Τελευταία ενημέρωση :
18/03/2026
Αντιβιοτικό   Dapsone  
Αλοιφές
Πόσιμο διάλυμα
Σταθερότητα και συμβατότητα των φαρμάκων Σταθερότητα σε μίγματα Παράγοντας που επηρεάζει τη σταθερότητα Συμβατότητες Βιβλιογραφία pdf
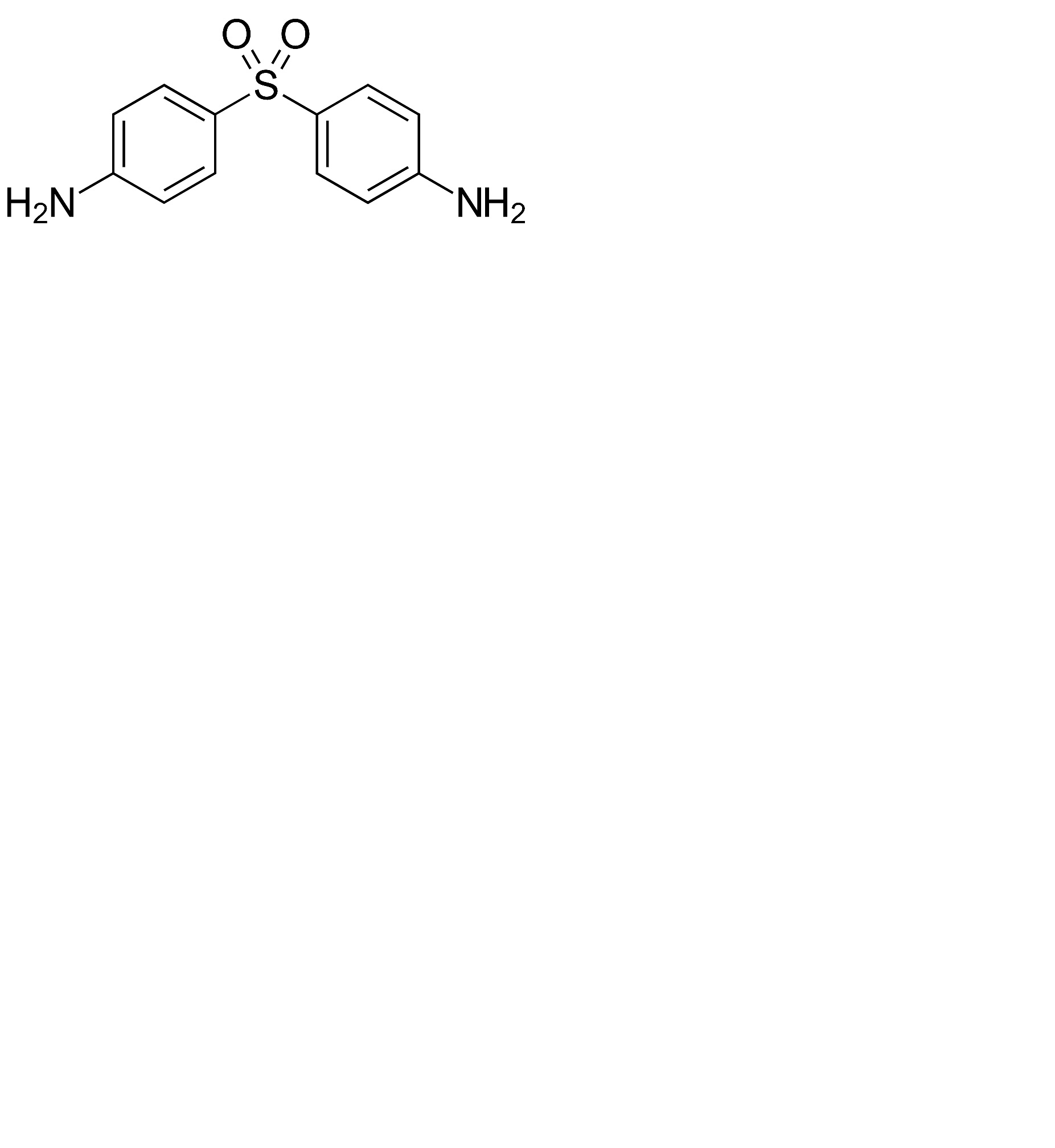
