Last update :
18/03/2026
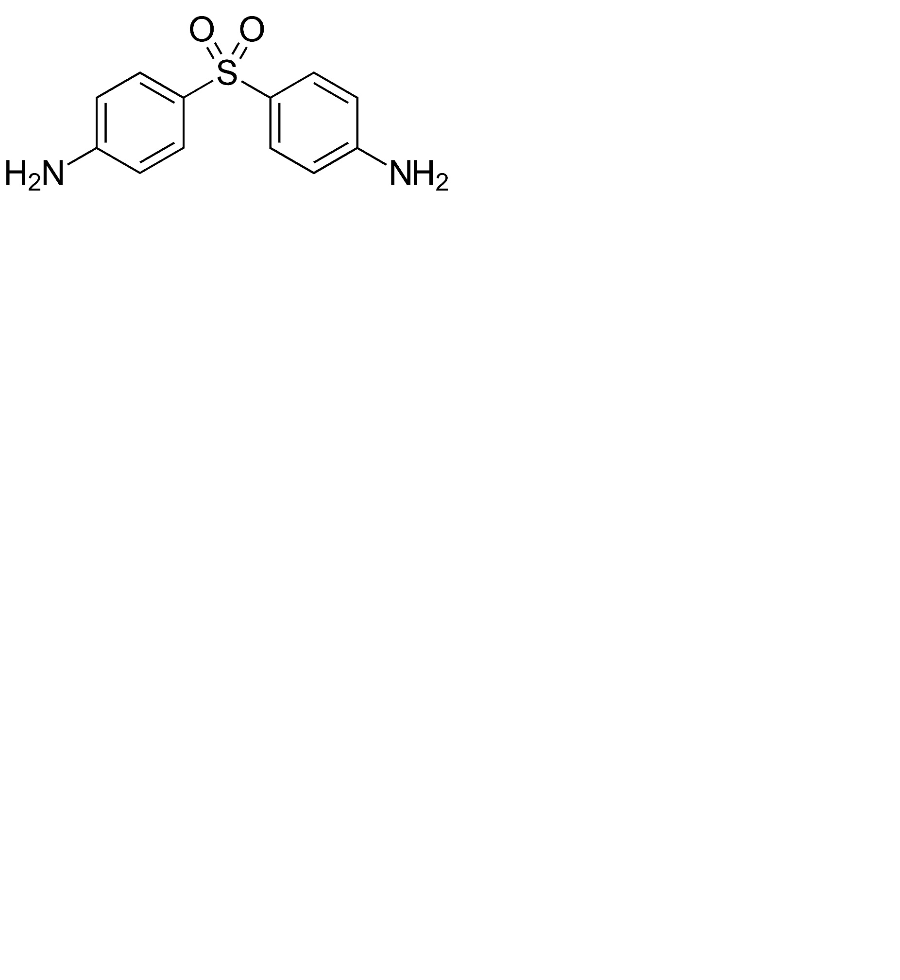
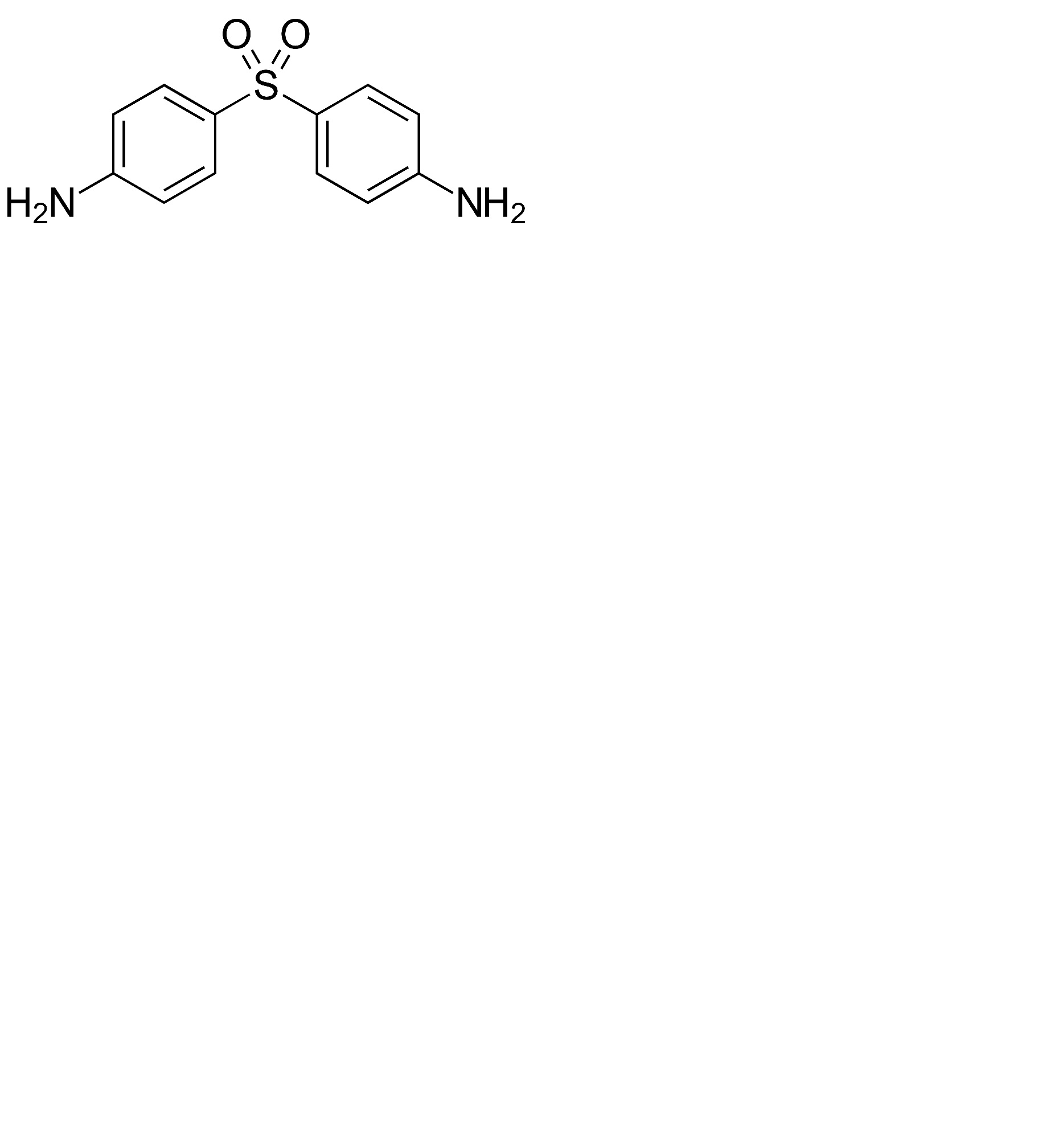
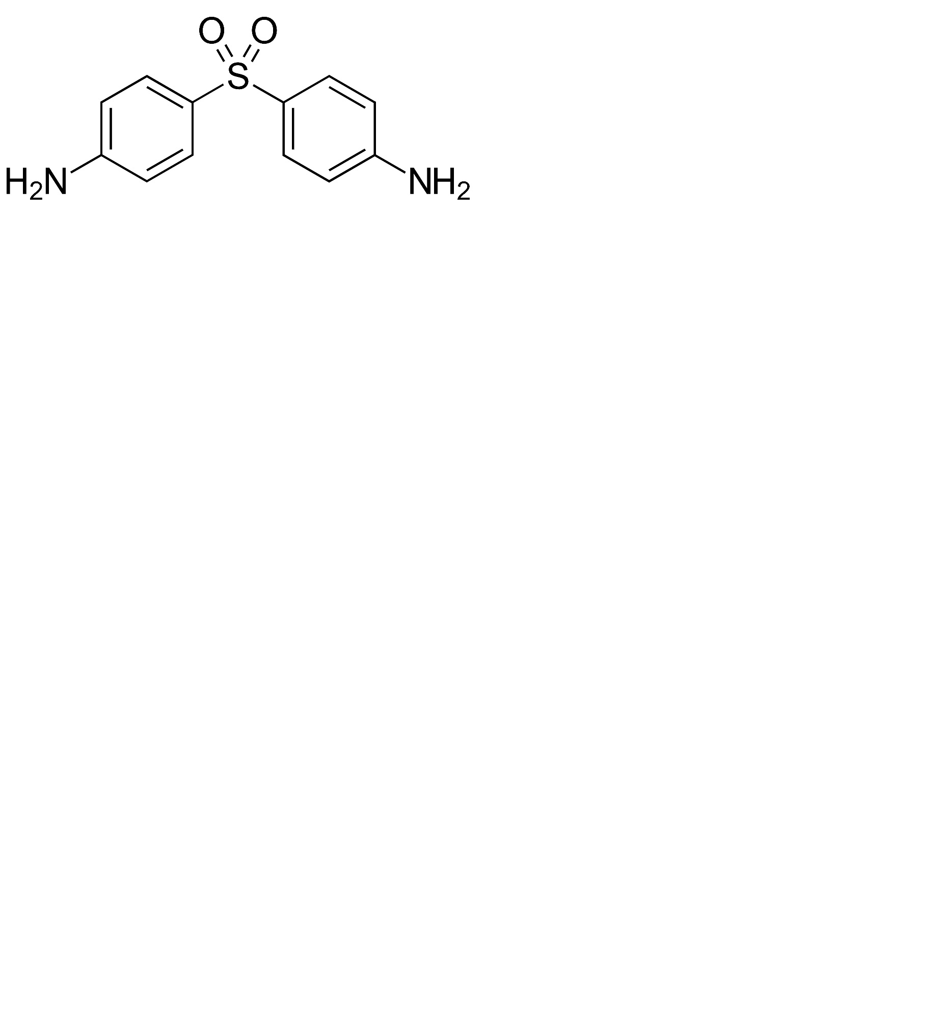
