Letztes “update” :
18/03/2026
Antibiotikum   Dapsone  
Salben
Lösung zum Einnehmen
Stabilität von pharmazeutischen Präparaten Gemengestabilität Stabilitätbeeinflussende Faktoren Kompatibilitäten Literaturverzeichnis pdf
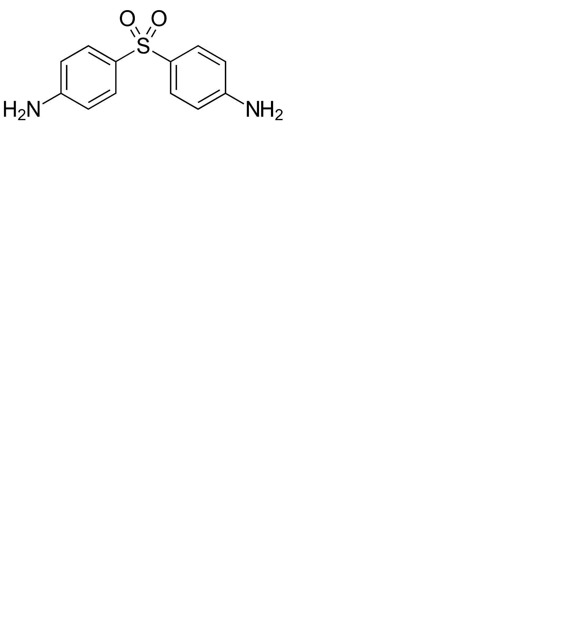
