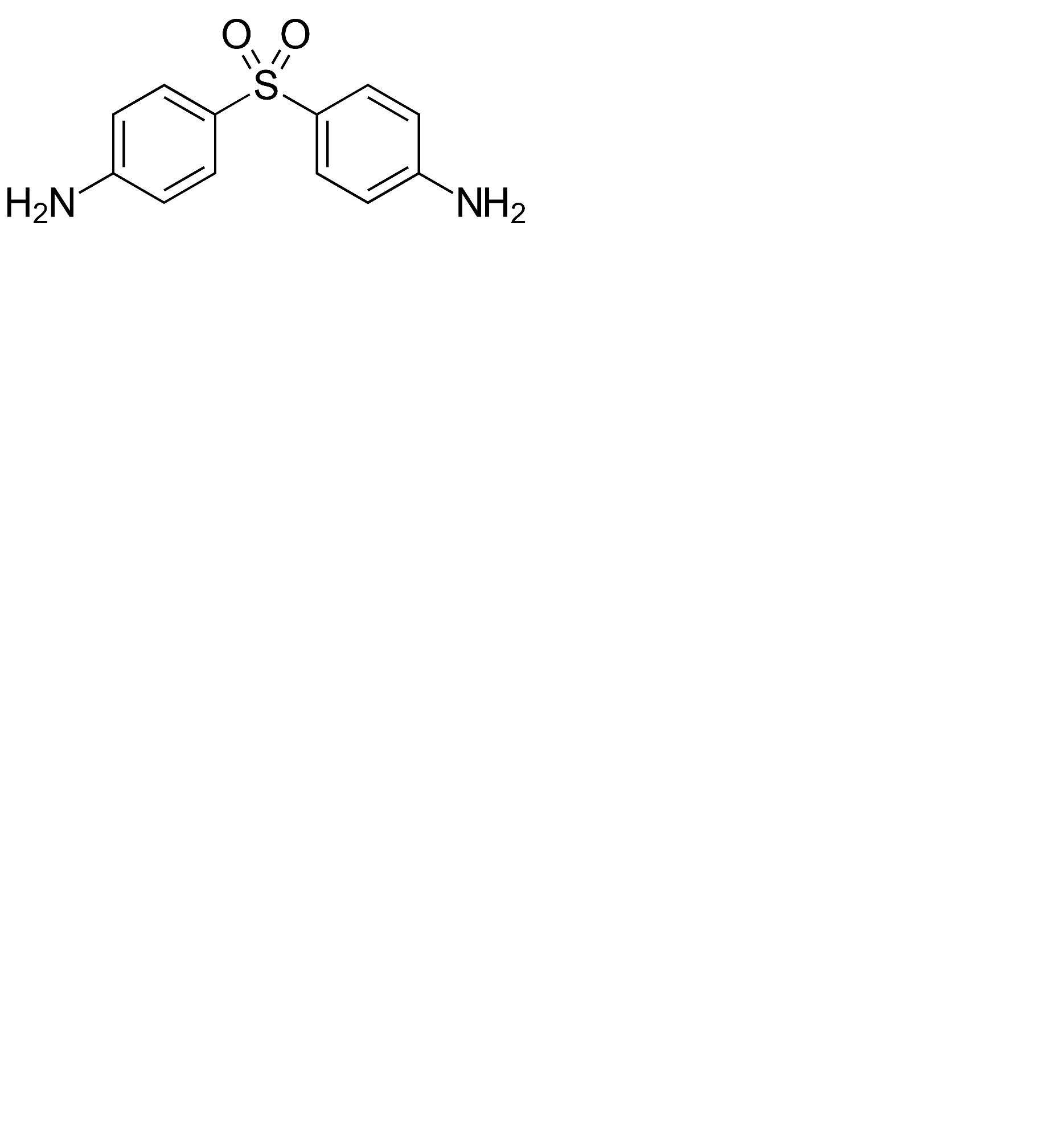
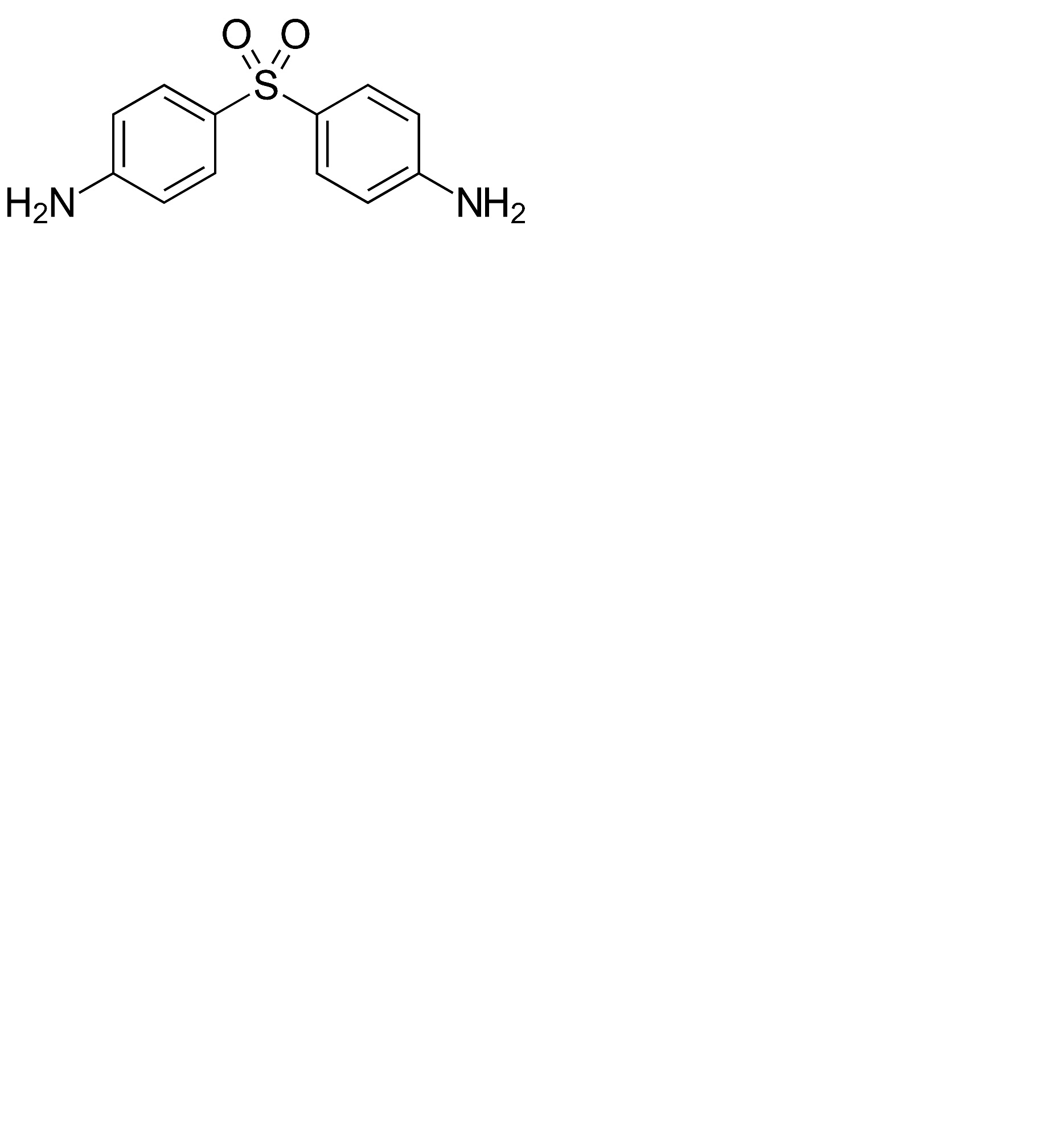
