Pēdējā atjaunošana :
18/03/2026
vēzis narkotiku   Cyclophosphamide  
Kapsula
Injekcija Orāls šķīdums
Stabilitāte farmaceitisko preparātu Maisījuma stabilitāte Stabilitāti ietekmējoši faktori Saderība Literatūras saraksts pdf
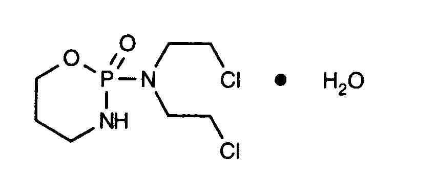
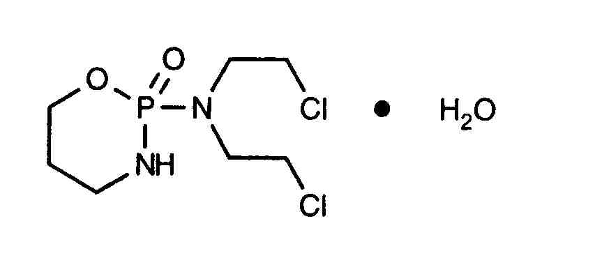
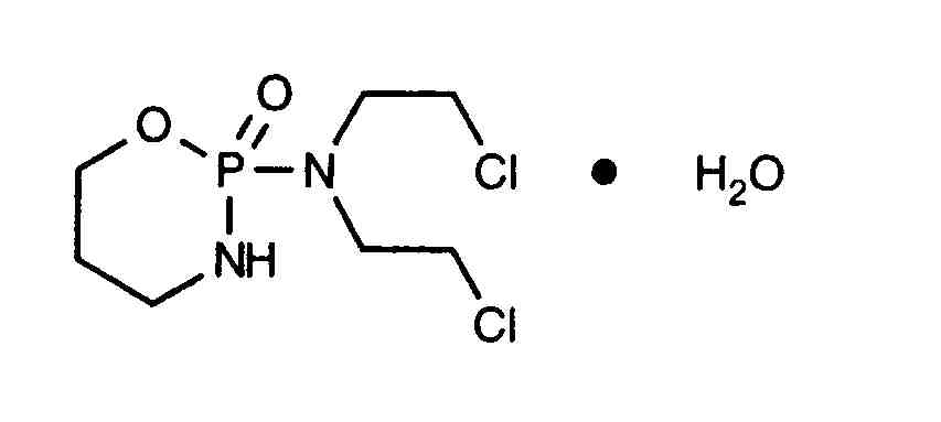
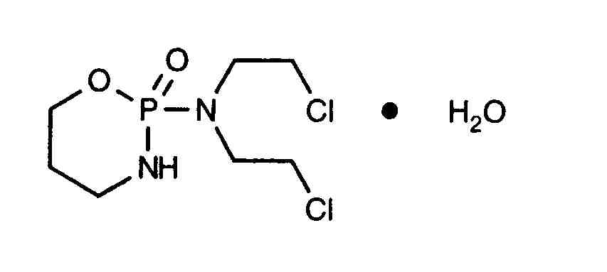
   Ķīmiskā uzbūve   

Kapsula

Stabilitāti ietekmējoši faktori   Kapsula   Stabilitāti ietekmējoši faktori : Cyclophosphamide        
Nav datu

  Mentions Légales