Letztes “update” :
18/03/2026
Antikrebsmittel   Cyclophosphamide  
Kapsel (Singular !)
Injektion Lösung zum Einnehmen
Stabilität von pharmazeutischen Präparaten Gemengestabilität Stabilitätbeeinflussende Faktoren Kompatibilitäten Literaturverzeichnis pdf
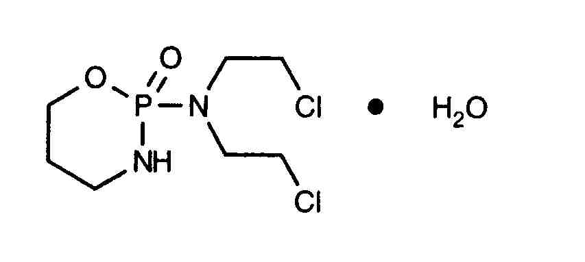
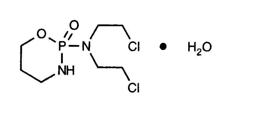
   Chemische Struktur  

Kapsel (Singular !)

Stabilitätbeeinflussende Faktoren   Kapsel (Singular !)   Stabilitätbeeinflussende Faktoren : Cyclophosphamide        
Keine Daten

  Mentions Légales