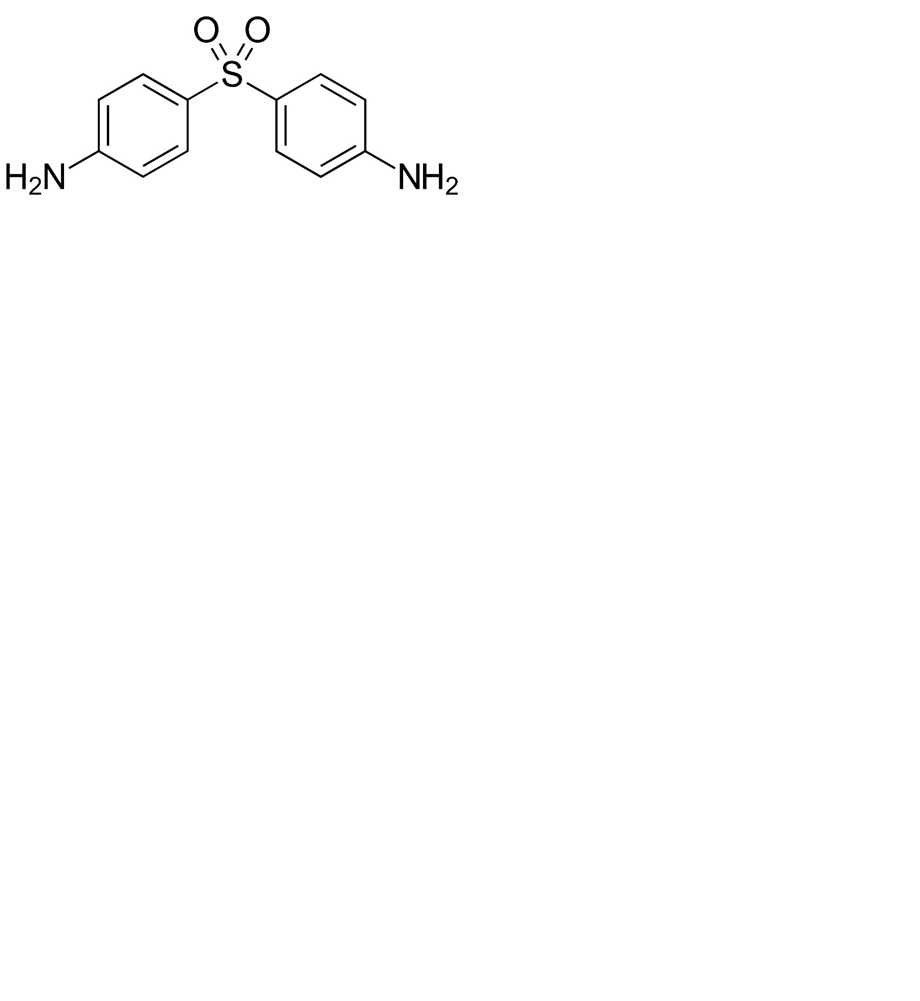
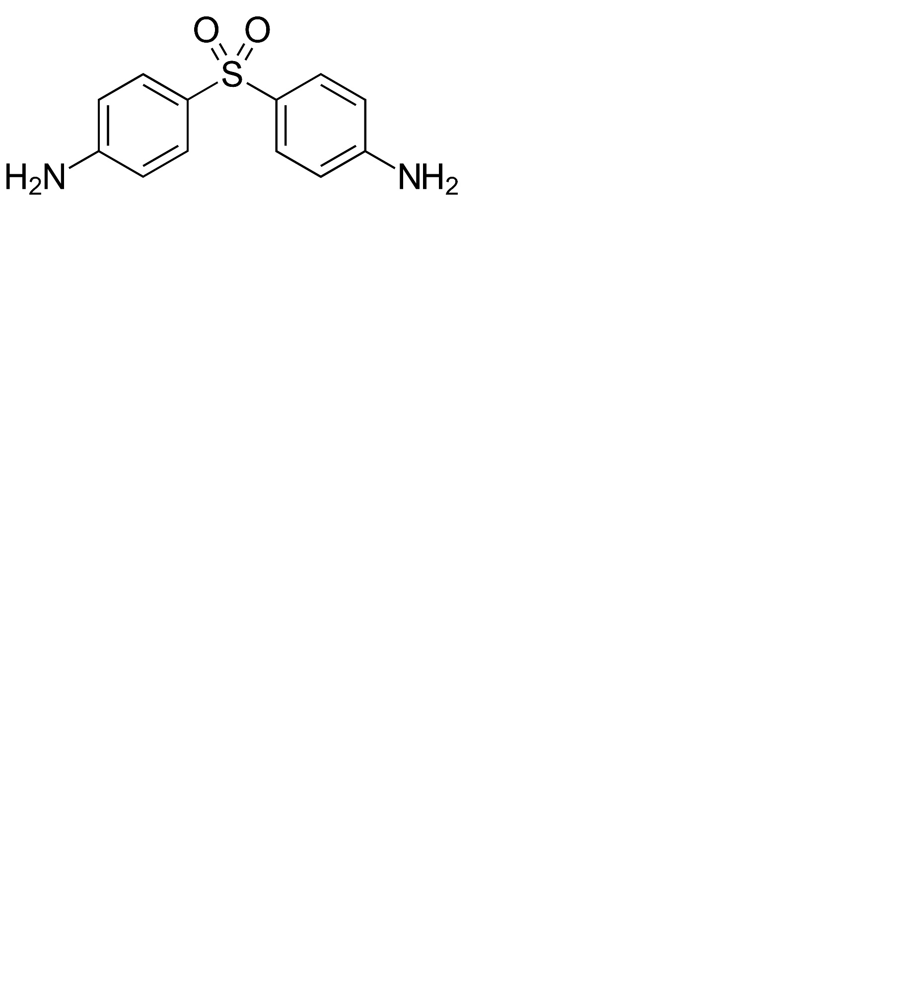
