Zadnji put ažurirano :
05/12/2025
lijek protiv karcinoma   Cyclophosphamide  
kapsula
injekcija oralna otopina
Stabilnost farmaceutskih pripravaka Stabilnost mješavine Stabilizacijski faktor Kompatibilnosti Bibliografija pdf
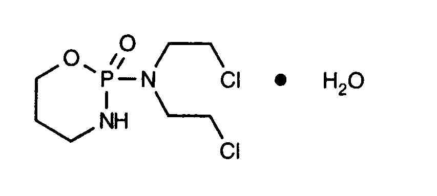
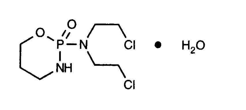
   Kemijska struktura  

kapsula

Stabilizacijski faktor   kapsula   Stabilizacijski faktor : Cyclophosphamide        
bez podataka

  Mentions Légales