Siste oppdatering :
18/03/2026
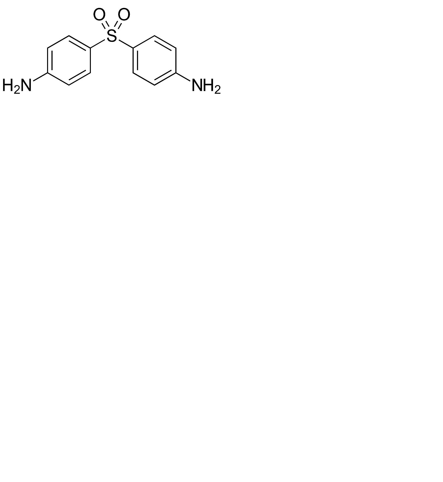
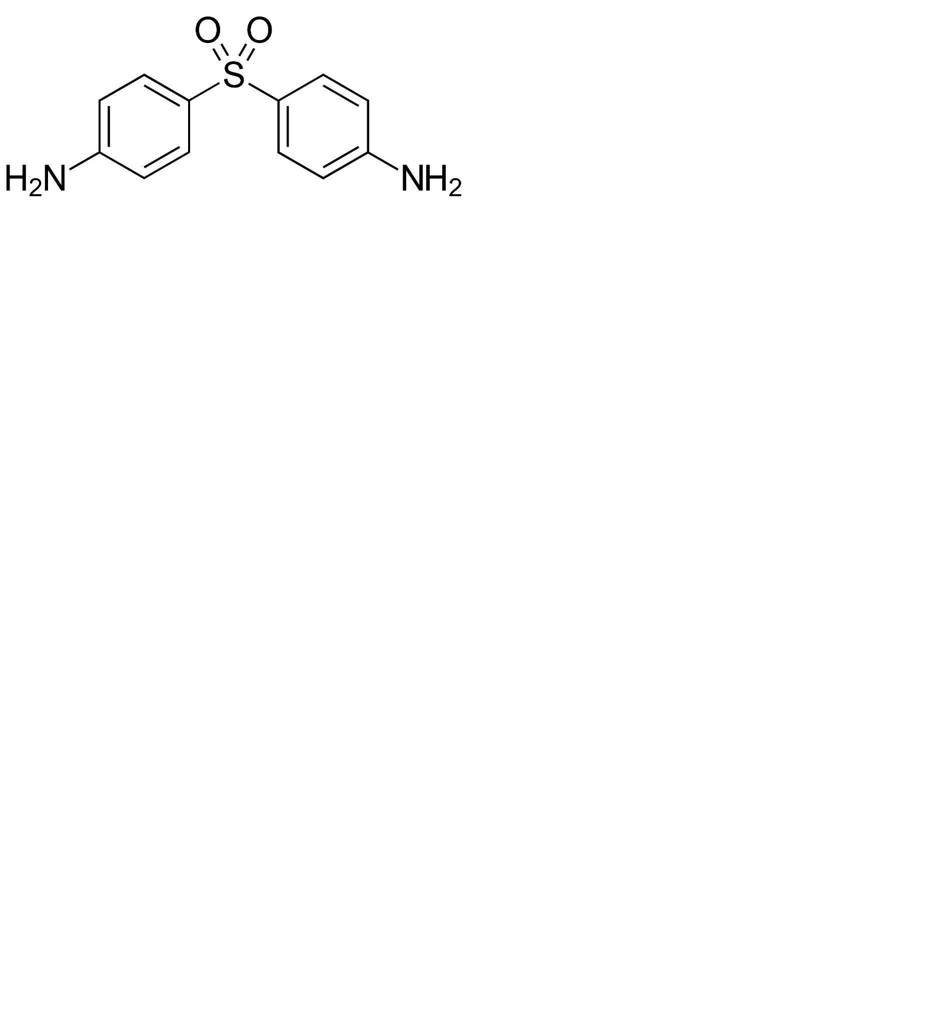
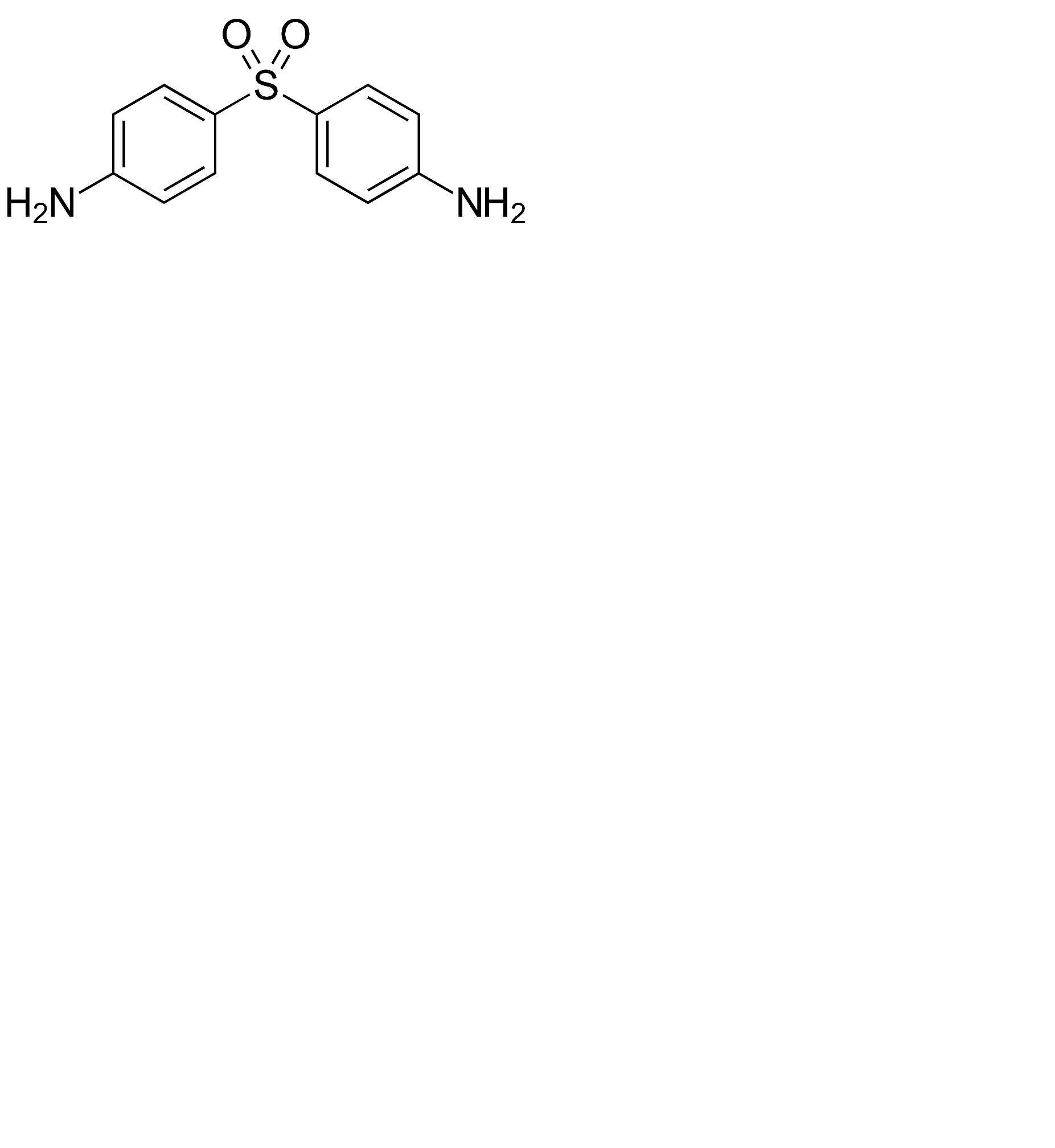
