Pēdējā atjaunošana :
18/03/2026
Antibiotika   Dapsone  
Ziedes
Orāls šķīdums
Stabilitāte farmaceitisko preparātu Maisījuma stabilitāte Stabilitāti ietekmējoši faktori Saderība Literatūras saraksts pdf
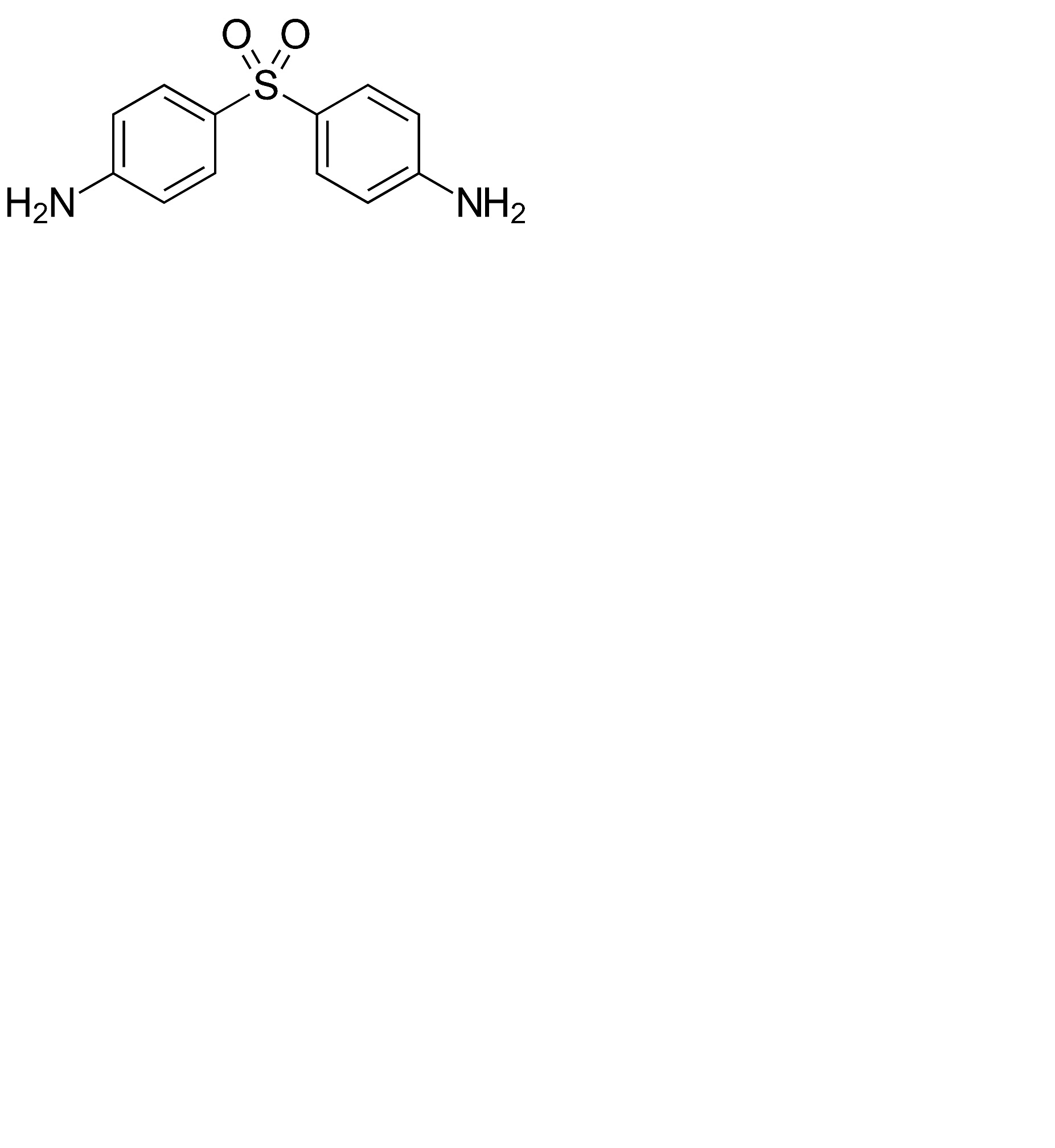
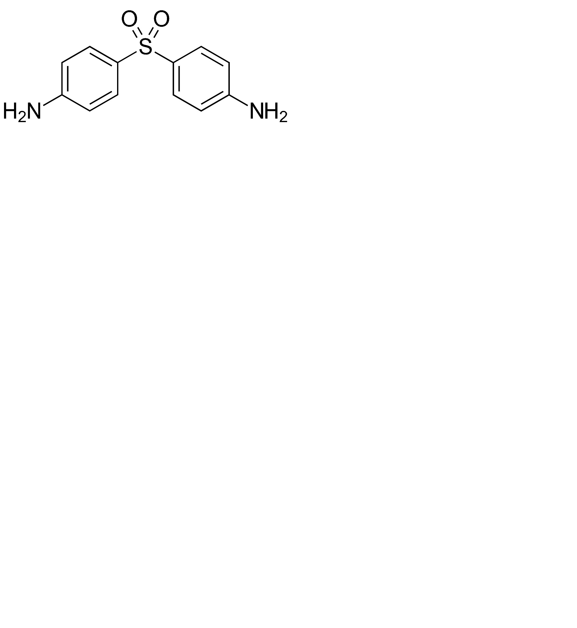
