zadnja posodobitev :
18/03/2026
rak drog   Cyclophosphamide  
Kapsula
Brizgalka Peroralna raztopina
Stabilnost farmacevtskih preparatov Stabilnost mešanice Faktorji, ki vplivajo na stabilnost Kompatibilnost Viri pdf
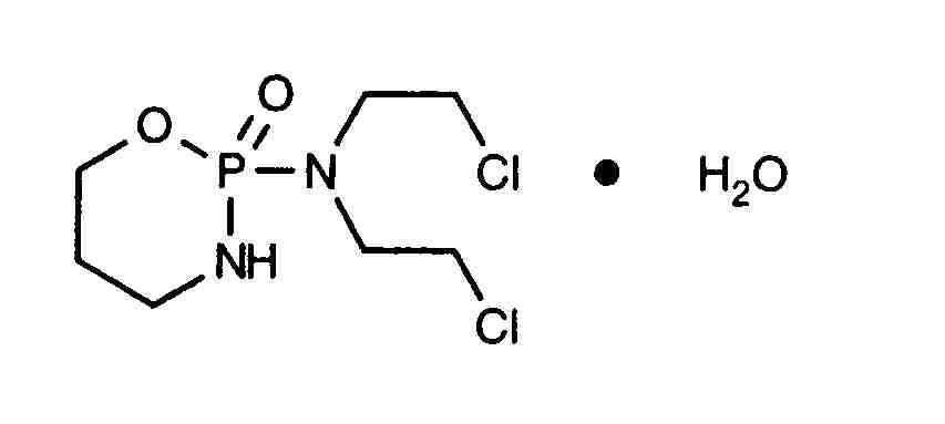
   Kemična formula  

Kapsula

Faktorji, ki vplivajo na stabilnost   Kapsula   Faktorji, ki vplivajo na stabilnost : Cyclophosphamide        
ni podatka

  Mentions Légales