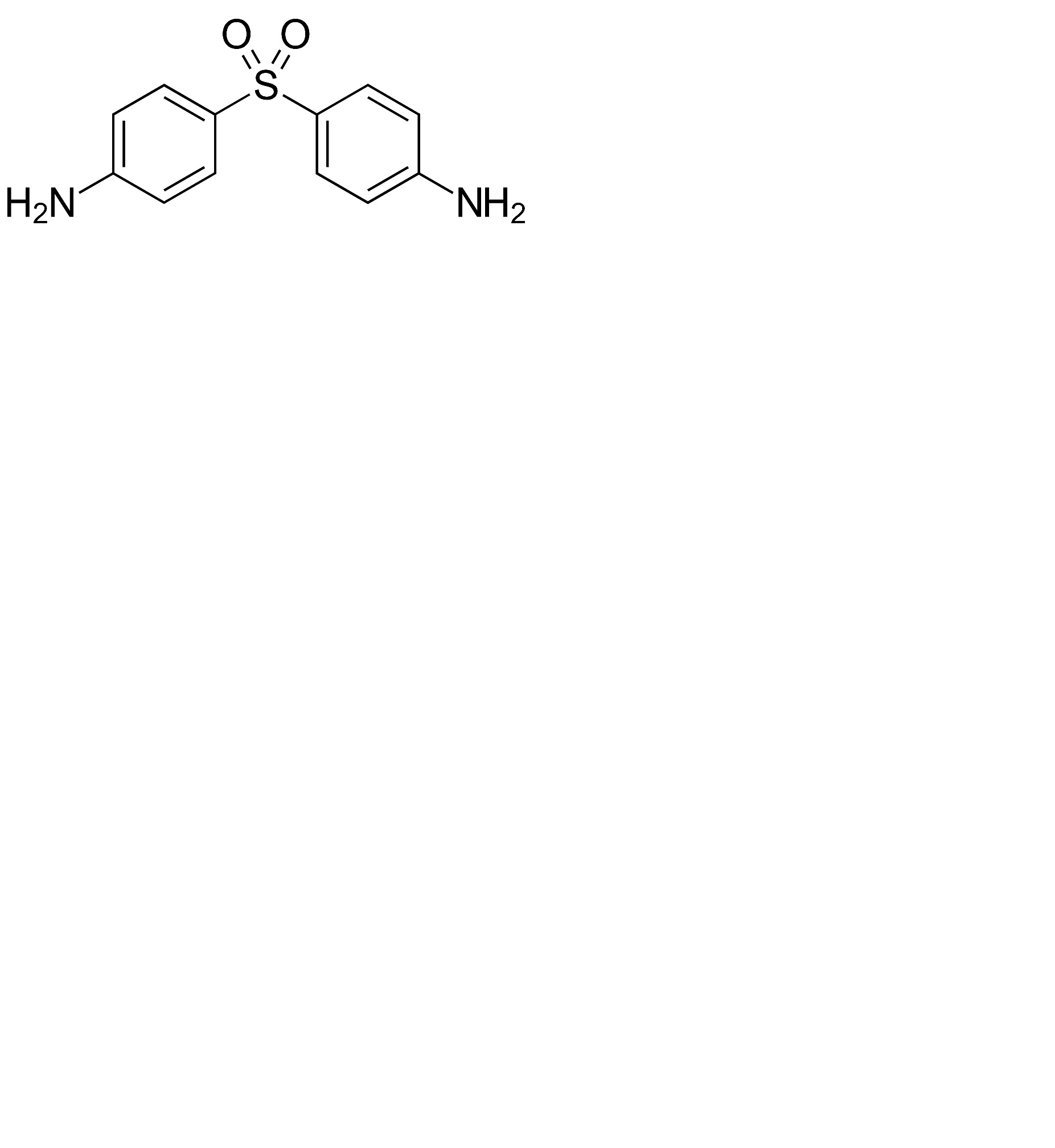
Antibiotic   Dapsone  
Ointments
Oral solution
Stability of pharmaceutical preparations Stability of mixtures Factors which affect stability Compatibility References pdf
   Chemical structure  

Ointments
Compatibility   Ointments   Compatibility : Dapsone              
No data

  Mentions Légales