Ostatnia aktualizacja :
18/03/2026
Antybiotyk   Dapsone  
Maści
Roztwór doustny
Stabilność preparatów farmaceutycznych Trwałość w mieszaninie Czynnik wpływający na trwałość Zgodność Bibliografia pdf
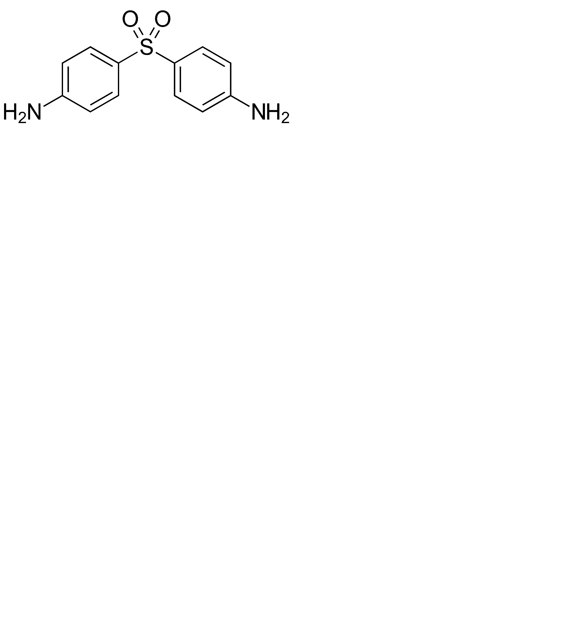
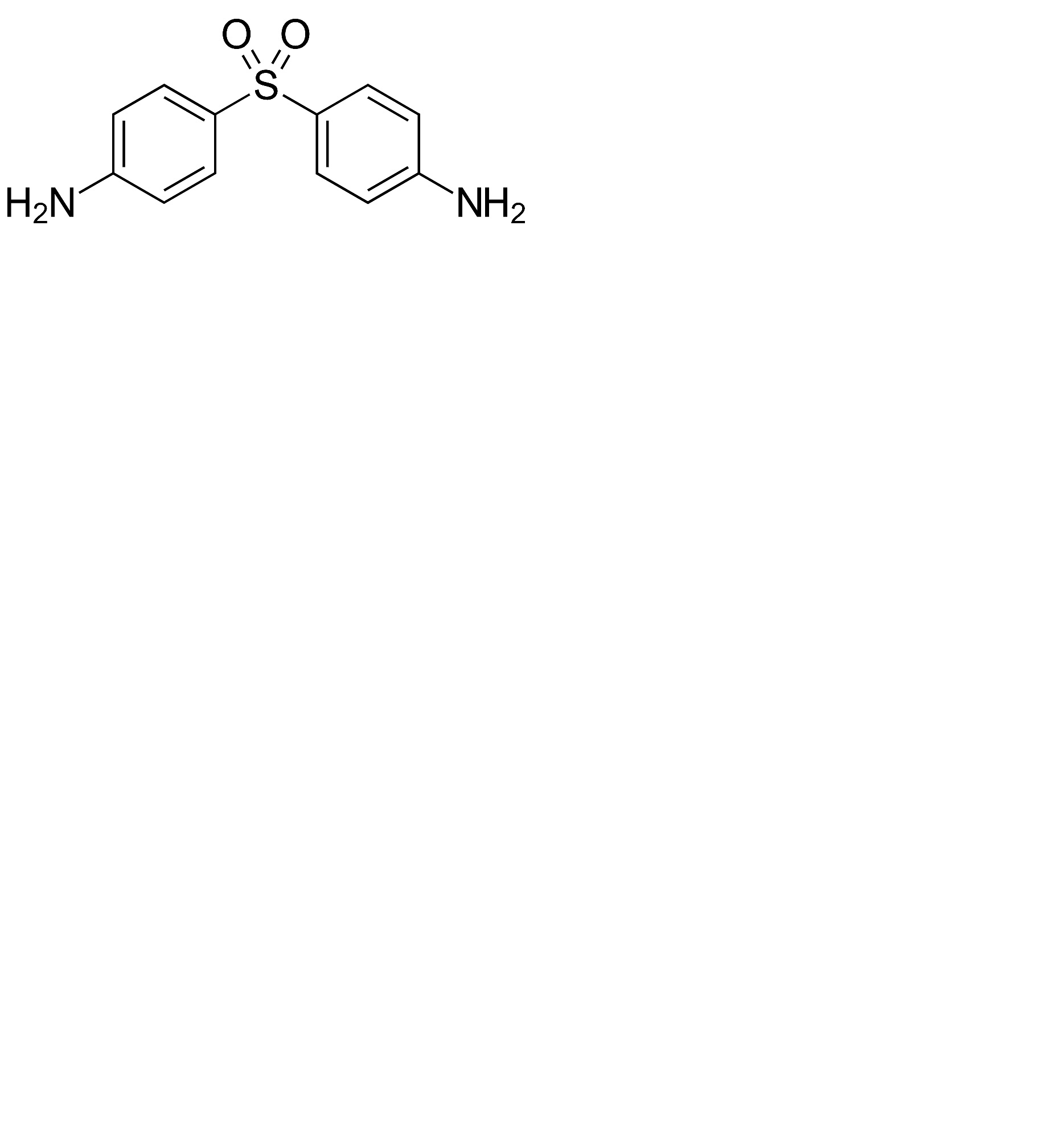
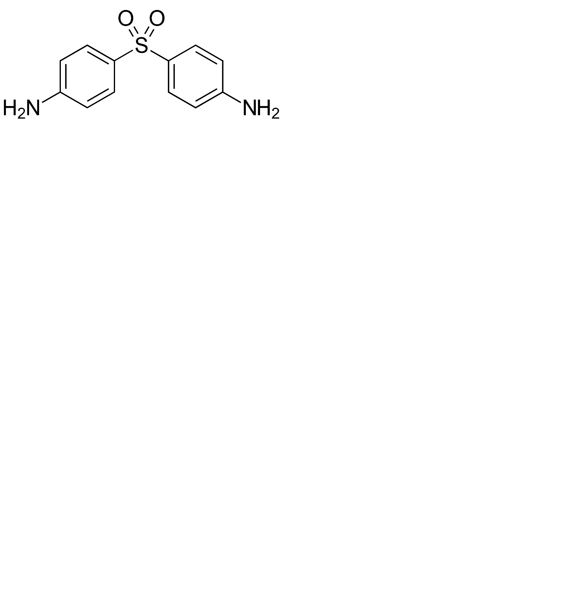
   Struktura chemiczna  

Maści
Zgodność   Maści   Zgodność : Dapsone              
Brak danych

  Mentions Légales