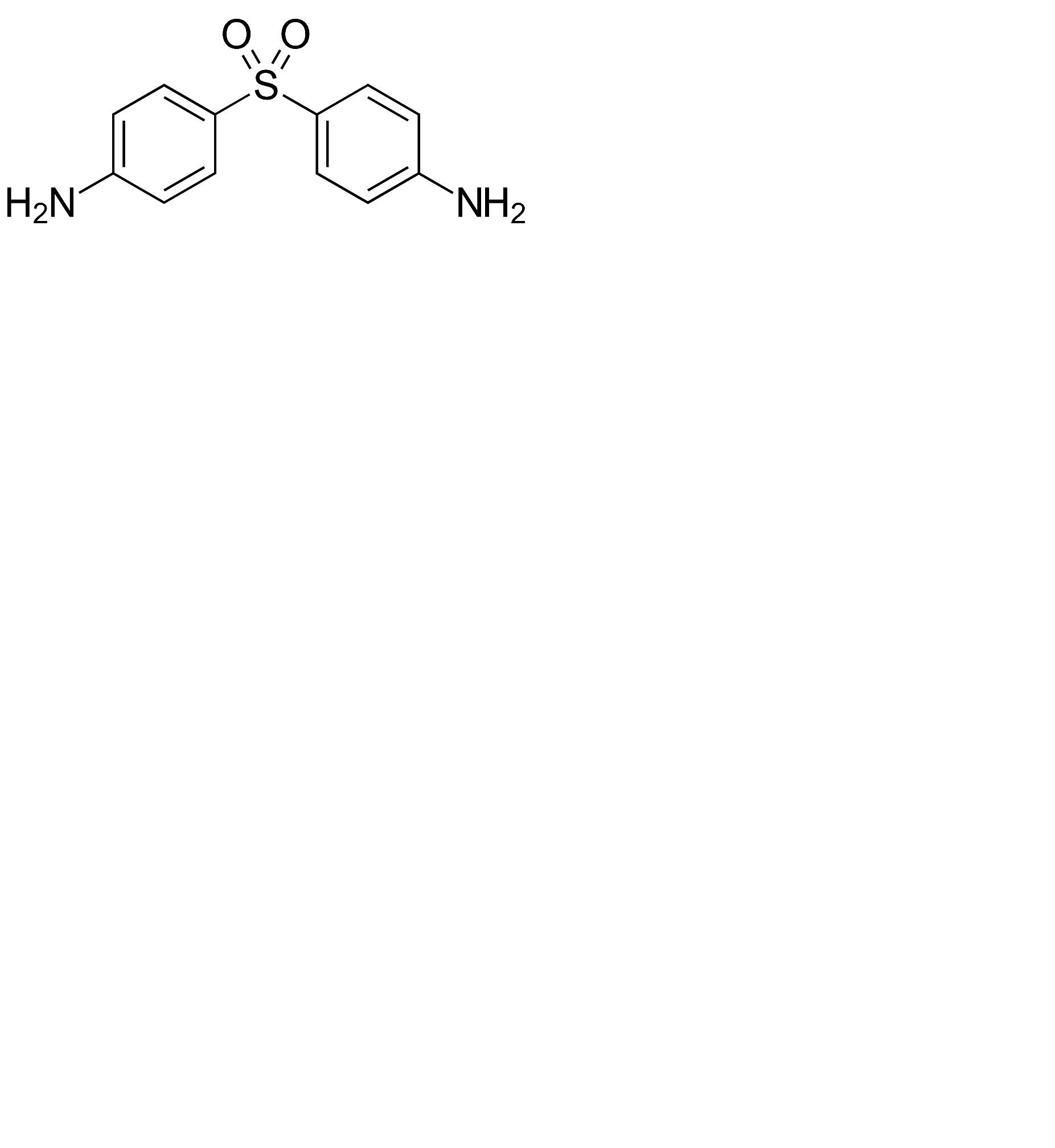
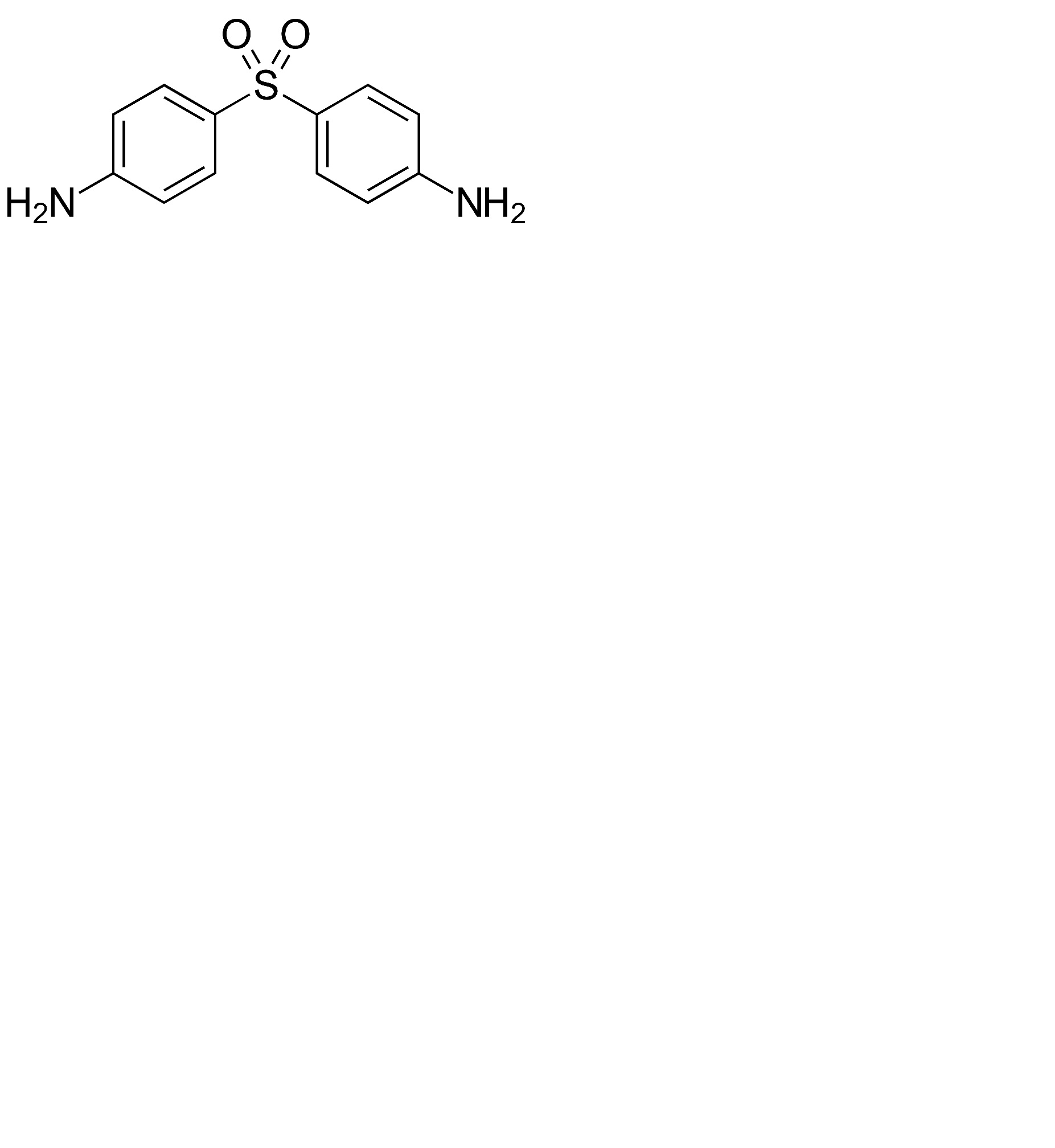
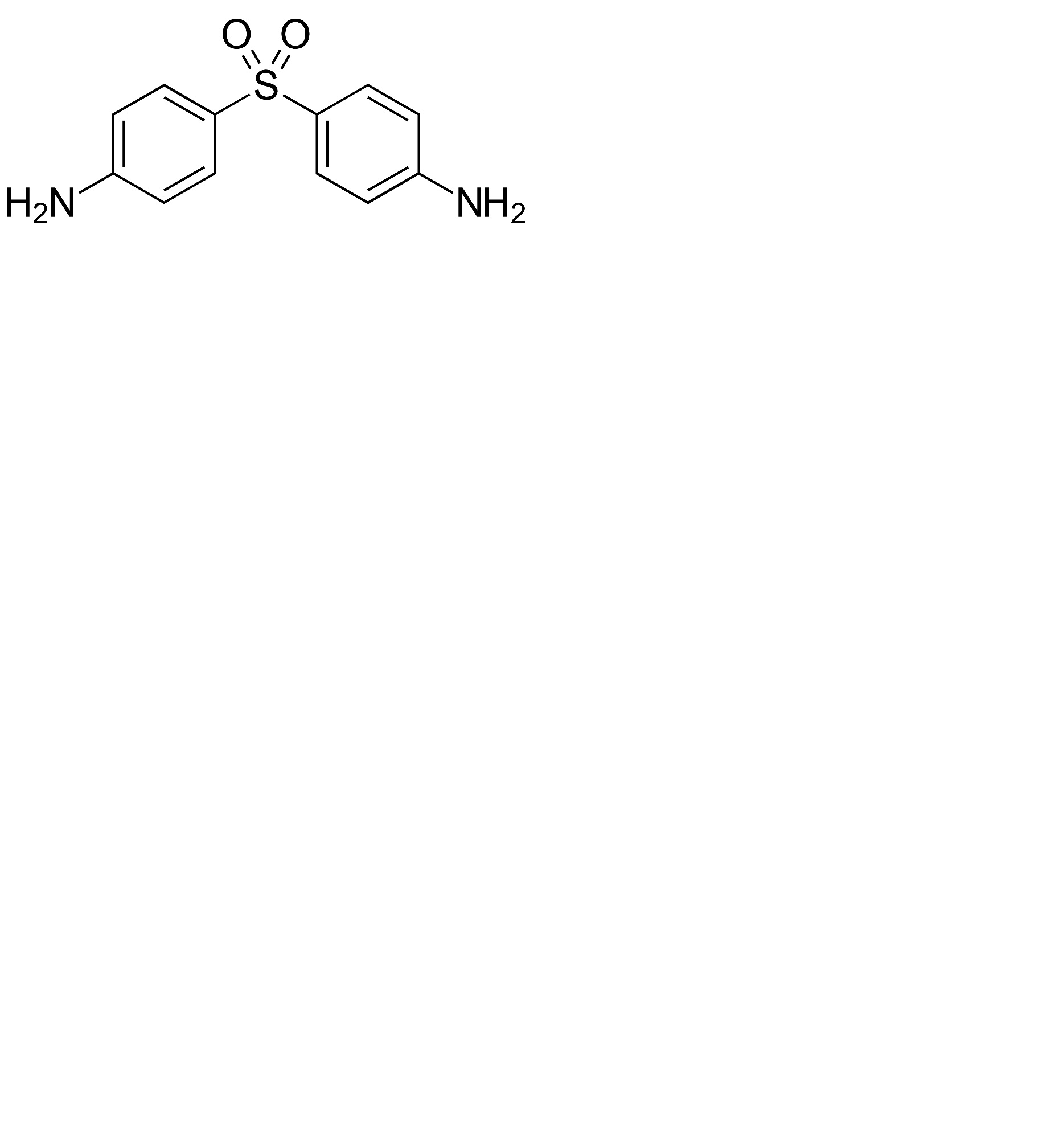
   χημική δομή  

Αλοιφές
Συμβατότητες    Αλοιφές   Συμβατότητες : Dapsone              
Δεν υπάρχουν πληροφορίες

  Mentions Légales