fermer
Senaste uppdateringen :
17/12/2025
Infostab
Förteckning över substanser
Sammanfattande listor
Sök efter kompatibilitet
Kompatibilitetstabell
Hänvisningar
forskargrupper
valistab
Posters
Anslutningar
sponsorer
Författare
Användaranvisning
Nyhetsbladet
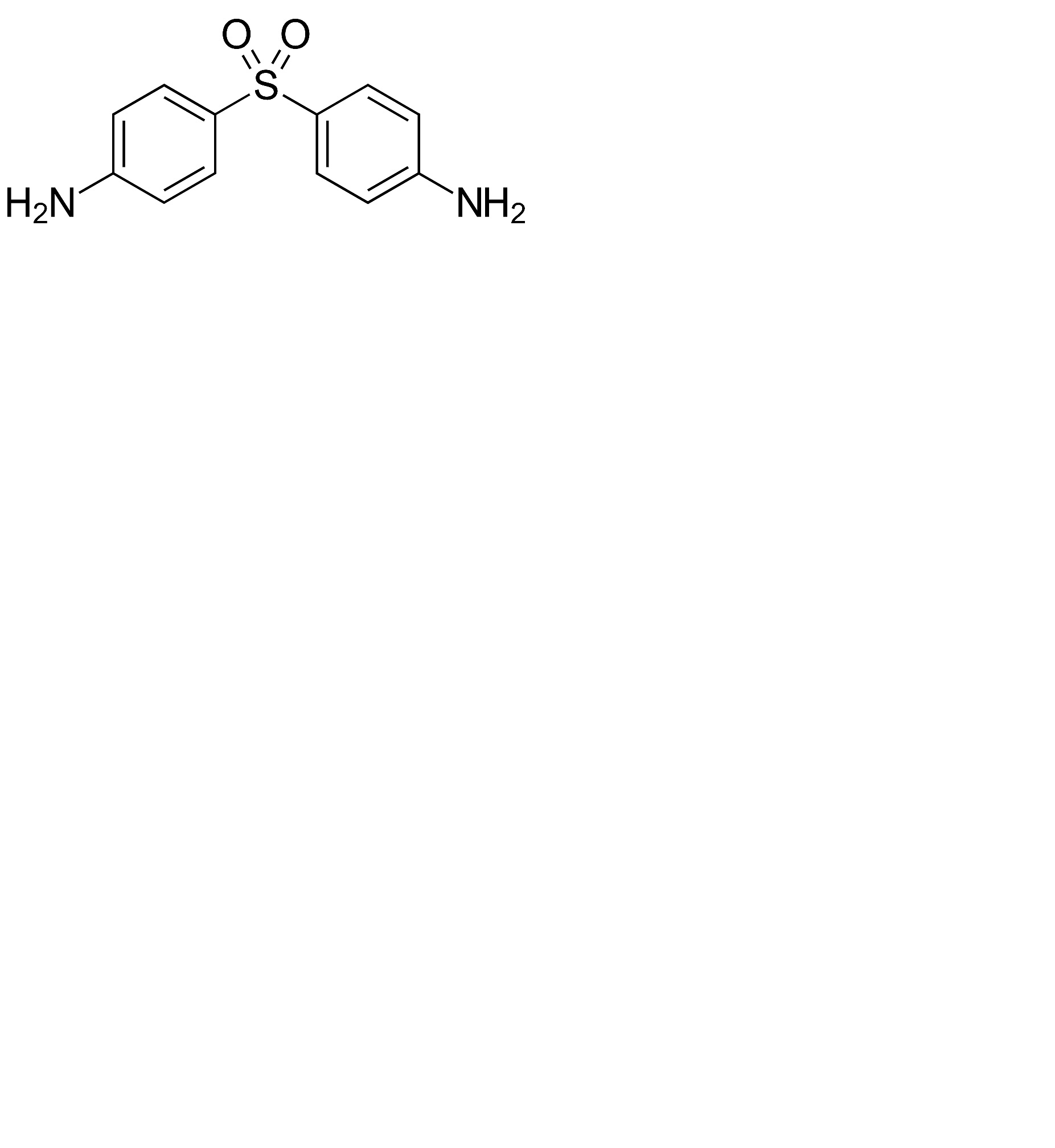
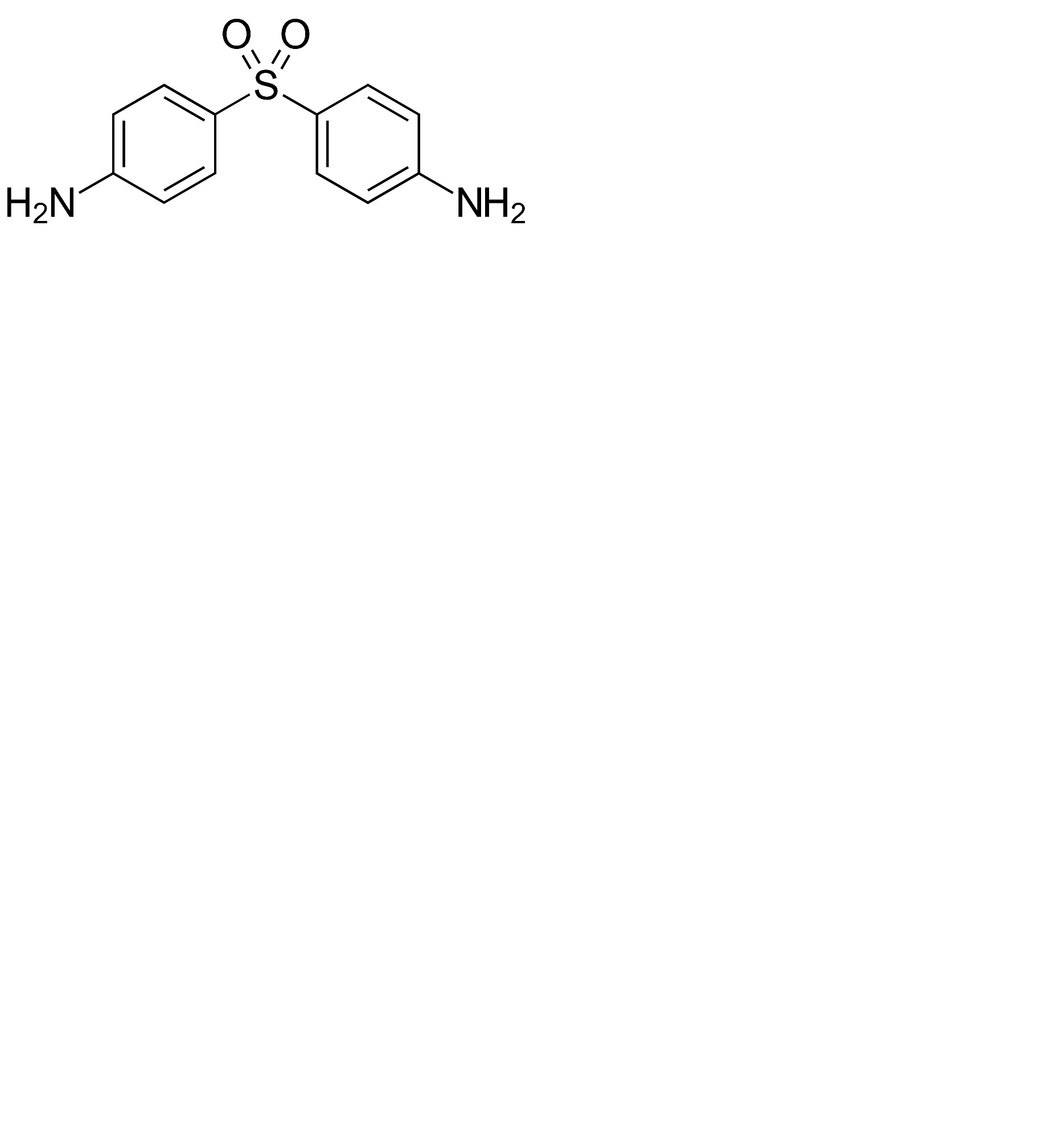