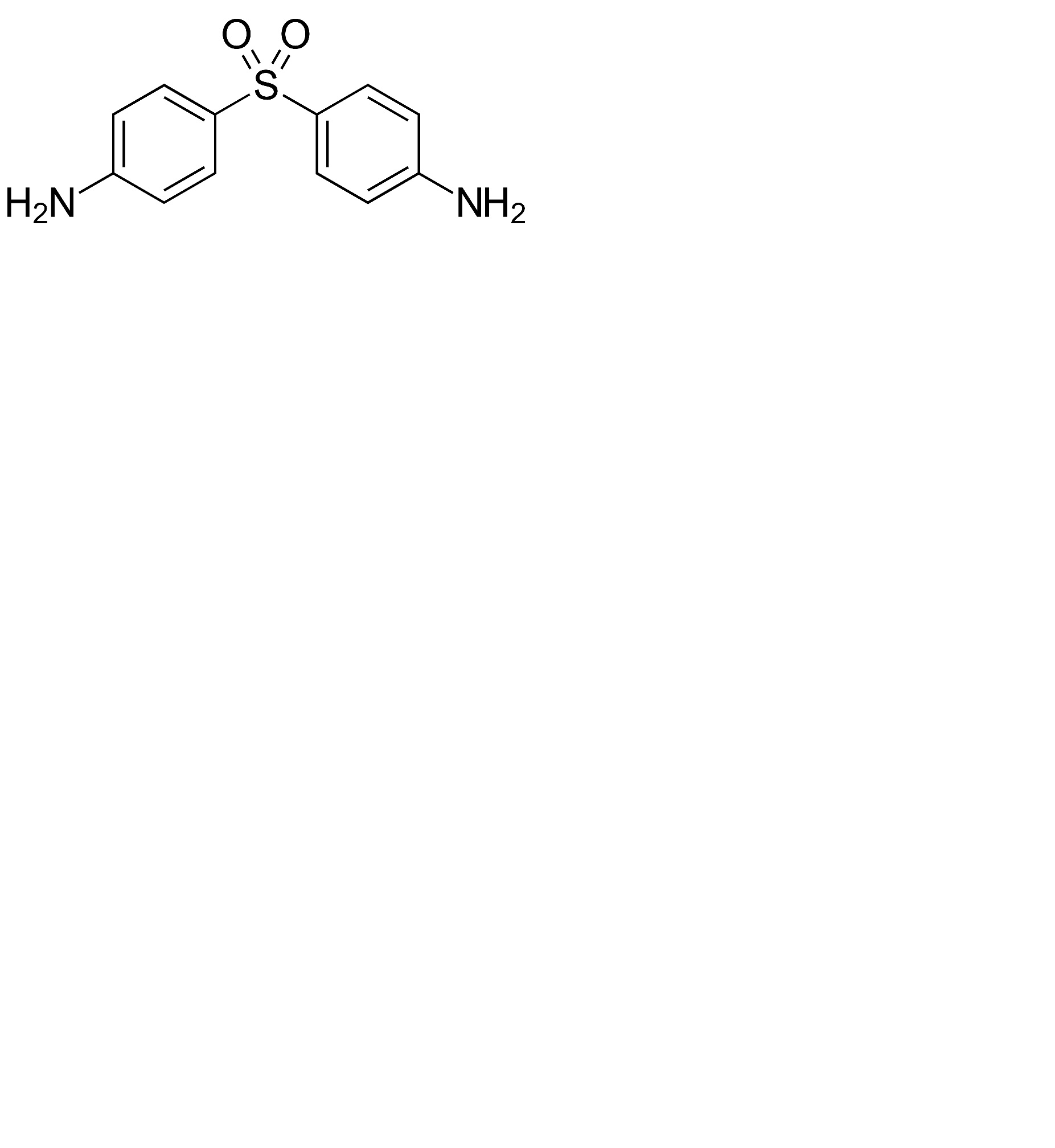
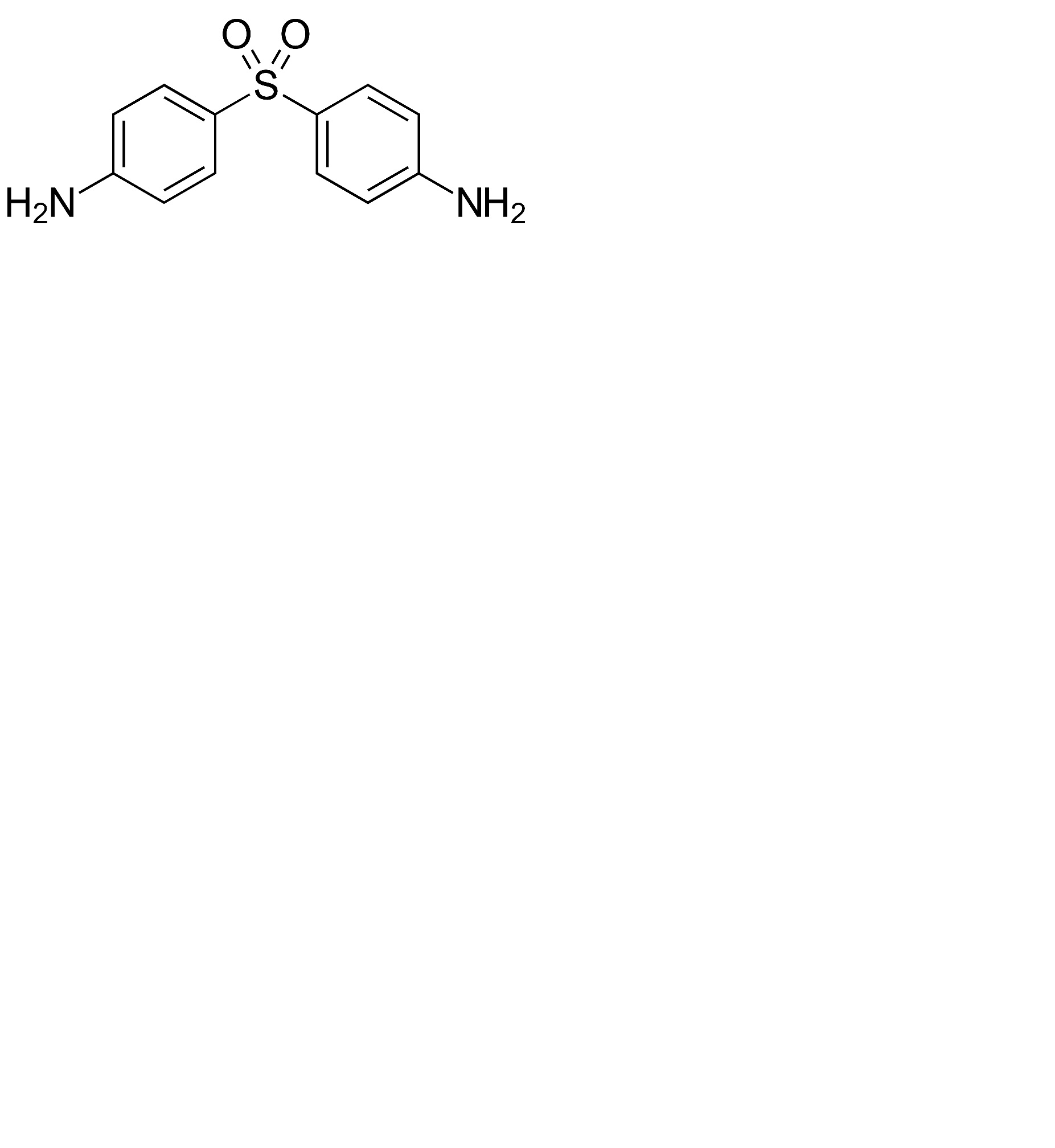
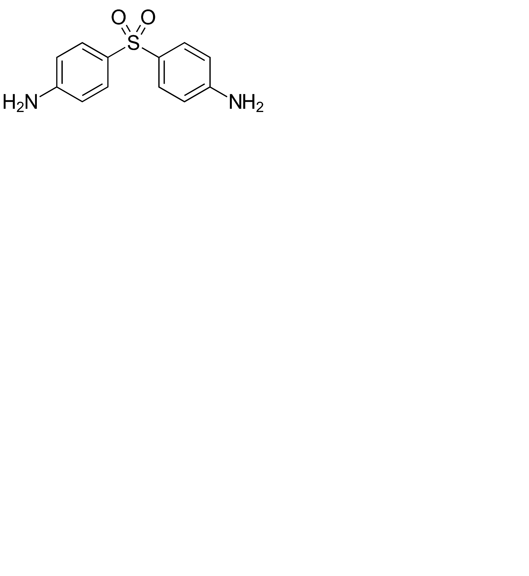
   Chemische Struktur  

Salben
Kompatibilitäten   Salben   Kompatibilitäten : Dapsone              
Keine Daten

  Mentions Légales