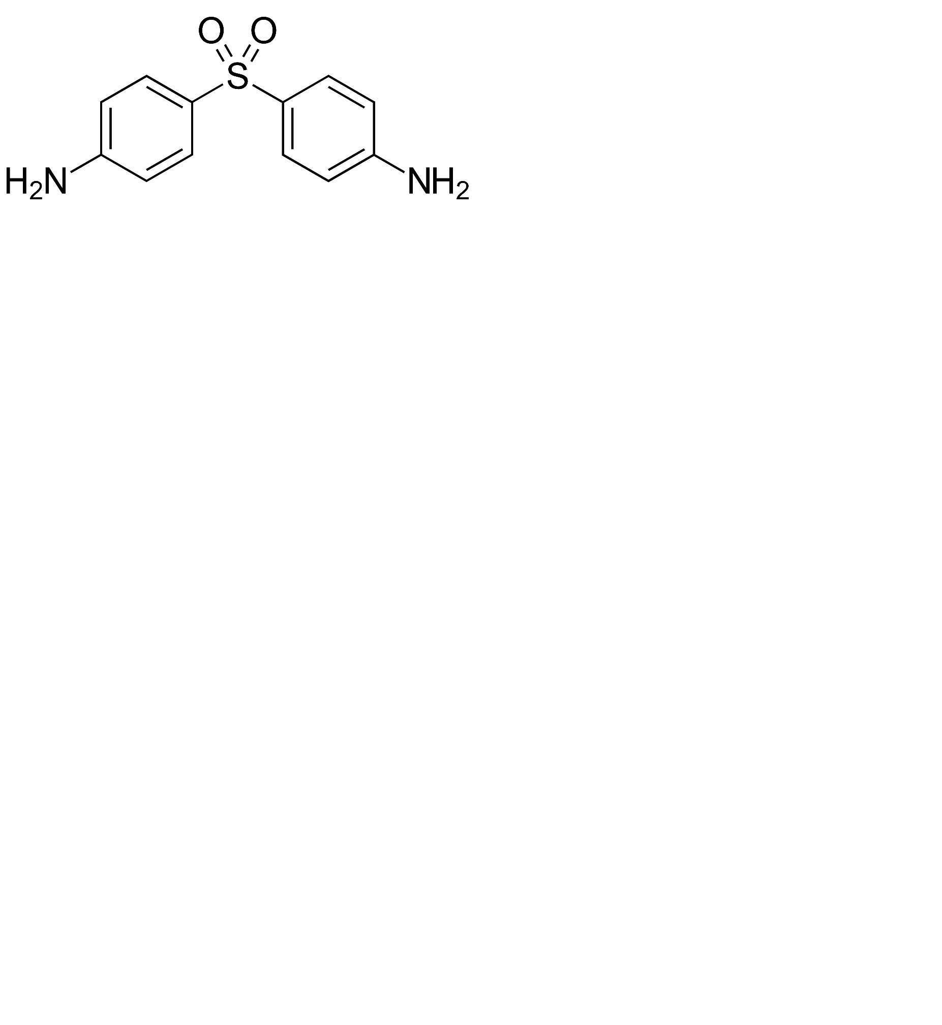
   Kemična formula  

Mazila
Kompatibilnost   Mazila   Kompatibilnost : Dapsone              
ni podatka

  Mentions Légales