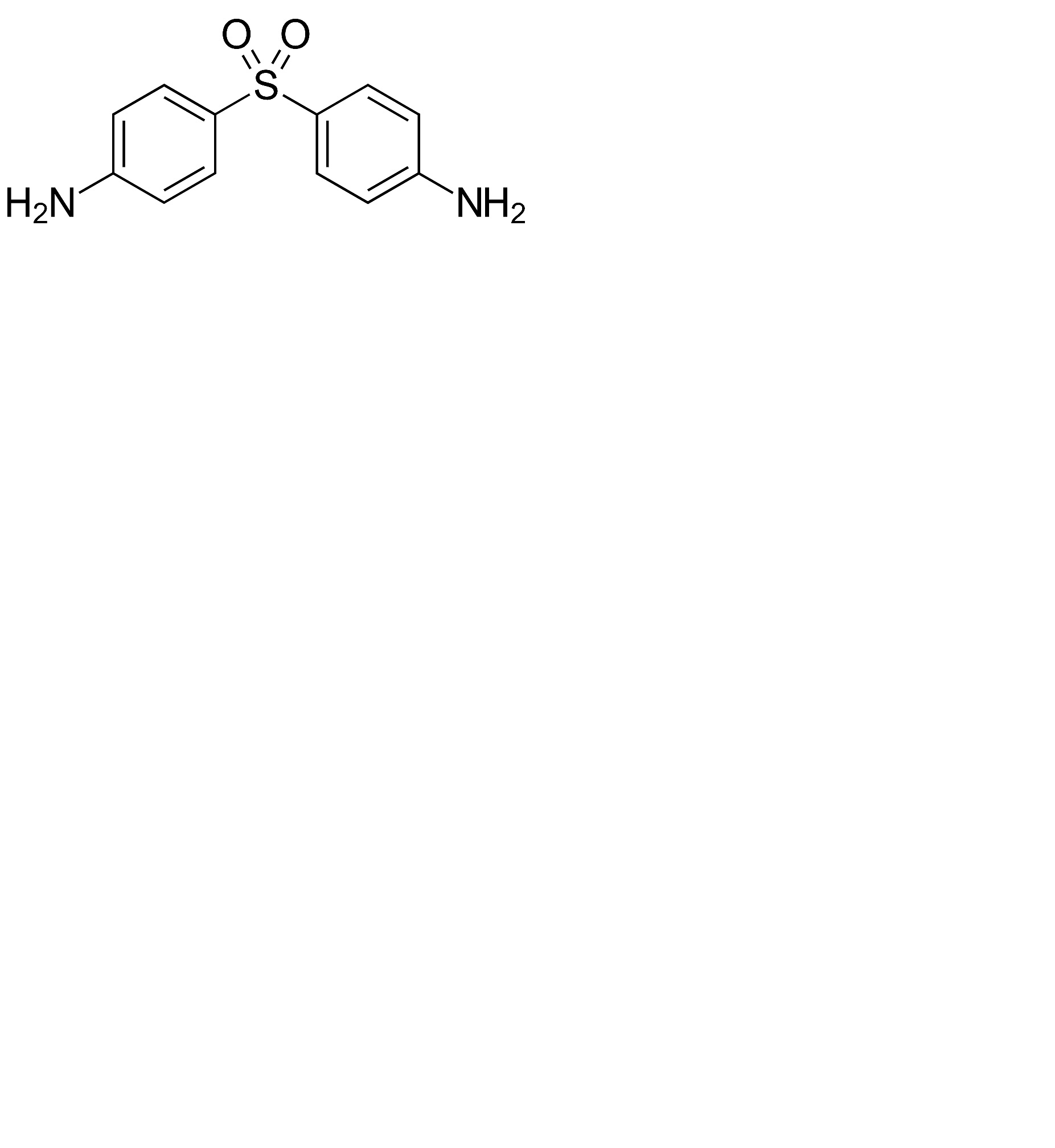
Antibiotika   Dapsone  
Salver
Mikstur
Stabilitet av farmasøytiske preparater Stabilitet i blandinger Faktorer som påvirker stabiliteten Kompatibilitet Referanser pdf
   Kjemisk struktur  

Salver
Kompatibilitet   Salver   Kompatibilitet : Dapsone              
Ingen opplysninger

  Mentions Légales