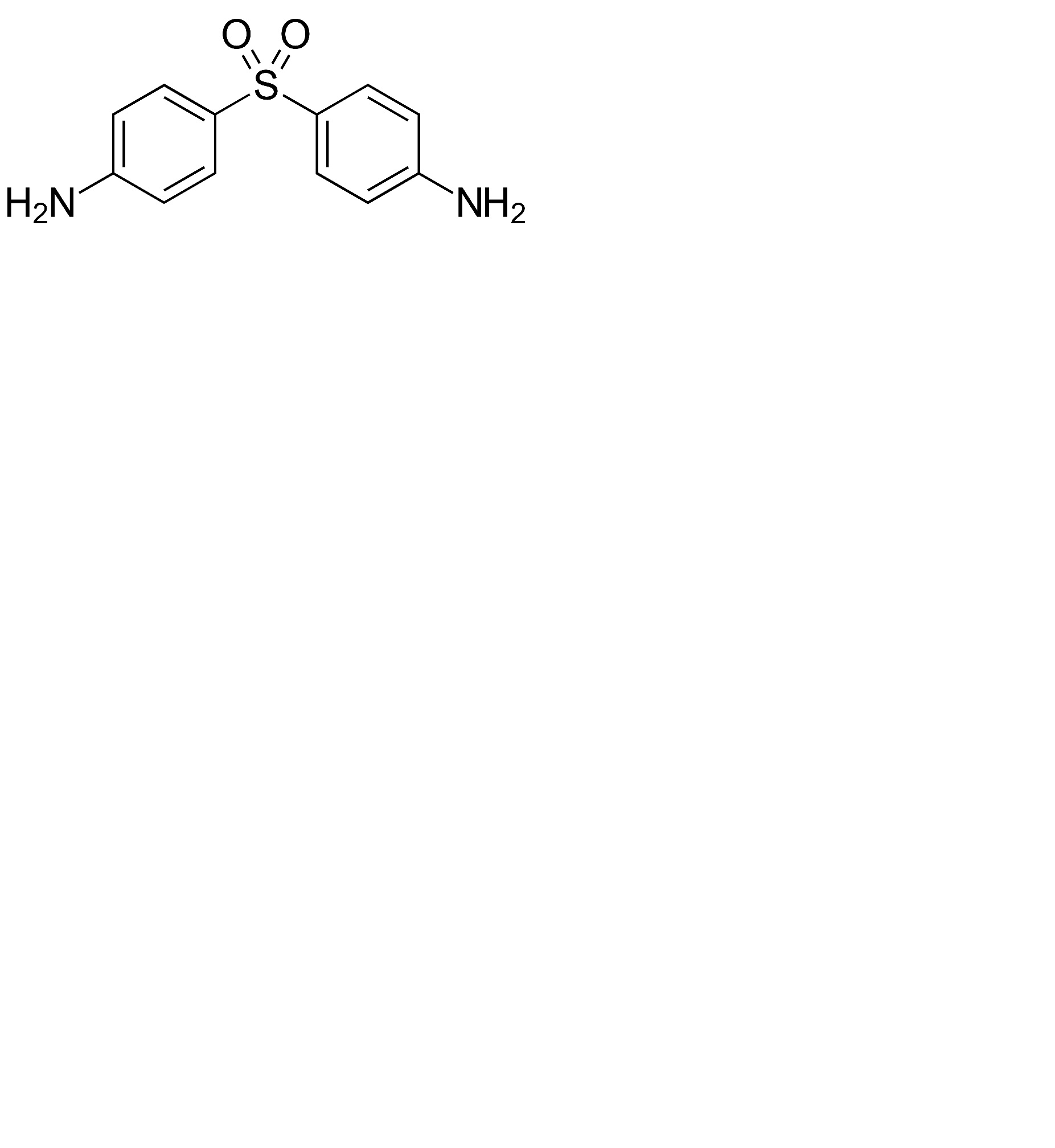
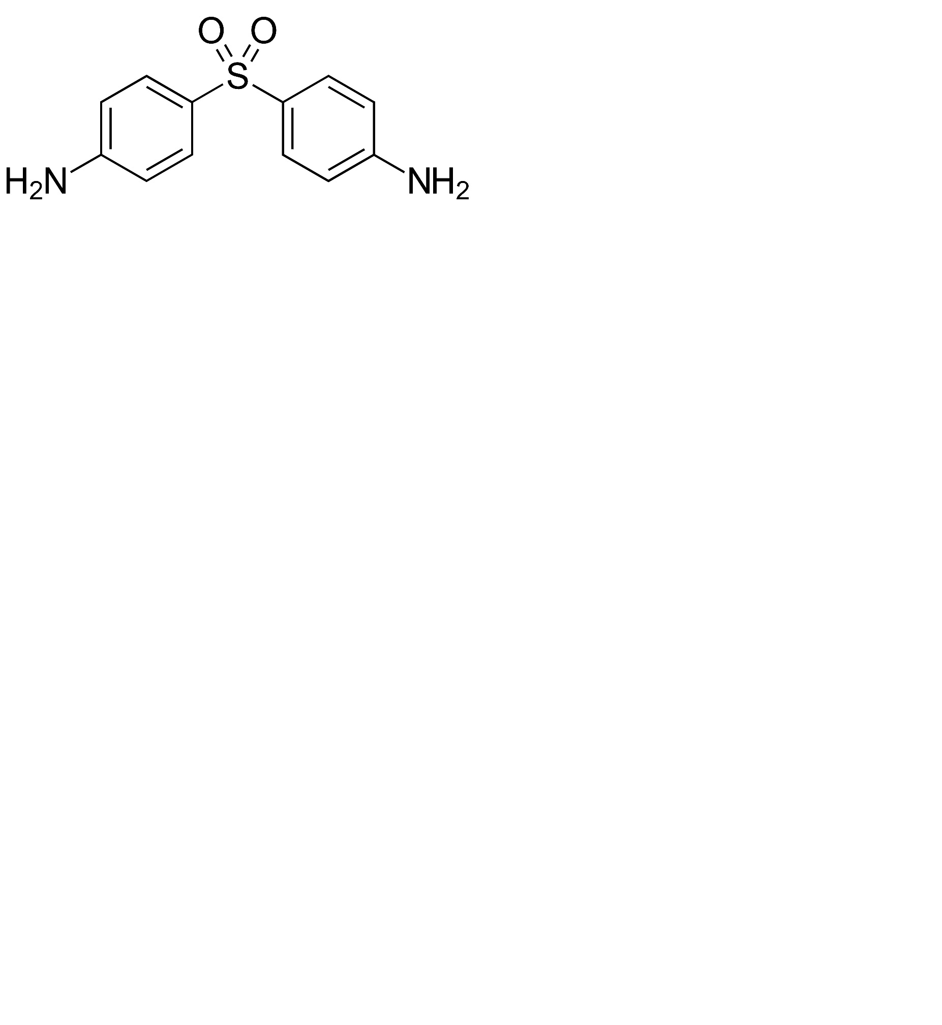
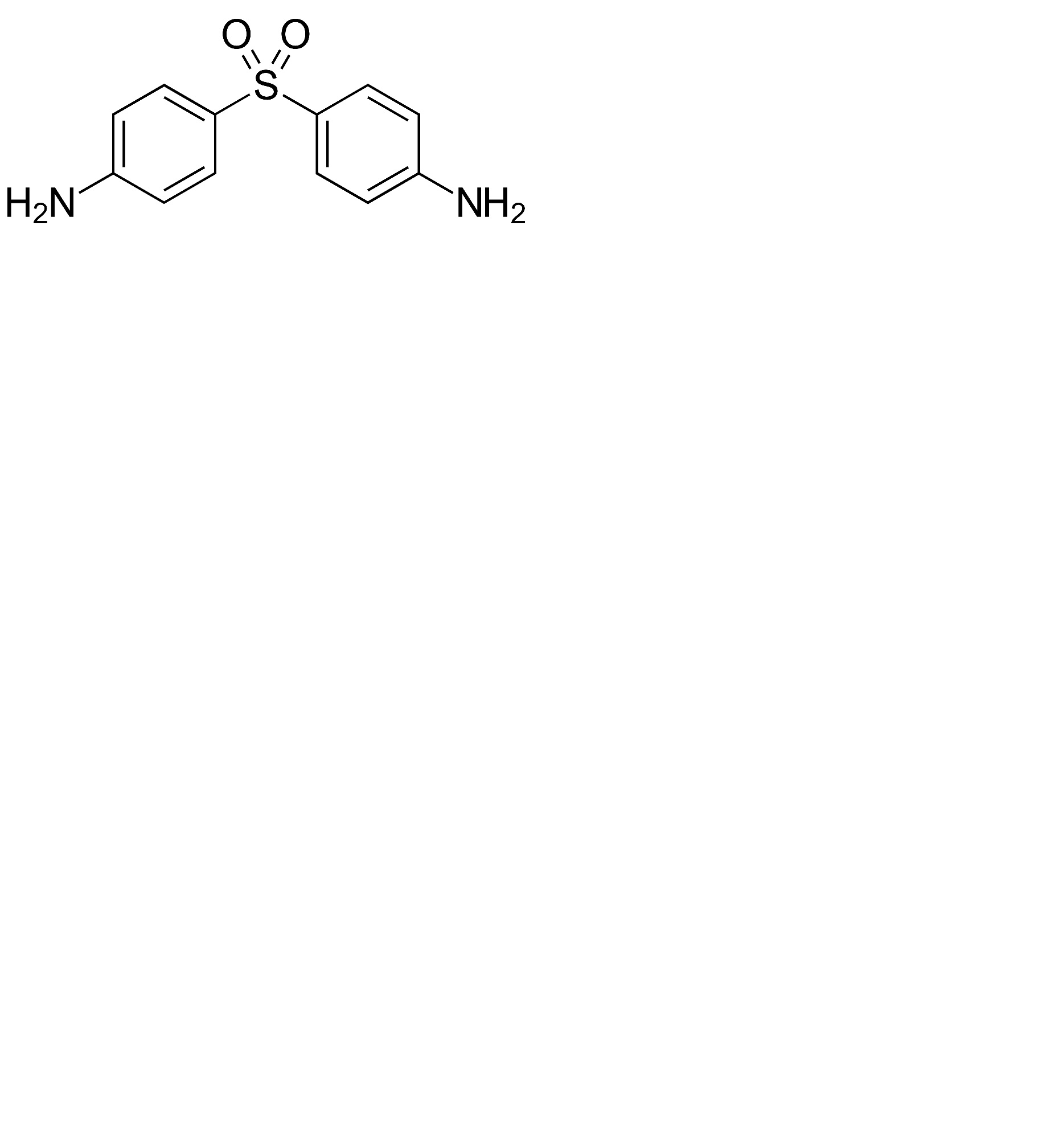
   Ķīmiskā uzbūve   

Ziedes
Maisījuma stabilitāte   Ziedes   Maisījuma stabilitāte : Dapsone     
Nav datu

  Mentions Légales