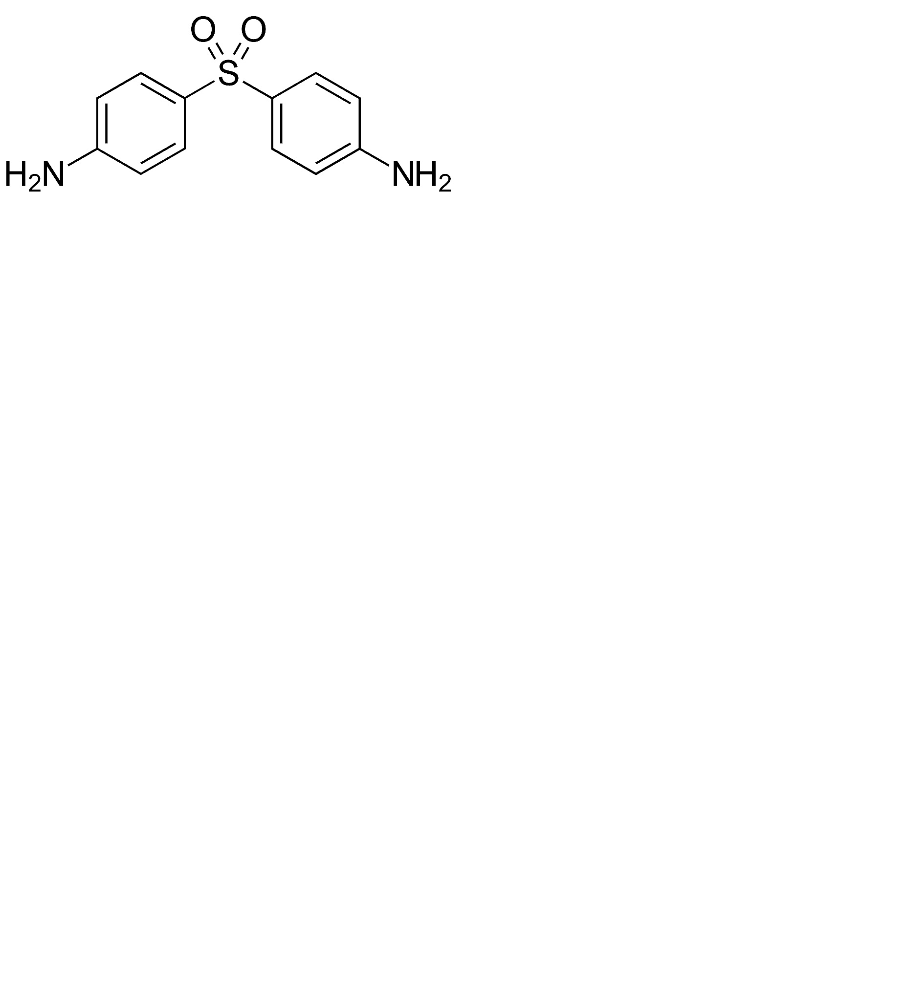
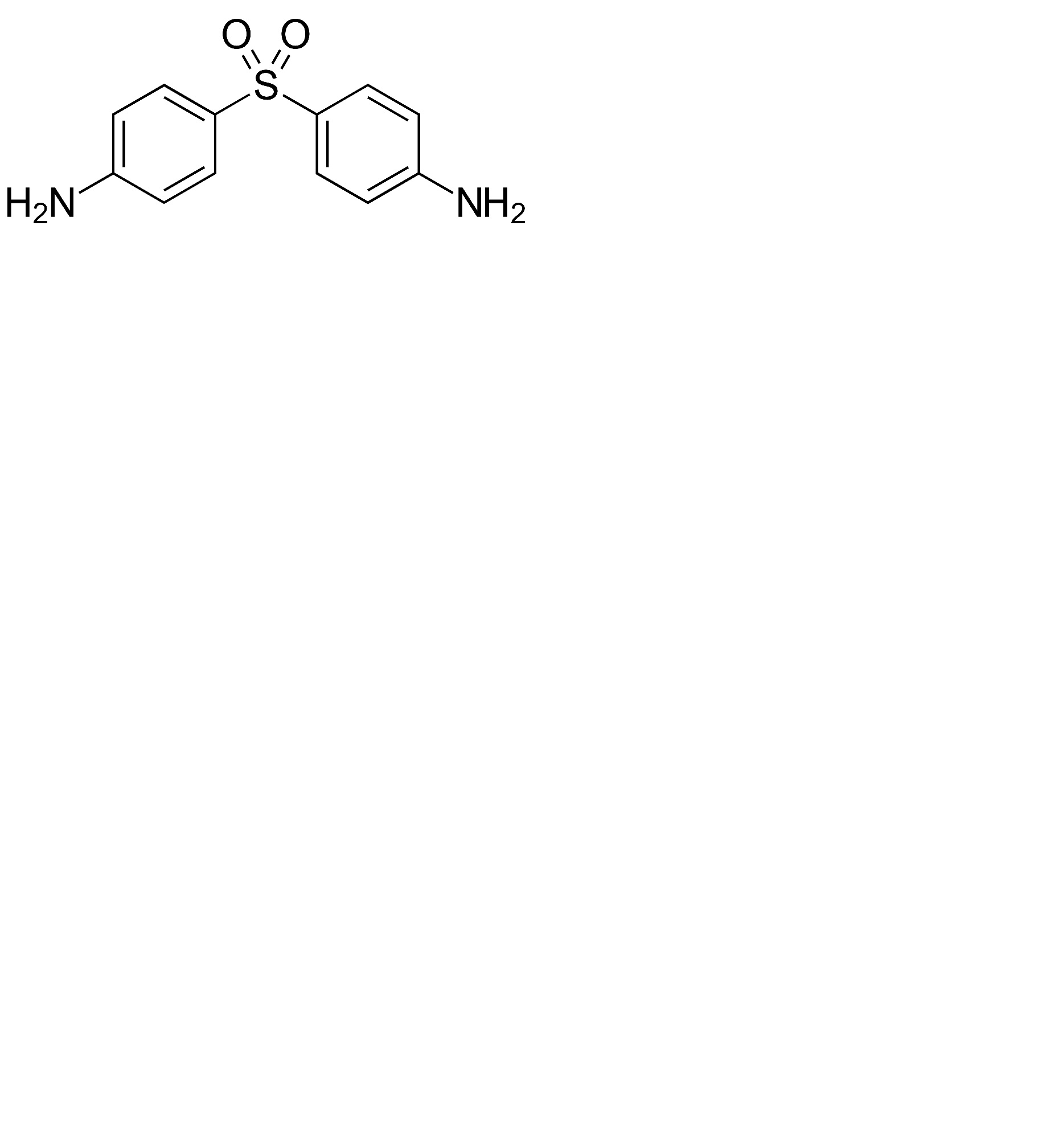
Dapsone
Molekylstruktur
Kompatibilitet : Dapsone
Ingen uppgift
Mentions Légales